The Utilization of Ultrasound for Improving Oil Recovery and Formation Damage Remediation in Petroleum Reservoirs: Review of Most Recent Researches
Abstract
:1. Introduction
2. The Use of Ultrasonic Waves in Petroleum Reservoirs to Improve Oil Recovery and Reduce Formation Damage
3. Observations
4. Conclusions
Author Contributions
Funding
Institutional Review Board Statement
Informed Consent Statement
Data Availability Statement
Acknowledgments
Conflicts of Interest
References
- Razavifar, M.; Qajar, J.; Riazi, M. Experimental study on pore-scale mechanisms of ultrasonic-assisted heavy oil recovery with solvent effects. J. Pet. Sci. Eng. 2022, 214, 110553. [Google Scholar] [CrossRef]
- Otumudia, E.; Hamidi, H.; Jadhawar, P.; Wu, K. Effects of reservoir rock pore geometries and ultrasonic parameters on the removal of asphaltene deposition under ultrasonic waves. Ultrason. Sonochem. 2022, 83, 105949. [Google Scholar] [CrossRef] [PubMed]
- Hamidi, H.; Sharifi Haddad, A.; Otumudia, E.W.; Rafati, R.; Mohammadian, E.; Azdarpour, A.; Giles Pilcher, W.; Wilhelm Fuehrmann, P.; Ricardo Sosa, L.; Cota, N.; et al. Recent applications of ultrasonic waves in improved oil recovery: A review of techniques and results. Ultrasonics 2021, 110, 106288. [Google Scholar] [CrossRef]
- Wang, Z.; Zeng, J.; Song, H.; Li, F. Research on ultrasonic excitation for the removal of drilling fluid plug, paraffin deposition plug, polymer plug and inorganic scale plug for near-well ultrasonic processing technology. Ultrason. Sonochem. 2017, 36, 162–167. [Google Scholar] [CrossRef]
- Meribout, M. On Using Ultrasonic-assisted Enhanced Oil Recovery (EOR): Recent Practical Achievements and Future Prospects. IEEE Access 2018, 6, 51110–51118. [Google Scholar] [CrossRef]
- Mohsin, M.; Meribout, M. An extended model for ultrasonic-based enhanced oil recovery with experimental validation. Ultrason. Sonochem. 2015, 23, 413–423. [Google Scholar] [CrossRef] [PubMed]
- Sikiru, S.; Rostami, A.; Soleimani, H.; Yahya, N.; Afeez, Y.; Aliu, O.; Yusuf, J.Y.; Oladosu, T.L. Graphene: Outlook in the enhance oil recovery (EOR). J. Mol. Liq. 2021, 321, 114519. [Google Scholar] [CrossRef]
- Sikiru, S.; Yahya, N.; Soleimani, H.; Ali, A.M.; Afeez, Y. Impact of ionic-electromagnetic field interaction on Maxwell-Wagner polarization in porous medium. J. Mol. Liq. 2020, 318, 114039. [Google Scholar] [CrossRef]
- Li, X.; Pu, C.; Chen, X.; Huang, F.; Zheng, H. Study on frequency optimization and mechanism of ultrasonic waves assisting water flooding in low-permeability reservoirs. Ultrason. Sonochem. 2021, 70, 105291. [Google Scholar] [CrossRef]
- Lv, S.; Peng, S.; Zhang, R.; Guo, Z.; Du, W.; Zhang, J.; Chen, G. Viscosity Reduction of Heavy Oil by Ultrasonic. Pet. Chem. 2020, 60, 998–1002. [Google Scholar]
- Hua, Q. Experimental Studies on Viscosity Reduction of Heavy Crude Oil by Ultrasonic Irradiation. Acoust. Phys. 2020, 66, 495–500. [Google Scholar]
- Li, X.; Pu, C.; Chen, X. A novel foam system stabilized by hydroxylated multiwalled carbon nanotubes for enhanced oil recovery: Preparation, characterization and evaluation. Colloids Surf. Physicochem. Eng. Aspects 2022, 632, 127804. [Google Scholar] [CrossRef]
- Taherynia, M.H.; Fatemi Aghda, S.M.; Fahimifar, A. Effects of ultrasonic waves on water imbibition into oil-wet carbonate reservoirs (a case study). Petrol. Sci. Technol. 2022, 1–16. [Google Scholar] [CrossRef]
- Agi, A.; Junin, R.; Arsad, A.; Abbas, A.; Gbadamosi, A.; Azli, N.B.; Oseh, J. Ultrasound-assisted weak-acid hydrolysis of crystalline starch nanoparticles for chemical enhanced oil recovery. Int. J. Biol. Macromol. 2020, 148, 1251–1271. [Google Scholar] [CrossRef] [PubMed]
- Wang, H.; Tian, L.; Zhang, K.; Liu, Z.; Huang, C.; Jiang, L.; Chai, X. How Is Ultrasonic-Assisted CO2 EOR to Unlock Oils from Unconventional Reservoirs? Sustainability 2021, 13, 10010. [Google Scholar] [CrossRef]
- Li, X.; Zhang, J.; Wu, C.; Hong, T.; Zheng, Y.; Li, C.; Li, B.; Li, R.; Wang, Y.; Liu, X.; et al. Experimental Research on the Effect of Ultrasonic Waves on the Adsorption, Desorption, and Seepage Characteristics of Shale Gas. ACS Omega 2021, 6, 17002–17018. [Google Scholar] [CrossRef]
- Tahmasebi Boldaji, R.; Rajabi Kuyakhi, H.; Tahmasebi Boldaji, N.; Rajabzadeh, M.; Rashidi, S.; Torki, M.; Ghazanfari, S. A comparative study of mathematical and ANFIS models to determine the effect of ultrasonic waves on the viscosity of crude oil. Petrol. Sci. Technol. 2022, 40, 150–165. [Google Scholar] [CrossRef]
- Kamkar, A.; Hosseini, H.; Norouzi-Apourvari, S.; Schaffie, M. Insight into the Synergic Effect of Ultrasonic Waves, SDS Surfactant, and Silica Nanoparticles on Wettability Alteration of Carbonate Rocks. Arab. J. Sci. Eng. 2021, in press. [Google Scholar] [CrossRef]
- Razavifar, M.; Qajar, J. Experimental investigation of the ultrasonic wave effects on the viscosity and thermal behaviour of an asphaltenic crude oil. Chem. Eng. Processing-Process Intensif. 2020, 153, 107964. [Google Scholar] [CrossRef]
- Luo, X.; Gong, H.; He, Z.; Zhang, P.; He, L. Research on mechanism and characteristics of oil recovery from oily sludge in ultrasonic fields. J. Hazard. Mater. 2020, 399, 123137. [Google Scholar] [CrossRef]
- Li, Z.; Xu, D.; Yuan, Y.; Wu, H.; Hou, J.; Kang, W.; Bai, B. Advances of spontaneous emulsification and its important applications in enhanced oil recovery process. Adv. Colloid Interface Sci. 2020, 277, 102119. [Google Scholar] [CrossRef] [PubMed]
- Vahdanikia, N.; Divandari, H.; Hemmati-Sarapardeh, A.; Nait Amar, M.; Schaffie, M.; Ranjbar, M. Integrating new emerging technologies for enhanced oil recovery: Ultrasonic, microorganism, and emulsion. J. Pet. Sci. Eng. 2020, 192, 107229. [Google Scholar] [CrossRef]
- Adeyemi, I.; Meribout, M.; Khezzar, L. Recent developments, challenges, and prospects of ultrasound-assisted oil technologies. Ultrason. Sonochem. 2022, 82, 105902. [Google Scholar] [CrossRef]
- Yeh, H.; Juárez, J.J. Ultrasound-enhanced diffusion and streaming of colloids in porous media. Exp. Therm. Fluid Sci. 2021, 121, 110282. [Google Scholar] [CrossRef]
- Rezaeizadeh, M.; Hajiabadi, S.H.; Aghaei, H.; Blunt, M.J. Pore-scale analysis of formation damage; A review of existing digital and analytical approaches. Adv. Colloid Interface Sci. 2021, 288, 102345. [Google Scholar] [CrossRef]
- Wang, F.; Yang, H.; Jiang, H.; Kang, X.; Hou, X.; Wang, T.; Zhou, B.; Sarsenbekuly, B.; Kang, W. Formation mechanism and location distribution of blockage during polymer flooding. J. Pet. Sci. Eng. 2020, 194, 107503. [Google Scholar] [CrossRef]
- Karami, S.; Saeedi Dehaghani, A.H.; Hossein Seyed Mousavi, S.A. Condensate blockage removal using microwave and ultrasonic waves: Discussion on rock mechanical and electrical properties. J. Pet. Sci. Eng. 2020, 193, 107309. [Google Scholar] [CrossRef]
- Ainuddin, A.; Abdul Aziz, N.A.; Mohamed Soom, N.A.A. Condensate banking removal: Study on ultrasonic amplitude effect. J. Pet. Explor. Prod. Technol. 2021, 11, 3559–3569. [Google Scholar] [CrossRef]
- Mo, L.; Sun, W.; Jiang, S.; Zhao, X.; Ma, H.; Liu, B.; Feng, L. Removal of colloidal precipitation plugging with high-power ultrasound. Ultrason. Sonochem. 2020, 69, 105259. [Google Scholar] [CrossRef]
- Zhou, L.; Wang, Z. A comparison study on the removal of paraffin wax deposition plug by ultrasound treatment, chemical demulsifier and combination of ultrasound and chemical demulsifier. Pet. Sci. Technol. 2020, 38, 690–697. [Google Scholar] [CrossRef]
- Zhang, X.; Zang, C.; Ma, H.; Wang, Z. Study on removing calcium carbonate plug from near wellbore by high-power ultrasonic treatment. Ultrason. Sonochem. 2020, 62, 104515. [Google Scholar] [CrossRef] [PubMed]
- Alshaafi, E.A.; Prakash, A.; Mercer, S.M. Ultrasonic technique for tracking oil-water emulsion layer in separation vessels. J. Pet. Sci. Eng. 2020, 184, 106591. [Google Scholar] [CrossRef]
- Adeyanju, O.A.; Adeosun, A.B. The Effect of Centrifuge on the Demulsification of Water-in-Oil Emulsion. J. Nat. Sci. Sustain. Technol. 2021, 15, 219–236. [Google Scholar]
- Kokal, S.; Wingrove, M. Emulsion Separation Index: From Laboratory to Field Case Studies. In Proceedings of the SPE Annual Technical Conference and Exhibition, Dallas, TX, USA, 1–4 October 2000. [Google Scholar]
- Pal, B.; Kumar, R.; Naiya, T.K. Demulsification of crude oil-water emulsion using naturally formulated demulsifier. Pet. Sci. Technol. 2021, 39, 1027–1042. [Google Scholar] [CrossRef]
- Luo, X.; Gong, H.; Yin, H.; He, Z.; He, L. Optimization of acoustic parameters for ultrasonic separation of emulsions with different physical properties. Ultrason. Sonochem. 2020, 68, 105221. [Google Scholar] [CrossRef]
- Ronchi, R.P.; Negris, L.; Melo, B.N.; Pereira, L.S.F.; Vicente, M.A.; Flores, E.M.M.; Santos, M.d.F.P. Removal of oil from synthetic heavy crude oil-in-water emulsions by the association of glass raschig rings and ultrasound. J. Dispersion Sci. Technol. 2022, 43, 22–32. [Google Scholar] [CrossRef]
- Sadatshojaie, A.; Wood, D.A.; Jokar, S.M.; Rahimpour, M.R. Applying ultrasonic fields to separate water contained in medium-gravity crude oil emulsions and determining crude oil adhesion coefficients. Ultrason. Sonochem. 2021, 70, 105303. [Google Scholar] [CrossRef]
- Lim, C.H.; Sulaiman, S.A.; Japper-Jaafar, A.; Bhaskoro, P.T. Study on the effect of ultrasonic wave amplitude on de-emulsification of crude oil to enhance production process. In IOP Conference Series: Materials Science and Engineering; IOP Publishing: Kuantan, Malaysia, 2020; Volume 863, p. 12004. [Google Scholar]
- Lins, T.S.; Pisoler, G.; Druzian, G.T.; Negris, L.; Decote, P.A.P.; Vicente, M.A.; Flores, E.M.M.; Santos, M.F.P. Base oil recovery from waste lubricant oil by polar solvent extraction intensified by ultrasound. Environ. Sci. Pollut. Res. 2021, 28, 66000–66011. [Google Scholar] [CrossRef]
- Cui, J.; Zhang, Z.; Liu, X.; Liu, L.; Peng, J. Analysis of the viscosity reduction of crude oil with nano-Ni catalyst by acoustic cavitation. Fuel 2020, 275, 117976. [Google Scholar] [CrossRef]
- Xu, X.; Bao, T. Research on the removal of near-well blockage caused by asphaltene deposition using sonochemical method. Ultrason. Sonochem. 2020, 64, 104918. [Google Scholar] [CrossRef]
- Luo, X.; Gong, H.; He, Z.; Zhang, P.; He, L. Recent advances in applications of power ultrasound for petroleum industry. Ultrason. Sonochem. 2021, 70, 105337. [Google Scholar] [CrossRef] [PubMed]
- Zhu, L.; Lyu, W.; Yang, P.; Wang, Z. Effect of ultrasound on the flocculation-sedimentation and thickening of unclassified tailings. Ultrason. Sonochem. 2020, 66, 104984. [Google Scholar] [CrossRef] [PubMed]
- Hematpur, H.; Abdollahi, R.; Safari-Beidokhti, M.; Esfandyari, H. Experimental Microemulsion Flooding Study to Increase Low Viscosity Oil Recovery Using Glass Micromodel. Math. Probl. Eng. 2021, 2021, 5021868. [Google Scholar] [CrossRef]
- Kashiri, R.; Kalantariasl, A.; Parsaei, R.; Zeinijahromi, A. Experimental Study of the Effect of Clay and Oil Polarity on Oil Recovery by Low Salinity Water Flooding Using Glass Micromodel. Nat. Resour. Res. 2021, 30, 3695–3716. [Google Scholar] [CrossRef]
- Liu, Y.; Block, E.; Squier, J.; Oakey, J. Investigating low salinity waterflooding via glass micromodels with triangular pore-throat architectures. Fuel 2021, 283, 119264. [Google Scholar] [CrossRef] [PubMed]
- Robin, M.; Behot, J.; Sygouni, V. CO2 Injection in Porous Media: Observations un Glass Micromodels Under Reservoir Conditions. In Proceedings of the SPE Improved Oil Recovery Symposium, Tulsa, OK, USA, 14–18 April 2012. [Google Scholar]










| No. | Ultrasound Parameters | Sample Description | Key Observations | Reference |
|---|---|---|---|---|
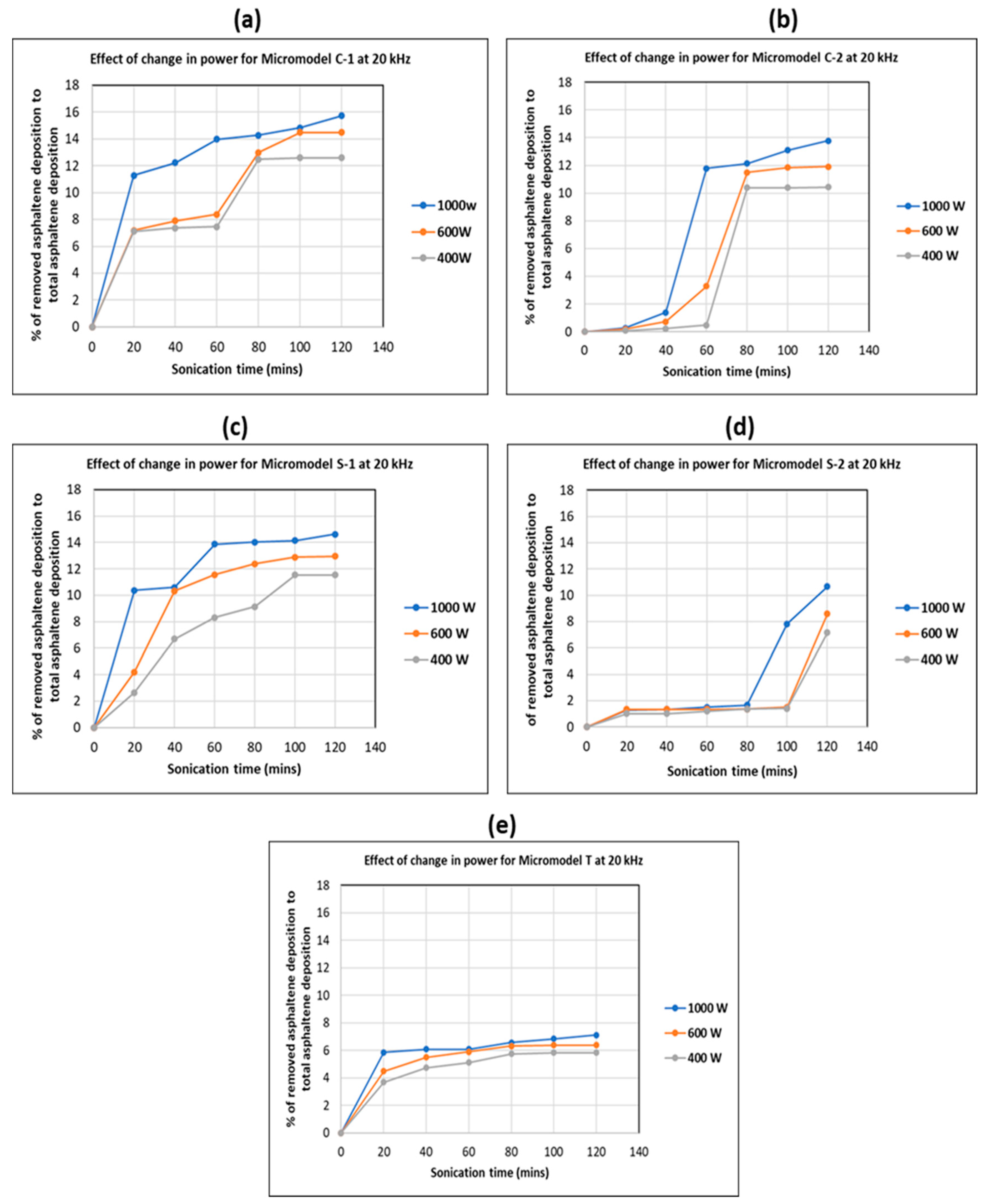
| 1 | Applied frequency: 20 kHz, Power: 400, 600, and 1000 W. Max. sonication time 120 min. | Brine, pentane, and synthetic crude comprising 45% n-heptane, 55% toluene and asphaltene 4.5% of solution weight. | Asphaltene depositions decrease as ultrasonic power is raised (from 400 to 1000 W). Increasing the time of sonication also reduces asphaltene deposition. | Otumudia et al. [2] |
| 2 | Frequency: 15–28 kHz | Crude oil with viscosity 6.97 mPa·s, surface tension 17.38 mN·m−1 | When the ultrasound frequency is increased from 15–25 kHz, the viscosity of the oil reduces; Reduced oil-water interfacial tension is also observed. | Li et al. [9] |
| 3 | Sonication time: 40 min; Max. Power 150 W; Ultrasonic temperature 60 °C. | Heavy oil with pour point temperature 24 °C, density 0.92 g·cm−3 | Oil viscosity was reduced by 87.2% | Lv et al. [10] |
| 4 | Frequency 20 kHz and power (50, 100, 150 W); Sonication time (5, 15 and 30 min) | Heavy crude oil from Shengli Petroleum Administrative Bureau | Oil viscosity was reduced by 86% | Hua [11] |
| 5 | ultrasonic generator with a continuous output power of 1000 W; Max. sonication time 330 min; | Crude with viscosity and density of 4.18 mPa⋅s and 0.837 g/cm3, at 47 °C. | Ultrasound aided the spread of HMCNT in SDBS mixtures with optimum sonication of 240 min | Li et al. [12] |
| 6 | 40 kHz frequency and up to 400 W/cm2 focused power | Carbonate rock samples from Iranian carbonate formation. | Oil recovery improvement under ultrasound via IFT reduction. | Taherynia et al. [13] |
| 7 | 40 kHz frequency and power output of 500 W | A sample of West Lutong crude oil that has an API gravity of 37.7 and a viscosity of 10 cp at 25 °C. Cassava starch and a dilute acid made from extracts of plants and fruits | Precipitation and hydrolysis processes were enhanced by ultrasound, resulting in nanocrystals that were more diverse in size and generated more nanomaterials | Agi, Junin, Arsad et al. [14] |
| 8 | 40 kHz frequency and 200 W of power | Chinese tight sandstone with porosity 10.3%, permeability 1.56 mD. Crude with density and viscosity of 895 kg/m3 and 3.8 mPa·s at 60 °C, respectively | At 60 °C, the viscosity dropped from 4.1 to 2.8 mPa·s, and the levels of resin and asphaltene dropped from 27.94% and 6.03% to 14.2% and 3.79%, respectively | Wang, H. et al. [15] |
| 9 | 24 kHz frequency; 50 and 110 W of power output | Shale samples from China, with a core depth of 2613−3208 m and a formation temperature of 83.62−102.66 °C | The ultrasonic power is inversely proportional to gas adsorption constant. Gas permeability and desorption volume is increased by ultrasound | Li, Xin et al. [16] |
| 10 | Power: 35 and 50 W Frequency: 42 and 46 kHz | ANFIS model and other mathematical models including Inverse Square Root, Natural Log, and Square Root model. | The ultrasonic exposure duration had the strongest influence on the viscosity of crude oil, it was found that as exposure duration increased, so did the viscosity. Crude oil viscosity was mostly unaffected by ultrasonic properties such as frequency and power | Tahmasebi Boldaji et al. [17] |
| 11 | Power: 60 and 70 W Frequency: 20 and 40 kHz; Temperature range: 0–80 °C | Oil with viscosity of 12.3 cP at 24.7 °C, Sea water and distilled water of pH 7.2, specific resistance 18.2 MΩ·cm at 25 °C | Decreased contact angle and by extension caused wettability alterations | Kamkar et al. [18] |
| 12 | Output power: 50 W Frequency: 42 and 46 kHz | Iranian crude oil sample with asphaltene content 19.45% and viscosity 34.48 cP at 23 °C | Oil viscosity was reduced by ultrasonic, and the reduction was higher when the power and frequency were increased. The optimal sonication duration was also reduced by increasing the irradiation power or frequency | Razavifar and Qajar [19] |
| 13 | Optimal acoustic intensity: 0.28, 0.35, 0.57 and 0.70 W cm−2. Resonant frequency: 21.7, 41.9, 98.0 and 123.0 kHz | Oily sludge with a solids content of 38.4 wt%, crude oil content of 35.1 wt%, and water content of 26.5 wt% | Oil recovery efficiency declined with higher frequency, and as acoustic intensity is raised, oil recovery increased | Luo, Gong, He et al. [20] |
| 14 | Applied voltage: 20, 47, 74, and 99 V. Applied frequency: 25, 40, 55, 70, 85, and 100 kHz | Fluorescent polystyrene particles (diameter, 1 μm) | The rate of colloidal particle diffusion was accelerated by ultrasound, and the coefficient of diffusion increased approximately linearly with the applied voltage | Yeh and Juárez [24] |
| 15 | Power: 850 W, Frequency: 37 and 80 kHz | Brine with dielectric constant ≈80, and condensate ≈1–10 | The higher the applied frequency, the greater the condensate removal. | Karami et al. [27] |
| 16 | Amplitudes (20 kHz and 20 Watts), Max sonication 120 min | n-Decane with viscosity 0.383 cP at 28 °C and specific density 0.738 g·cm−3 | Ultrasound improved the mobility of Decane via viscosity reduction. | Aieshah et al. [28] |
| 17 | Power: 100 W to 1000. Frequency: 18 kHz to 50 kHz. Optimal frequency, power and sonication time; 25 kHz, 1000 W and 120 min, respectively | Quartz, feldspar, carbonate, and clay make up the core sample in different proportion | Exposure to ultrasound improved core permeability via removal of colloidal precipitates | Mo et al. [29] |
| 18 | 18 kHz to 50 kHz frequency ranges are used, and 100 W to 1000 W power ranges are used. | Quartz, feldspar, carbonate, and clay make up the core sample in different proportion | ultrasonic-chemical combination is more effective in removing paraffin wax deposition than chemical or ultrasonic method alone | Zhou and Wang [30]. |
| 19 | Power: 100, 200, and 1000 W. Frequency: 18, 22, 25, 30, 40, and 50 kHz | NaCl, KCl, MgCl2, Na2CO3, CaCl, and artificial cores (diameter of 2.5 cm, and lengths of 7–8 cm) | Scale removal by ultrasound is enhanced by increasing the ultrasonic power and frequency. | Zhang et al. [31] |
| 20 | Power: 60 W Operating frequency: 5–150 kHz; Applied frequencies: 25.8, 39.4, 90.0 and 126.4 kHz | Various quantities of silicone oil and surfactant aqueous solution were stirred with water contents of 2, 5, 10, and 20%, respectively | Ultrasound caused emulsion droplets to collide and coalesce rapidly and promoted the spread of surfactant on the oil/water contact to reduce interfacial tension. But at high frequencies (126.4 kHz), droplet banding occurred | Luo, Gong, Yin et al. [36] |
| 21 | Ultrasound power: 100 and 200 W Frequencies: 35, 45, and 130 kHz | Synthetic oil-in-water emulsion made with crude and by dissolving various salts in water | Effective coalescence of oil-in-water emulsion at 20 min of ultrasound exposure in conjunction with Raschig rings. | Ronchi et al. [37] |
| 22 | Ultrasonic intensities: 0.25, 0.5, 0.75, and 1 W/cm3 Power: 80–1000 W Frequency: 20 kHz | Synthesized emulsions containing 10%, 15%, 20% and 25% of water in crude oil | Ultrasound demulsified crude oil sample without the influence of demulsifiers. The greater the intensity, the more the demulsification. | Sadatshojaie et al. [38] |
| 23 | Optimal ultrasonic amplitude: 40 µm Heat temperature: 60 °C Frequency: 20 kHz | Synthetic crude emulsions obtained by mixing crude and ultra-pure water | Ultrasound facilitated 73.3% water separation rate in crude emulsions after 8 h | Lim et al. [39] |
| 24 | Power: 400 W Temperature: 25 °C Frequency: 24 kHz | Ethanol (>96%), propan-2-ol (>99.5%), 2-methylpropan-1-ol (>99.5%), and butan-1-ol (>99.9%) as extraction agent + commercial lubricant oil | Ultrasound + mechanical stirring augmented extraction of base oil | Lins et al. [40] |
| 25 | Output power intensity of 90%. Frequency: 20 kHz Treatment time: 10 min | Metallic nickel particles and crude oil sample with a kinematic viscosity of 673.3 mm2/s at 50 °C. | The viscosity of oil samples was lowered by 37.78% after ultrasound treatment, but the viscosity of oil samples decreased drastically when solid particles were introduced in conjunction with ultrasound, with a reduction rate of up to 62.23%. | Cui et al. [41] |
| 26 | Power: 100, 200, and 1000 W Frequency: 18, 22, 25, 30, 40, and 50 kHz | Three man-made cores of gas logging permeability 0.0030, 0.0080, and 0.00150 µm2 | Treatment with ultrasound plus chemical solution is much superior to independent treatment technique, and increasing ultrasonic power enhances deposit removal effectiveness while increasing frequency decreases ultrasound energy, resulting in a worsening of treatments | Xu and Bao [42] |
Publisher’s Note: MDPI stays neutral with regard to jurisdictional claims in published maps and institutional affiliations. |
© 2022 by the authors. Licensee MDPI, Basel, Switzerland. This article is an open access article distributed under the terms and conditions of the Creative Commons Attribution (CC BY) license (https://creativecommons.org/licenses/by/4.0/).
Share and Cite
Otumudia, E.; Hamidi, H.; Jadhawar, P.; Wu, K. The Utilization of Ultrasound for Improving Oil Recovery and Formation Damage Remediation in Petroleum Reservoirs: Review of Most Recent Researches. Energies 2022, 15, 4906. https://doi.org/10.3390/en15134906
Otumudia E, Hamidi H, Jadhawar P, Wu K. The Utilization of Ultrasound for Improving Oil Recovery and Formation Damage Remediation in Petroleum Reservoirs: Review of Most Recent Researches. Energies. 2022; 15(13):4906. https://doi.org/10.3390/en15134906
Chicago/Turabian StyleOtumudia, Ephraim, Hossein Hamidi, Prashant Jadhawar, and Kejian Wu. 2022. "The Utilization of Ultrasound for Improving Oil Recovery and Formation Damage Remediation in Petroleum Reservoirs: Review of Most Recent Researches" Energies 15, no. 13: 4906. https://doi.org/10.3390/en15134906
APA StyleOtumudia, E., Hamidi, H., Jadhawar, P., & Wu, K. (2022). The Utilization of Ultrasound for Improving Oil Recovery and Formation Damage Remediation in Petroleum Reservoirs: Review of Most Recent Researches. Energies, 15(13), 4906. https://doi.org/10.3390/en15134906

