Surface-Related and Internal Multiple Elimination Using Deep Learning
Abstract
:1. Introduction
2. Theory
2.1. Multiple Elimination Using Network
2.2. Network Architecture
2.3. Network Training
| Number of Filters | Standard Error |
|---|---|
| Filters_[32, 64, 128, 256, 512] | 0.012465 |
| Filters_[8, 16, 32, 64, 128] | 0.013284 |
| Filters_[16, 16, 32, 32, 64, 64, 128, 128, 256, 256] | 0.014788 |
| Filters_[32, 64, 128] | 0.015832 |
| Filters_[16, 32, 64, 128, 256] | 0.016310 |
| Filters_[16, 32, 64] | 0.016393 |
| Filters_[32, 32, 64, 64, 128, 128, 256, 256, 521, 512] | 0.021159 |
| Filters_[8, 16, 32] | 0.026624 |
| Filters_[8, 8, 16, 16, 32, 32, 64, 64, 128, 128] | 0.031513 |
3. Experiments
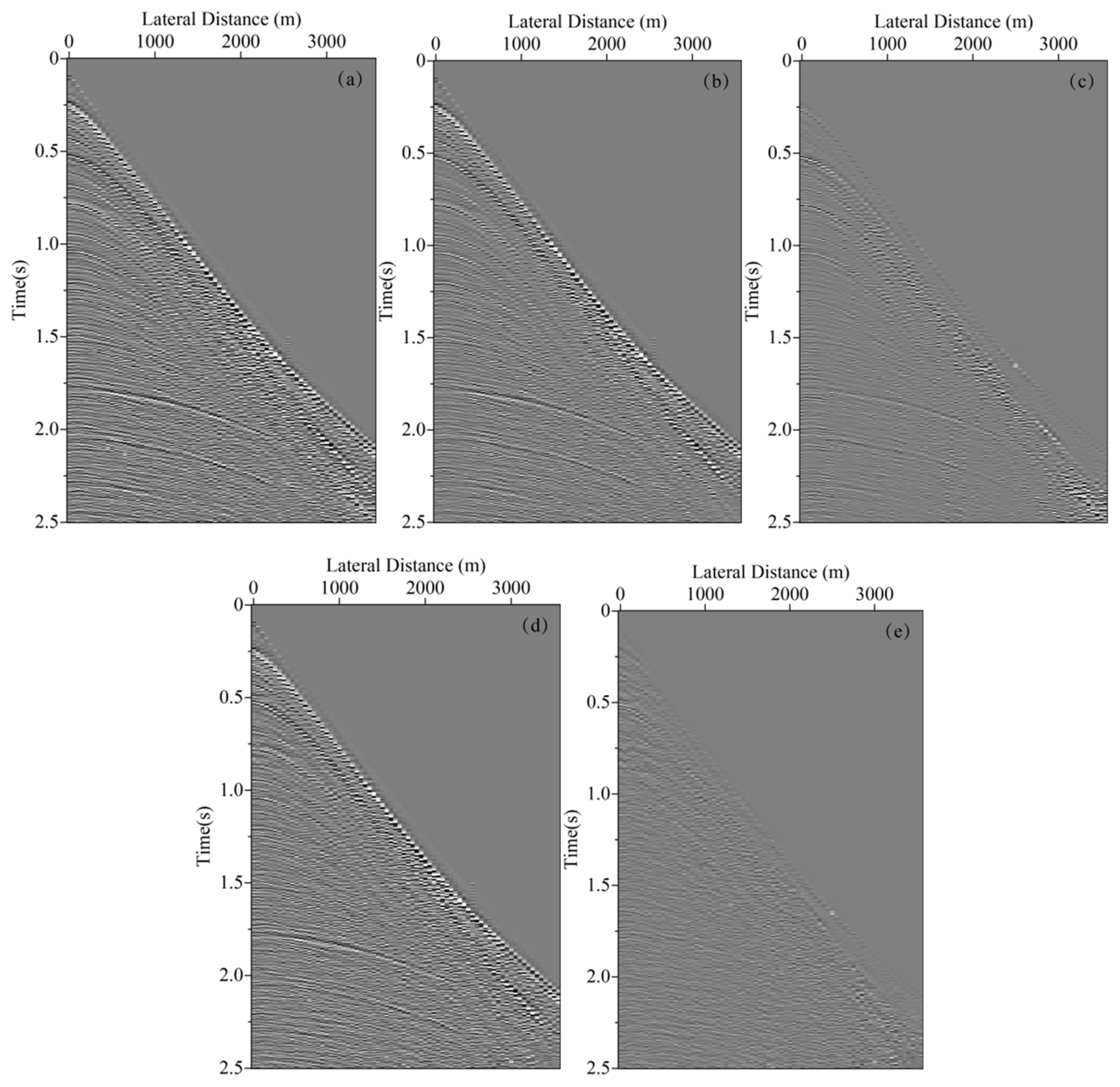
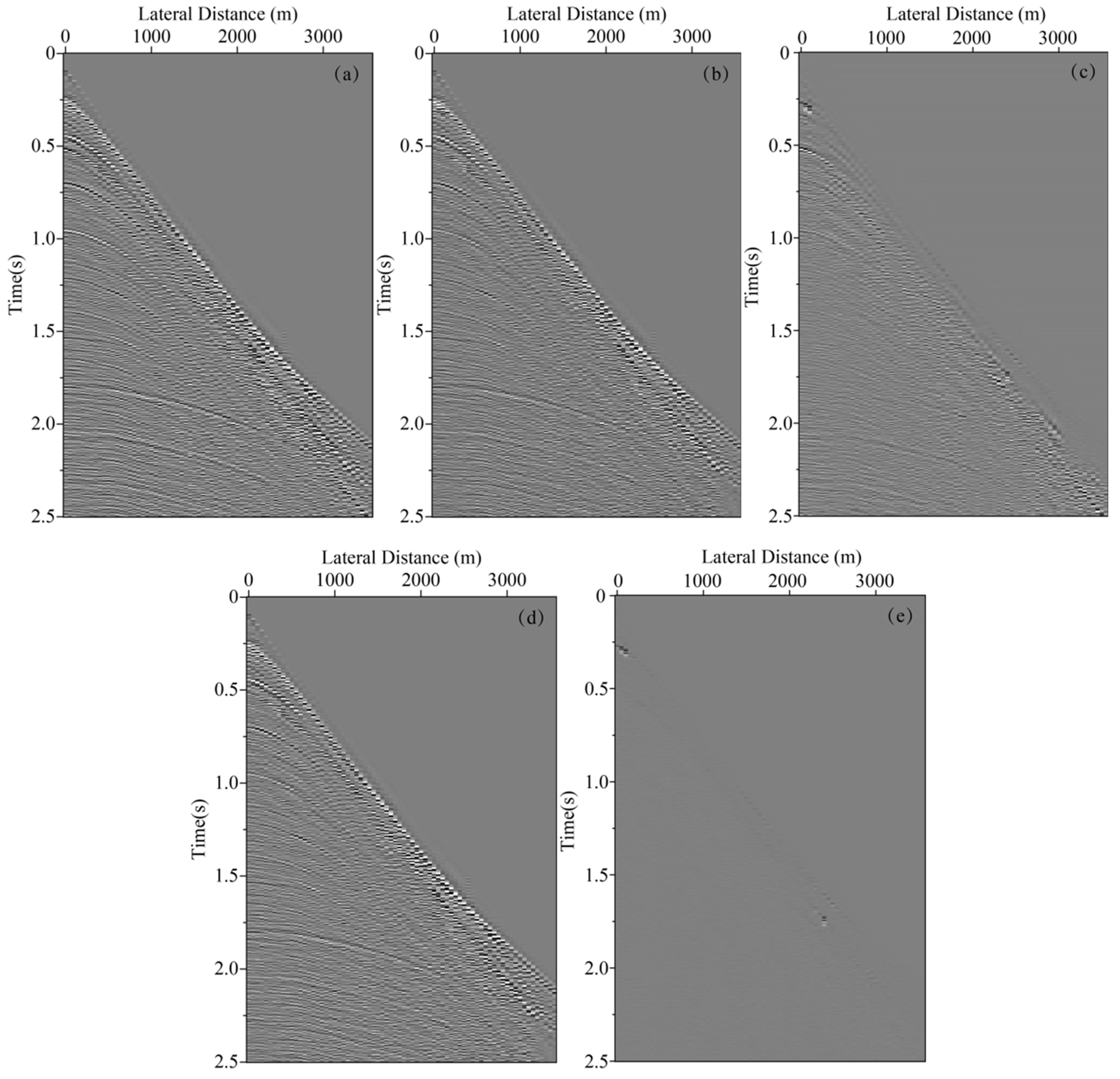
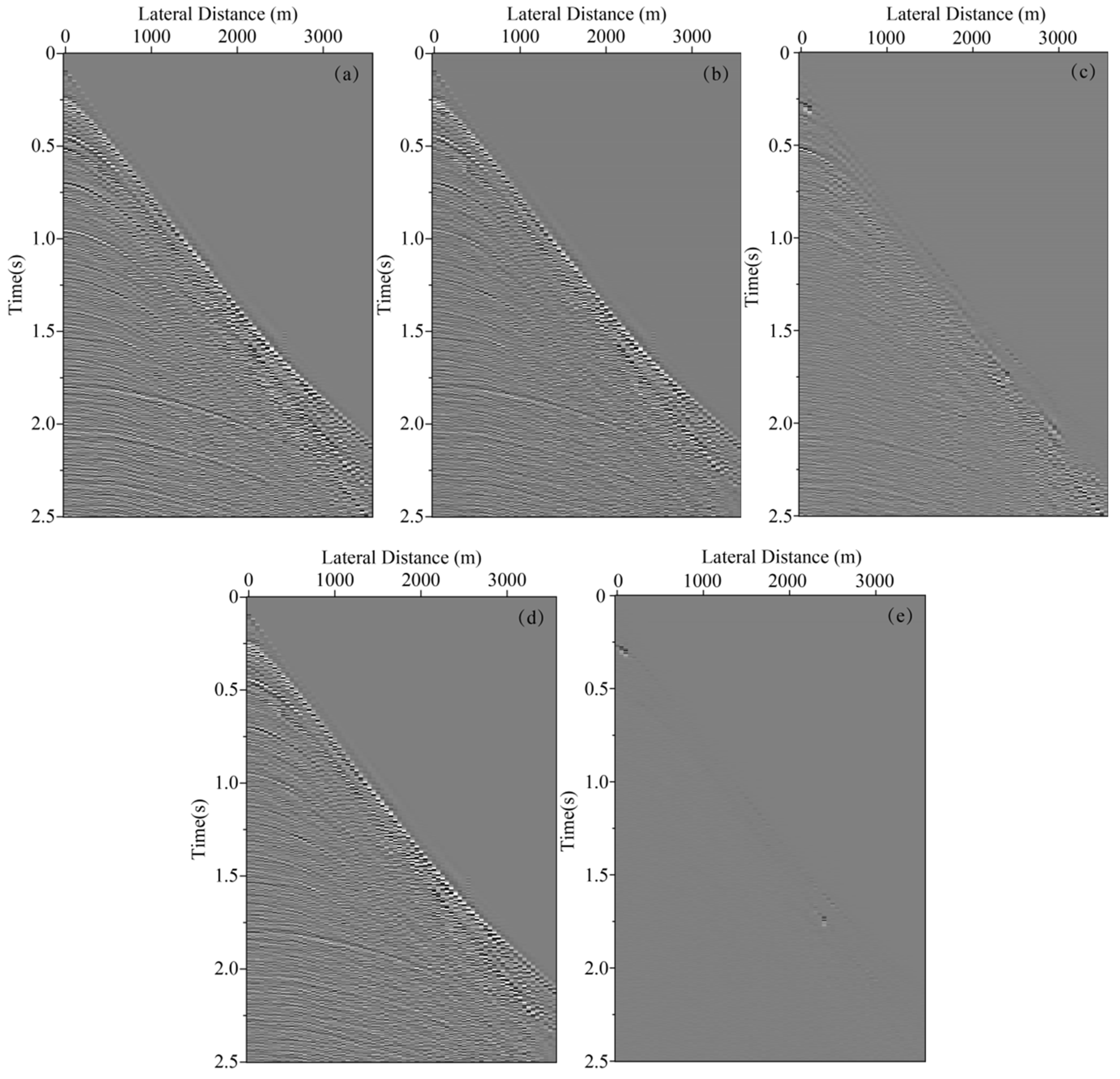
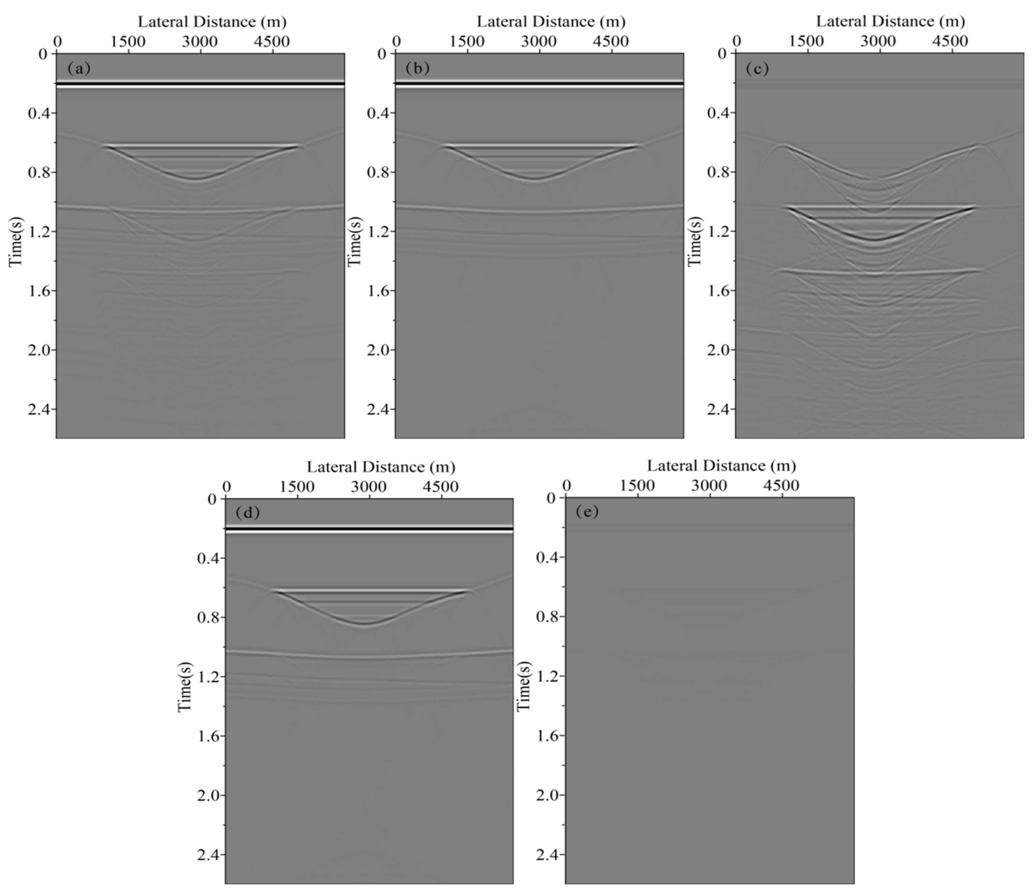
3.1. Sigsbee2B Model Data Example
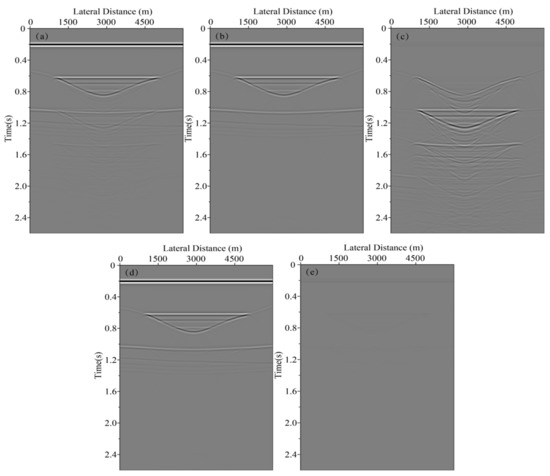
3.2. Data Example of the Synclinal Model
3.3. Field Data Example
4. Discussion
5. Conclusions
Author Contributions
Funding
Institutional Review Board Statement
Informed Consent Statement
Data Availability Statement
Conflicts of Interest
References
- Taner, M.T. Long period sea-floor multiples and their suppression. Geophys. Prospect. 1980, 28, 30–48. [Google Scholar] [CrossRef]
- Hampson, D. Inverse Velocity Stacking for Multiple Elimination. In SEG Technical Program Expanded Abstracts; Society of Exploration Geophysicists: Houston, TX, USA, 1986; pp. 422–424. [Google Scholar] [CrossRef]
- Amundsen, L.; Ikelle, L.T.; Berg, L.E. Multidimensional signature deconvolution and free-surface multiple elimination of marine multicomponent ocean-bottom seismic data. Geophysics 2001, 66, 1594–1604. [Google Scholar] [CrossRef]
- Majdanski, M.; Kostov, C.; Kragh, E.; Moore, I.; Thompson, M.; Mispel, J. Attenuation of free-surface multiples by up/down deconvolution for marine towed-streamer data. Geophysics 2011, 76, 129–138. [Google Scholar] [CrossRef]
- Berkhout, A.J.; Verschuur, D.J. Estimation of multiple scattering by iterative inversion; Part 1, Theoretical consideration. Geophysics 1997, 62, 1586–1595. [Google Scholar] [CrossRef]
- Van Groenestijn, G.J.A.; Verschuur, D.J. Estimating primaries by sparse inversion and application to near-offset data reconstruction. Geophysics 2009, 74, A23–A28. [Google Scholar] [CrossRef] [Green Version]
- Ypma, F.H.C.; Verschuur, D.J. Estimating primaries by sparse inversion, a generalized approach. Geophys. Prospect. 2013, 61, 94–108. [Google Scholar] [CrossRef]
- Lin, T.; Herrmann, F.J. Robust estimation of primaries by sparse inversion via one-norm minimization. Geophysics 2013, 78, R133–R150. [Google Scholar] [CrossRef]
- Weglein, A.B.; Araújo, F.V.; Carvalho, P.M.; Stolt, R.H.; Matson, K.H.; Coates, R.T.; Corrigan, D.; Foster, D.J.; Shaw, S.A.; Zhang, H. Inverse scattering series and seismic exploration. Inverse Probl. 2003, 19, R27–R83. [Google Scholar] [CrossRef]
- Weglein, A.B.; Gasparotto, F.A.; Carvalho, P.M.; Stolt, R.H. An inverse-scattering series method for attenuating multiples in seismic reflection data. Geophysics 1997, 62, 1975–1989. [Google Scholar] [CrossRef]
- Jin, D.; Chang, X.; Liu, Y. Algorithm improvement and strategy of internal multiples prediction based on inverse scattering series method. Chin. J. Geophys. 2008, 51, 1209–1217. (In Chinese) [Google Scholar] [CrossRef]
- Berkhout, A.J.; Verschuur, D.J. Removal of internal multiples with the common-focus-point (CFP) approach: Part 1—Explanation of the theory. Geophysics 2005, 70, V45–V60. [Google Scholar] [CrossRef] [Green Version]
- Slob, E.; Wapenaar, K.; Broggini, F.; Snieder, R. Seismic reflector imaging using internal multiples with Marchenko-type equations. Geophysics 2014, 79, S63–S76. [Google Scholar] [CrossRef] [Green Version]
- Meles, G.A.; Löer, K.; Ravasi, M.; Curtis, A.; da Costa Filho, C.A. Internal multiple prediction and removal using marchenko autofocusing and seismic interferometry. Geophysics 2015, 80, A7–A11. [Google Scholar] [CrossRef] [Green Version]
- Thorbecke, J.; Zhang, L.; Wapenaa, K.; Slob, E. Implementation of the Marchenko Multiple Elimination algorithm. Geophysics 2020, 86, F9–F23. [Google Scholar] [CrossRef]
- Thorbecke, J.; Slob, E.; Brackenhoff, J.; van der Neut, J.; Wapenaar, K. Implementation of the Marchenko method. Geophysics 2017, 82, WB29–WB45. [Google Scholar] [CrossRef] [Green Version]
- Zhang, L.; Slob, E. A field data example of Marchenko multiple elimination. Geophysics 2020, 85, S65–S70. [Google Scholar] [CrossRef] [Green Version]
- IJsseldijk, J.; Wapenaar, K. Adaptation of the iterative Marchenko scheme for imperfectly sampled data. Geophys. J. Int. 2020, 224, 326–336. [Google Scholar] [CrossRef]
- Hinton, G.E.; Srivastava, N.; Krizhevsky, A.; Sutskever, I.; Salakhutdinov, R.R. Improving neural networks by preventing co-adaptation of feature detectors. Comput. Sci. 2012, 3, 212–223. [Google Scholar] [CrossRef]
- Ross, C.P.; Cole, D.M. A comparison of popular neural network facies-classification schemes. Lead. Edge 2017, 36, 340–349. [Google Scholar] [CrossRef]
- Xiong, W.; Ji, X.; Ma, Y.; Wang, Y.; Nasher, M.A.; Mustafa, N.A.; Luo, Y. Seismic fault detection with convolutional neural network. Geophysics 2018, 83, A23–A28. [Google Scholar] [CrossRef]
- Araya-Polo, M.; Jennings, J.; Adler, A.; Dahlke, T. Deep-learning tomography. Lead. Edge 2018, 37, 58–66. [Google Scholar] [CrossRef]
- Das, V.; Pollack, A.; Wollner, U.; Mukerji, T. Convolutional neural network for seismic impedance inversion. Geophysics 2019, 84, R869–R880. [Google Scholar] [CrossRef]
- Liu, L.; Fu, L.; Zhang, M. Deep-seismic-prior-based reconstruction of seismic data using convolutional neural networks. Geophysics 2021, 86, V131–V142. [Google Scholar] [CrossRef]
- Yu, J.; Wu, B. Attention and Hybrid Loss Guided Deep Learning for Consecutively Missing Seismic Data Reconstruction. IEEE Trans. Geosci. Remote Sens. 2022, 60, 1–8. [Google Scholar] [CrossRef]
- Wu, B.; Meng, D.; Zhao, H. Semi-supervised Learning for Seismic Impedance Inversion Using Generative Adversarial Networks. Remote Sens. 2021, 13, 909. [Google Scholar] [CrossRef]
- Siahkoohi, A.; Verschuur, D.J.; Herrmann, F.J. Surface-related multiple elimination with deep learning. In SEG Technical Program Expanded Abstracts; Society of Exploration Geophysicists: Houston, TX, USA, 2019; pp. 4629–4634. [Google Scholar] [CrossRef] [Green Version]
- Yu, S.; Ma, J.; Wang, W. Deep learning for denoising. Geophysics 2019, 84, V333–V350. [Google Scholar] [CrossRef]
- Qu, S.; Verschuur, E.; Zhang, D.; Chen, Y. Training deep networks with only synthetic data: Deep-learning-based near-offset reconstruction for closed-loop surface-related multiple estimation on shallow-water field data. Geophysics 2021, 86, A39. [Google Scholar] [CrossRef]
- Vrolijk, J.W.; Blacquière, G. Source deghosting of coarsely-sampled common-receiver data using a convolutional neural network. Geophysics 2021, 86, V185–V196. [Google Scholar] [CrossRef]
- Song, H.; Mao, W.; Tang, H. Applicatio of deep neural networks for multiples attenuation. Chin. J. Geophys. 2021, 64, 2795–2808. (In Chinese) [Google Scholar] [CrossRef]
- Hinton, G.E.; Salakhutdinov, R.R. Reducing the Dimensionality of Data with Neural Networks. Science 2006, 313, 504–507. [Google Scholar] [CrossRef] [Green Version]
- Ronneberger, O.; Fischer, P.; Brox, T. U-Net: Convolutional Networks for Biomedical Image Segmentation; Springer: Cham, Switzerland, 2015. [Google Scholar] [CrossRef]
- Zhang, L.; Slob, E. Free-surface and internal multiple elimination in one step without adaptive subtraction. Geophysics 2019, 84, A7–A11. [Google Scholar] [CrossRef]
- Bao, P.; Wang, X.; Xie, J.; Wang, W.; Shi, Y.; Xu, J.; Yang, Y. Internal multiple suppression method based on iterative inversion. Chin. J. Geophys. 2021, 64, 2061–2072. (In Chinese) [Google Scholar] [CrossRef]
- Quan, T.M.; Hildebrand, D.G.C.; Jeong, W.K. Fusionnet: A deep fully residual convolutional neural network for image segmentation in connectomics. arXiv 2016, arXiv:1612.05360. [Google Scholar] [CrossRef]
- Zhang, W.; Gao, J.; Jiang, X.; Sun, W. Consistent Least-Squares Reverse Time Migration Using Convolutional Neural Networks. IEEE Trans. Geosci. Remote Sens. 2021, 60, 1–19. [Google Scholar] [CrossRef]
- Saad, O.M.; Chen, Y. Deep denoising autoencoder for seismic random noise attenuation. Geophysics 2020, 85, V367. [Google Scholar] [CrossRef]
- Khudorozhkov, R.; Illarionov, E.; Broilovskiy, A.; Kalashnikov, N.; Podvyaznikov, D.; Arefina, A.; Kuvaev, A. SeismicPro Library for Seismic Data Processing and ML Models Training and Inference. 2019. Available online: https://github.com/gazprom-neft/SeismicPro (accessed on 11 April 2022).
- Krizhevsky, A.; Sutskever, I.; Hinton, G.E. ImageNet classification with deep convolutional neural networks. Commun. ACM 2017, 60, 84–90. [Google Scholar] [CrossRef]
- Clevert, D.-A.; Unterthiner, T.; Hochreiter, S. Fast and accurate deep network learning by exponential linear units (ELUS). In Proceedings of the ICLR (Poster), San Juan, Puerto Rico, 2–4 May 2016. [Google Scholar] [CrossRef]
- Girshick, R. Fast R-CNN. In Proceedings of the 2015 IEEE International Conference on Computer Vision (ICCV), Santiago, Chile, 7–13 December 2015; pp. 1440–1448. [Google Scholar]
- Kingma, D.; Ba, J. Adam: A Method for Stochastic Optimization. In Proceedings of the 3rd International Conference for Learning Representations, San Diego, CA, USA, 7–9 May 2015. [Google Scholar] [CrossRef]
- Bengio, Y. Practical Recommendations for Gradient-Based Training of Deep Architectures; Springer: Berlin/Heidelberg, Germany, 2012. [Google Scholar] [CrossRef] [Green Version]
- Staring, M.; Dukalski, M.; Belonosov, M.; Baardman, R.H.; Yoo, J.; Hegge, R.F.; van Borselen, R.; Wapenaar, K. Robust estimation of primaries by sparse inversion and Marchenko equation-based workflow for multiple suppression in the case of a shallow water layer and a complex overburden: A 2D case study in the Arabian Gulf. Geophysics 2021, 86, Q15–Q25. [Google Scholar] [CrossRef]
- Jakubowicz, H. Wave equation prediction and suppression of interbed multiples. In SEG Technical Program Expanded Abstracts; Society of Exploration Geophysicists: New Orleans, LA, USA, 1998; pp. 1527–1530. [Google Scholar] [CrossRef]
- Yosinski, J.; Clune, J.; Bengio, Y.; Lipson, H. How transferable are features in deep neural networks? In Proceedings of the 27th International Conference on Neural Information Processing Systems, Cambridge, MA, USA, 8 December 2014; pp. 3320–3328. [Google Scholar] [CrossRef]
- Wu, B.; Meng, D.; Wang, L.; Liu, N.; Wang, Y. Seismic Impedance Inversion Using Fully Convolutional Residual Network and Transfer Learning. IEEE Geosci. Remote Sens. Lett. 2020, 17, 2140–2144. [Google Scholar] [CrossRef]






















Publisher’s Note: MDPI stays neutral with regard to jurisdictional claims in published maps and institutional affiliations. |
© 2022 by the authors. Licensee MDPI, Basel, Switzerland. This article is an open access article distributed under the terms and conditions of the Creative Commons Attribution (CC BY) license (https://creativecommons.org/licenses/by/4.0/).
Share and Cite
Bao, P.; Shi, Y.; Wang, W.; Xu, J.; Guo, X. Surface-Related and Internal Multiple Elimination Using Deep Learning. Energies 2022, 15, 3883. https://doi.org/10.3390/en15113883
Bao P, Shi Y, Wang W, Xu J, Guo X. Surface-Related and Internal Multiple Elimination Using Deep Learning. Energies. 2022; 15(11):3883. https://doi.org/10.3390/en15113883
Chicago/Turabian StyleBao, Peinan, Ying Shi, Weihong Wang, Jialiang Xu, and Xuebao Guo. 2022. "Surface-Related and Internal Multiple Elimination Using Deep Learning" Energies 15, no. 11: 3883. https://doi.org/10.3390/en15113883
APA StyleBao, P., Shi, Y., Wang, W., Xu, J., & Guo, X. (2022). Surface-Related and Internal Multiple Elimination Using Deep Learning. Energies, 15(11), 3883. https://doi.org/10.3390/en15113883
