ADRC-Based Habituating Control of Double-Heater Heat Source
Abstract
:1. Introduction
2. Motivation and Statement of the Problem
3. ADRC-Based Habituating Control
3.1. Habituating Control Structure and Its Application for Proposed HCS
3.2. Design of Controllers C1, C2 Based on ADRC Framework
4. Implementation and Validation
4.1. Modelling of HS and Its Implementation for Virtual Commissioning
4.2. PLC-Based Implementation of ADRC-Based HCS
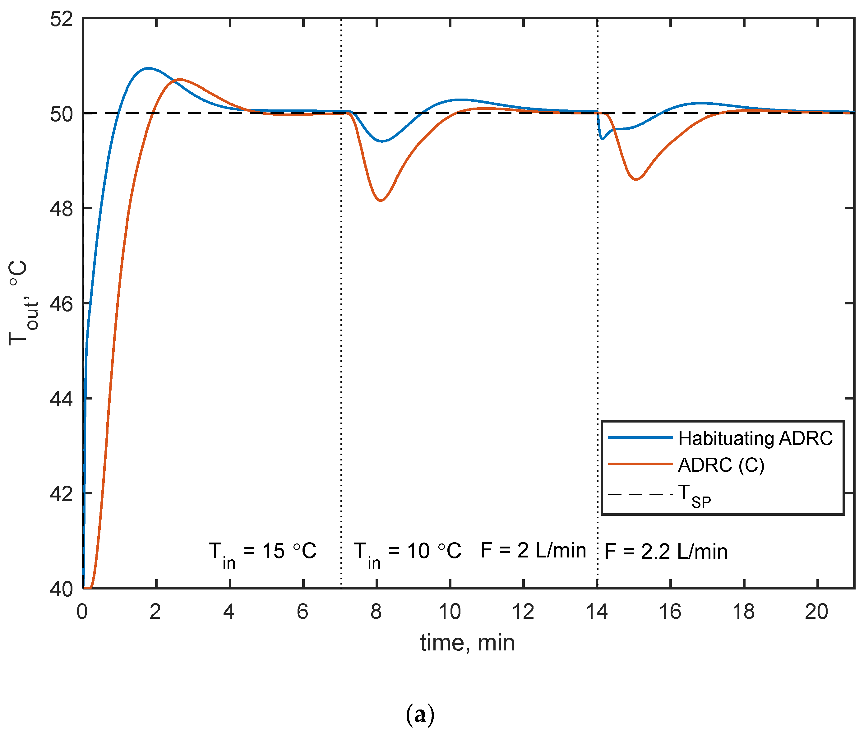
4.3. Validation Results
5. Conclusions
Author Contributions
Funding
Institutional Review Board Statement
Informed Consent Statement
Data Availability Statement
Conflicts of Interest
References
- Oravec, J.; Bakošová, M.; Galčiková, L.; Slávik, M.; Horváthová, M.; Mészáros, A. Soft-constrained robust model predictive control of a plate heat exchanger: Experimental analysis. Energy 2019, 180, 303–314. [Google Scholar] [CrossRef]
- Stebel, K.; Fratczak, M.; Grelewicz, P.; Czeczot, J.; Klopot, T. Adaptive predictive controller for energy-efficient batch heating process. Appl. Therm. Eng. 2021, 192, 116954. [Google Scholar] [CrossRef]
- Czeczot, J. Modelling for the effective control of the electric flow heaters—Simulation validation. Simul. Model. Pract. Theory 2008, 16, 429–444. [Google Scholar] [CrossRef]
- Klopot, T.; Skupin, P.; Grelewicz, P.; Czeczot, J. Practical PLC-based implementation of adaptive dynamic matrix controller for energy-efficient control of heat sources. IEEE Trans. Ind. Electron. 2021, 68, 4269–4278. [Google Scholar] [CrossRef]
- Gao, Z.; Huang, Y.; Han, J. An alternative paradigm for control system design. In Proceedings of the 40th IEEE Conference on Decision and Control, Orlando, FL, USA, 4–7 December 2001; Volume 5, pp. 4578–4585. [Google Scholar]
- Han, J. From PID to active disturbance rejection control. IEEE Trans. Ind. Electron. 2009, 56, 900–906. [Google Scholar] [CrossRef]
- Gao, Z. Scaling and bandwidth-parameterization based controller tuning. In Proceedings of the American Control Conference, Denver, CO, USA, 4–6 June 2003; pp. 4989–4996. [Google Scholar]
- Gao, Z. Active disturbance rejection control: A paradigm shift in feedback control system design. In Proceedings of the American Control Conference, Minneapolis, MN, USA, 14–16 June 2006; pp. 2399–2405. [Google Scholar]
- Madoński, R.; Herman, P. Survey on methods of increasing the efficiency of extended state disturbance observers. ISA Trans. 2015, 56, 18–27. [Google Scholar] [CrossRef]
- Łakomy, K.; Giernacki, W.; Michalski, J.; Madoński, R. Active disturbance rejection control (ADRC) toolbox for MATLAB/Simulink. arXiv 2022. [Google Scholar] [CrossRef]
- Modonski, R.; Shao, S.; Zhang, H.; Gao, Z.; Yang, J.; Li, S. General error-based active disturbance rejection control for swift industrial applications. Control Eng. Pract. 2019, 84, 218–229. [Google Scholar] [CrossRef]
- Herbst, G. Practical Active Disturbance Rejection Control: Bumpless Transfer, Rate Limitation, and Incremental Algorithm. IEEE Trans. Ind. Electron. 2016, 63, 1754–1762. [Google Scholar] [CrossRef] [Green Version]
- Nowak, P.; Stebel, K.; Klopot, T.; Czeczot, J.; Fratczak, M.; Laszczyk, P. Flexible function block for industrial applications of active disturbance rejection controller. Arch. Control. Sci. 2018, 28, 379–400. [Google Scholar]
- Shi, G.; Wu, Z.; Guo, J.; Li, D.; Ding, Y. Superheated steam temperature control based on a hybrid active disturbance rejection control. Energies 2020, 13, 1757. [Google Scholar] [CrossRef] [Green Version]
- Zwierzewicz, Z.; Dorobczyński, L.; Artyszuk, J. Design and assessment of ADRC-based autopilot for energy-efficient ship steering. Energies 2021, 14, 7937. [Google Scholar] [CrossRef]
- Henson, M.A.; Ogunnaike, B.A.; Schwaber, J. Habituating control strategies for process control. AIChE J. 1995, 41, 604–618. [Google Scholar] [CrossRef]
- Wang, Q.-G.; Zhang, Y.; Cai, W.-J.; Bi, Q.; Hang, C.-C. Co-operative control of multi-input single output processes: On-line strategy for releasing input saturation. Control Eng. Pract. 2001, 9, 491–500. [Google Scholar] [CrossRef]
- Giovanini, L. Cooperative-feedback control. ISA Trans. 2007, 46, 289–302. [Google Scholar] [CrossRef] [PubMed]
- McLain, R.B.; Kurtz, M.J.; Henson, M.A.; Doyle, F.J., III. Habituating control for nonsquare nonlinear processes. Ind. Eng. Chem. Res. 1996, 35, 4067–4077. [Google Scholar] [CrossRef]
- Alvarez-Ramirez, J.; Velasco, A.; Fernandez-Anaya, G. QA note on the stability of habituating process control. J. Process Control 2004, 14, 939–945. [Google Scholar] [CrossRef]
- Herbst, G. A simulative study on Active Disturbance Rejection Control (ADRC) as a control tool for practitioners. Electronics 2013, 2, 246–279. [Google Scholar] [CrossRef]
- Alszer, S.; Krystek, J.; Bysko, S. Simulation and virtual commissioning for intelligent buffer control system–Case study. In Proceedings of the 2nd International Conference on Robotics and Automation Engineering (ICRAE), Shanghai, China, 29–31 December 2017; pp. 207–211. [Google Scholar]
- Lechler, T.; Fisher, E.; Metzner, M.; Mayr, A.; Franke, J. Virtual commissioning—Scientific review and exploratory use cases in advanced production systems. Procedia CIRP 2019, 81, 1125–1130. [Google Scholar] [CrossRef]
- Lee, C.G.; Park, S.C. Survey on the virtual commissioning of manufacturing systems. J. Comput. Des. Eng. 2014, 1, 213–222. [Google Scholar] [CrossRef] [Green Version]
- Fratczak, M.; Nowak, P.; Klopot, T.; Czeczot, J.; Bysko, S.; Opilski, B. Virtual commissioning for the control of the continuous industrial processes—Case study. In Proceedings of the 20th International Conference on Methods and Models in Automation and Robotics (MMAR), Miedzyzdroje, Poland, 24–27 August 2015; pp. 1032–1037. [Google Scholar]
- Grelewicz, P.; Nowak, P.; Fratczak, M.; Klopot, T. Practical verification of the advanced control algorithms based on the virtual commissioning methodology—A case study. In Proceedings of the 23rd International Conference on Methods and Models in Automation and Robotics (MMAR), Miedzyzdroje, Poland, 27–30 August 2018; pp. 217–222. [Google Scholar]
- Fratczak, M.; Nowak, P.; Laszczyk, P. Dynamical aspects of multi-input single-output control for heat distribution processes: Case study. In Proceedings of the 22nd International Conference on Methods and Models in Automation and Robotics (MMAR), Miedzyzdroje, Poland, 28–31 August 2017; pp. 301–306. [Google Scholar]
- Zhao, S.; Gao, Z. Modified active disturbance rejection control for time-delay systems. ISA Trans. 2014, 53, 882–888. [Google Scholar] [CrossRef] [PubMed] [Green Version]
- Zheng, Q.; Gao, Z. Predictive active disturbance rejection control for processes with time delay. ISA Trans. 2014, 53, 873–881. [Google Scholar] [CrossRef] [PubMed]












| Disturbance Applied | Structure of HCS | MaxOS (°C) | ST (min) | IAE (°C·s) | Pe,total (kJ) |
|---|---|---|---|---|---|
| Tsp: 50 → 60 | Habituating ADRC | 0.94 | 3.5 | 246 | 34.2 |
| Single ADRC | 0.7 | 4.0 | 602 | 83.7 | |
| Tin: 15 → 10 | Habituating ADRC | 0.6 | 4.14 | 79 | 11.0 |
| Single ADRC | 1.85 | 2.75 | 157 | 21.9 | |
| F: 2.0 → 2.2 | Habituating ADRC | 0.55 | 3.0 | 59 | 9.0 |
| Single ADRC | 1.4 | 2.7 | 122 | 18.7 |
Publisher’s Note: MDPI stays neutral with regard to jurisdictional claims in published maps and institutional affiliations. |
© 2022 by the authors. Licensee MDPI, Basel, Switzerland. This article is an open access article distributed under the terms and conditions of the Creative Commons Attribution (CC BY) license (https://creativecommons.org/licenses/by/4.0/).
Share and Cite
Nowak, P.; Fratczak, M.; Grelewicz, P.; Czeczot, J. ADRC-Based Habituating Control of Double-Heater Heat Source. Energies 2022, 15, 5241. https://doi.org/10.3390/en15145241
Nowak P, Fratczak M, Grelewicz P, Czeczot J. ADRC-Based Habituating Control of Double-Heater Heat Source. Energies. 2022; 15(14):5241. https://doi.org/10.3390/en15145241
Chicago/Turabian StyleNowak, Pawel, Michal Fratczak, Patryk Grelewicz, and Jacek Czeczot. 2022. "ADRC-Based Habituating Control of Double-Heater Heat Source" Energies 15, no. 14: 5241. https://doi.org/10.3390/en15145241
APA StyleNowak, P., Fratczak, M., Grelewicz, P., & Czeczot, J. (2022). ADRC-Based Habituating Control of Double-Heater Heat Source. Energies, 15(14), 5241. https://doi.org/10.3390/en15145241

