Evidential Extreme Learning Machine Algorithm-Based Day-Ahead Photovoltaic Power Forecasting
Abstract
:1. Introduction
- (1)
- A novel EELM algorithm is developed to handle the high nonlinear regression problem of PV forecasting. The proposed algorithm, which embedded multiple ELM models into the evidential theoretic framework, will help to improve the accuracy and stability of PV forecasting. Differing from other algorithms, the algorithm sufficiently considers the nearest neighbors of the predicted points and introduces their model, rather than their actual values, into the prediction process.
- (2)
- A new multi-model framework for PV power predicting on the basis of similar days selection is established. Basically, the proposed prediction framework reconstructs the original database by inserting the power and meteorological factors of similar days into the prediction inputs, and divides the original database into several sub-databases. The integration of multiple similar days allows the prediction model to consider the uncertainty of PV generation and contributes to the reliability of the forecasting model.
- (3)
- In the foundation of the proposed algorithm, available deterministic values as well as probabilistic intervals can be accessed. The confidence intervals are directly calculated by the forecasting results of ELM models and their belief assignments, which is helpful to improve the accuracy of the probabilistic forecasting results.
2. Preliminary
2.1. Extreme Learning Machine
2.2. Evidential Regression
2.2.1. Belief Function Theory
2.2.2. Evidential Regression
- Step 1 Evidence construction on training data
- Step 2 Discounting of the mass function
- Step 3 Combination of the discounted mass function
3. The Proposed Evidential Extreme Learning Machine for Photovoltaic Forecasting
3.1. Evidential Extreme Learning Machine Algorithm
- Step 1. Initialize the regression problem and algorithm parameters.
- Step 2. Reconstruct the database for each ELM model.
- Step 3. Initialize the weights and bias of input in ELM model.
- Step 4. Calculate the output weights of ELM.
- Step 5. Optimize the weights, bias and regularization coefficient.
- Step 6. Discounting and combination of mass function.
- Step 7. Optimize parameter γ.
- Step 8. Prediction process.
3.2. Photovoltaic Power Forecasting Based on Evidential Extreme Learning Machine
4. Case Study
4.1. Correlation between Photovoltaic Power Generation and Input Variables
4.2. Preprocessing and Performance Criterion
5. Results and Discussion
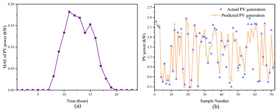
5.1. Deterministic Performance Evaluation
5.2. Comparison of Various Regression Algorithms
5.3. Tuning of Parameters
5.4. Probabilistic Performance
6. Conclusions
Author Contributions
Funding
Institutional Review Board Statement
Informed Consent Statement
Acknowledgments
Conflicts of Interest
Abbreviations
| ABC | artificial bee colony |
| ANN | artificial neural network |
| BBA | basic belief assignment |
| BP | back-propagation |
| CWC | coverage width criterion |
| ELM | extreme learning machine |
| MAE | mean absolute error |
| MLP | multilayer perceptron |
| MP | Moore Penrose |
| MSE | mean square error |
| nRMSE | normalized root mean square error |
| PCC | Pearson correlation coefficient |
| PICP | prediction interval coverage probability |
| PINAW | prediction interval normalized average width |
| PINC | prediction interval nominal confidence |
| PV | photovoltaic |
| RELM | regularized extreme learning machine |
| SLFN | single-hidden layer feed forward neural network |
| SVM | support vector machine |
References
- Sobri, S.; Koohi-Kamali, S.; Rahim, N.A. Solar photovoltaic generation forecasting methods: A review. Energy Convers. Manag. 2018, 156, 459–497. [Google Scholar] [CrossRef]
- Wang, M.; Zhang, T.; Wang, P.; Chen, X. An improved harmony search algorithm for solving day-ahead dispatch optimization problems of integrated energy systems considering time-series constraints. Energy Build. 2020, 229, 110477. [Google Scholar] [CrossRef]
- Zang, H.; Cheng, L.; Ding, T.; Cheung, K.; Wei, Z.; Sun, G. Day-ahead photovoltaic power forecasting approach based on deep convolutional neural networks and meta learning. Int. J. Electr. Power Energy Syst. 2019, 118, 105790. [Google Scholar] [CrossRef]
- Huang, C.; Cao, L.; Peng, N.; Li, S.; Zhang, J.; Wang, L.; Luo, X.; Wang, J.-H. Day-ahead forecasting of hourly photovoltaic power based on robust multilayer perception. Sustainability 2018, 10, 4863. [Google Scholar] [CrossRef] [Green Version]
- Al-Waeli, A.H.; Kazem, H.A.; Chaichan, M.T.; Sopian, K. Photovoltaic/Thermal (PV/T) Systems: Principles, Design, and Applications; Springer: Berlin/Heidelberg, Germany, 2019. [Google Scholar]
- Gu, B.; Shen, H.; Lei, X.; Hu, H.; Liu, X. Forecasting and uncertainty analysis of day-ahead photovoltaic power using a novel forecasting method. Appl. Energy 2021, 299, 117291. [Google Scholar] [CrossRef]
- Rakhshani, E.; Rouzbehi, K.; Sánchez, A.J.; Tobar, A.C.; Pouresmaeil, E. Integration of Large Scale PV-Based Generation into Power Systems: A Survey. Energies 2019, 12, 1425. [Google Scholar] [CrossRef] [Green Version]
- Zhou, Y.; Zhou, N.; Gong, L.; Jiang, M. Prediction of photovoltaic power output based on similar day analysis, genetic algorithm and extreme learning machine. Energy 2020, 204, 117894. [Google Scholar] [CrossRef]
- Das, U.K.; Tey, K.S.; Seyedmahmoudian, M.; Mekhilef, S.; Idris, M.Y.I.; Van Deventer, W.; Horan, B.; Stojcevski, A. Forecasting of photovoltaic power generation and model optimization: A review. Renew. Sustain. Energy Rev. 2018, 81, 912–928. [Google Scholar] [CrossRef]
- Wang, H.; Liu, Y.; Zhou, B.; Li, C.; Cao, G.; Voropai, N.; Barakhtenko, E. Taxonomy research of artificial intelligence for deter-ministic solar power forecasting. Energy Convers. Manag. 2020, 214, 112909. [Google Scholar] [CrossRef]
- Konstantinou, M.; Peratikou, S.; Charalambides, A. Solar Photovoltaic Forecasting of Power Output Using LSTM Networks. Atmosphere 2021, 12, 124. [Google Scholar] [CrossRef]
- Nespoli, A.; Ogliari, E.; Leva, S.; Massi Pavan, A.; Mellit, A.; Lughi, V.; Dolara, A. Day-ahead photovoltaic forecasting: A com-parison of the most effective techniques. Energies 2019, 12, 1621. [Google Scholar] [CrossRef] [Green Version]
- Mellit, A.; Pavan, A.M.; Ogliari, E.; Leva, S.; Lughi, V. Advanced methods for photovoltaic output power forecasting: A review. Appl. Sci. 2020, 10, 487. [Google Scholar] [CrossRef] [Green Version]
- Ogliari, E.; Dolara, A.; Manzolini, G.; Leva, S. Physical and hybrid methods comparison for the day ahead PV output power forecast. Renew. Energy 2017, 113, 11–21. [Google Scholar] [CrossRef]
- Wang, H.; Yi, H.; Peng, J.; Wang, G.; Liu, Y.; Jiang, H.; Liu, W. Deterministic and probabilistic forecasting of photovoltaic power based on deep convolutional neural network. Energy Convers. Manag. 2017, 153, 409–422. [Google Scholar] [CrossRef]
- Mayer, M.J.; Gróf, G. Extensive comparison of physical models for photovoltaic power forecasting. Appl. Energy 2020, 283, 116239. [Google Scholar] [CrossRef]
- Ahmed, R.; Sreeram, V.; Mishra, Y.; Arif, M. A review and evaluation of the state-of-the-art in PV solar power forecasting: Techniques and optimization. Renew. Sustain. Energy Rev. 2020, 124, 109792. [Google Scholar] [CrossRef]
- Vagropoulos, S.I.; Chouliaras, G.I.; Kardakos, E.G.; Simoglou, C.K.; Bakirtzis, A.G. Comparison of SARIMAX, SARIMA, modified SARIMA and ANN-based models for short-term PV generation forecasting. In Proceedings of the 2016 IEEE International Energy Conference (ENERGYCON), Leuven, Belgium, 4–8 April 2016; pp. 1–6. [Google Scholar] [CrossRef]
- Wang, F.; Zhen, Z.; Wang, B.; Mi, Z. Comparative study on KNN and SVM based weather classification models for day ahead short term solar pv power forecasting. Appl. Sci. 2018, 8, 28. [Google Scholar] [CrossRef] [Green Version]
- Eseye, A.T.; Zhang, J.; Zheng, D. Short-term photovoltaic solar power forecasting using a hybrid Wavelet-PSO-SVM model based on SCADA and Meteorological information. Renew. Energy 2018, 118, 357–367. [Google Scholar] [CrossRef]
- Sanjari, M.J.; Gooi, H.B. Probabilistic forecast of PV power generation based on higher order markov chain. IEEE Trans. Power Syst. 2016, 32, 2942–2952. [Google Scholar] [CrossRef]
- Lee, H.; Kim, N.W.; Lee, J.G.; Lee, B.T. Kalman filter-based adaptive forecasting of PV power output. In Proceedings of the 2020 International Conference on Information and Communication Technology Convergence (ICTC), Jeju Island, Korea, 21–23 October 2020; pp. 1342–1347. [Google Scholar]
- Zamo, M.; Mestre, O.; Arbogast, P.; Pannekoucke, O. A benchmark of statistical regression methods for short-term forecasting of photovoltaic electricity production, Part I: Deterministic forecast of hourly production. Sol. Energy 2014, 105, 792–803. [Google Scholar] [CrossRef]
- Yadav, H.K.; Pal, Y.; Tripathi, M. Photovoltaic power forecasting methods in smart power grid. In Proceedings of the 2015 Annual IEEE India Conference (INDICON), New Delhi, India, 17–20 December 2015; pp. 1–6. [Google Scholar] [CrossRef]
- Liu, L.; Zhan, M.; Bai, Y. A recursive ensemble model for forecasting the power output of photovoltaic systems. Sol. Energy 2019, 189, 291–298. [Google Scholar] [CrossRef]
- Leva, S.; Dolara, A.; Grimaccia, F.; Mussetta, M.; Ogliari, E. Analysis and validation of 24 hours ahead neural network forecasting of photovoltaic output power. Math. Comput. Simul. 2017, 131, 88–100. [Google Scholar] [CrossRef] [Green Version]
- Gao, M.; Li, J.; Hong, F.; Long, D. Day-ahead power forecasting in a large-scale photovoltaic plant based on weather classification using LSTM. Energy 2019, 187, 115838. [Google Scholar] [CrossRef]
- Huang, G.-B.; Zhu, Q.-Y.; Siew, C.-K. Extreme learning machine: Theory and applications. Neurocomputing 2006, 70, 489–501. [Google Scholar] [CrossRef]
- Liu, Z.F.; Li, L.L.; Tseng, M.L.; Lim, M.K. Prediction short-term photovoltaic power using improved chicken swarm optimizer-extreme learning machine model. J. Clean. Prod. 2020, 248, 119272. [Google Scholar] [CrossRef]
- Behera, M.K.; Majumder, I.; Nayak, N. Solar photovoltaic power forecasting using optimized modified extreme learning ma-chine technique. Eng. Sci. Technol. Int. J. 2018, 21, 428–438. [Google Scholar]
- Luo, P.; Zhu, S.; Han, L.; Chen, Q. Short-term photovoltaic generation forecasting based on similar day selection and extreme learning machine. In Proceedings of the 2017 IEEE Power & Energy Society General Meeting, Chicago, IL, USA, 16–20 July 2017; pp. 1–5. [Google Scholar] [CrossRef]
- Tan, Q.; Mei, S.; Dai, M.; Zhou, L.; Wei, Y.; Ju, L. A multi-objective optimization dispatching and adaptability analysis model for wind-PV-thermal-coordinated operations considering comprehensive forecasting error distribution. J. Clean. Prod. 2020, 256, 120407. [Google Scholar] [CrossRef]
- Kaplanis, S.; Kaplani, E. A model to predict expected mean and stochastic hourly global solar radiation I(h;nj) values. Renew. Energy 2007, 32, 1414–1425. [Google Scholar] [CrossRef]
- Han, Y.; Wang, N.; Ma, M.; Zhou, H.; Dai, S.; Zhu, H. A PV power interval forecasting based on seasonal model and non-parametric estimation algorithm. Sol. Energy 2019, 184, 515–526. [Google Scholar] [CrossRef]
- Deng, W.; Zheng, Q.; Chen, L. Regularized extreme learning machine. In Proceedings of the 2009 IEEE Symposium on Computational Intelligence and Data Mining, Nashville, TN, USA, 30 March–2 April 2009; pp. 389–395. [Google Scholar]
- Su, Z.-G.; Wang, Y.-F.; Wang, P.-H. Parametric regression analysis of imprecise and uncertain data in the fuzzy belief function framework. Int. J. Approx. Reason. 2013, 54, 1217–1242. [Google Scholar] [CrossRef]
- Dempster, A.P. Upper and lower probabilities induced by a multivalued mapping. In Classic Works of the Dempster-Shafer Theory of Belief Function; Springer: Berlin/Heidelberg, Germany, 2008; pp. 57–72. [Google Scholar]
- Shafer, G. A Mathematical Theory of Evidence; Princeton University Press: Princeton, NJ, USA, 1976. [Google Scholar]
- Petit-Renaud, S.; Denœux, T. Nonparametric regression analysis of uncertain and imprecise data using belief functions. Int. J. Approx. Reason. 2004, 35, 1–28. [Google Scholar] [CrossRef] [Green Version]
- Su, Z.-G.; Wang, P.-H.; Shen, J.; Yu, X.-J.; Lv, Z.-Z.; Lu, L. Multi-model strategy based evidential soft sensor model for predicting evaluation of variables with uncertainty. Appl. Soft Comput. 2011, 11, 2595–2610. [Google Scholar] [CrossRef]
- Wang, P.-H.; Su, Z.-G. Research on Theory of Belief Function and Modelling for Cognizing Unmeasured Parameters in Power System; Southeast University: Dhaka, Bangladesh, 2010. [Google Scholar]
- Zhao, Y. Research on Evidence Research Modelling and Its Application of Thermal Objects; Southeast University: Dhaka, Bangladesh, 2018. [Google Scholar]
- Karaboga, D.; Basturk, B. A powerful and efficient algorithm for numerical function optimization: Artificial bee colony (ABC) algorithm. J. Glob. Optim. 2007, 39, 459–471. [Google Scholar] [CrossRef]
- Cohen, I.; Huang, Y.; Chen, J.; Benesty, J. Pearson correlation coefficient. In Noise Reduction in Speech Processing; Springer: Berlin/Heidelberg, Germany, 2009. [Google Scholar]
- Qiu, Y.; Zhou, Z. 2018–2019 PV Generation of a Rooftop Plant in the University of Macau and Weather Report. IEEEDataPort. Available online: https://ieee-dataport.org/documents/2018-2019-pv-generation-rooftop-plant-university-macau-and-weather-report (accessed on 23 November 2021).
- Khosravi, A.; Nahavandi, S.; Creighton, D.; Atiya, A.F. Comprehensive Review of Neural Network-Based Prediction In-tervals and New Advances. IEEE Trans. Neural Netw. 2011, 22, 1341–1356. [Google Scholar] [CrossRef] [PubMed]
- Aderhold, A.; Diwold, K.; Scheidler, K.; Middendorf, M. Artificial bee colony optimization: A new selection scheme and its performance. In Nature Inspired Cooperative Strategies for Optimization (NICSO 2010); Springer: Berlin/Heidelberg, Germany, 2010. [Google Scholar]
- Li, C.; Tang, G.; Xue, X.; Chen, X.; Wang, R.; Zhang, C. Deep interval prediction model with gradient descend optimization method for short-term wind power prediction. arXiv 2019, arXiv:1911.08160. [Google Scholar]
- Zhou, Z.; Zhang, J.; Liu, P.; Li, Z.; Georgiadis, M.C.; Pistikopoulos, E.N. A two-stage stochastic programming model for the optimal design of distributed energy systems. Appl. Energy 2012, 103, 135–144. [Google Scholar] [CrossRef]















| Influencing Factor | PCC Value | Influencing Factor | PCC Value |
|---|---|---|---|
| Solar irradiation | 0.9434 | Wind speed | −0.0046 |
| Atmospheric temperature | 0.3584 | Wind direction | −0.0536 |
| PV power of similar days | 0.9389 | Wind angle | −0.2623 |
| Relative humidity | −0.5600 | Precipitation | −0.1182 |
| Cloud amount | −0.4851 | Atmospheric pressure | 0.0051 |
| Forecasting Models | EELM | MLP | ELM | Evidential Regression | SVM |
|---|---|---|---|---|---|
| MAE | 0.0182 | 0.0572 | 0.0573 | 0.0602 | 0.0900 |
| MSE | 0.0049 | 0.0167 | 0.0166 | 0.0183 | 0.0386 |
| nRMSE (%) | 18.3893 | 33.8667 | 33.8405 | 35.4932 | 51.5477 |
| Time Frame | Distribution | Standard Deviation |
|---|---|---|
| November–April 9:00 a.m.–15:00 p.m. | N(μ, σ2) | 12%μ |
| November–April the rest of the day | N(μ, σ2) | 25%μ |
| May–October 9:00 a.m.–15:00 p.m. | N(μ, σ2) | 3%μ |
| May–October the rest of the day | N(μ, σ2) | 8%μ |
| Probabilistic Model | PINC | PICP | PINAW | CWC |
|---|---|---|---|---|
| EELM | 50% | 52.78% | 0.1963 | 0.1963 |
| EELM | 80% | 81.94% | 0.3927 | 0.3927 |
| EELM | 90% | 88.89% | 0.4732 | 1.0323 |
| EELM | 99% | 100% | 0.6174 | 0.6174 |
| Normal distribution | 50% | 36.11% | 0.0633 | 0.5720 |
| Normal distribution | 80% | 50% | 0.1203 | 10.9533 |
| Normal distribution | 90% | 50% | 0.1545 | 62.4678 |
| Normal distribution | 99% | 58.33% | 0.2419 | 108.0870 |
| Probabilistic Model | PINC | PICP | PINAW | CWC |
|---|---|---|---|---|
| EELM | 50% | 54.55% | 0.0612 | 0.0612 |
| EELM | 80% | 100% | 0.1415 | 0.1415 |
| EELM | 90% | 100% | 0.1794 | 0.1794 |
| EELM | 99% | 100% | 0.5125 | 0.5125 |
| Normal distribution | 50% | 81.82% | 0.1261 | 0.1261 |
| Normal distribution | 80% | 81.82% | 0.2395 | 0.2395 |
| Normal distribution | 90% | 81.82% | 0.3074 | 1.3562 |
| Normal distribution | 99% | 100% | 0.4814 | 0.4814 |
Publisher’s Note: MDPI stays neutral with regard to jurisdictional claims in published maps and institutional affiliations. |
© 2022 by the authors. Licensee MDPI, Basel, Switzerland. This article is an open access article distributed under the terms and conditions of the Creative Commons Attribution (CC BY) license (https://creativecommons.org/licenses/by/4.0/).
Share and Cite
Wang, M.; Wang, P.; Zhang, T. Evidential Extreme Learning Machine Algorithm-Based Day-Ahead Photovoltaic Power Forecasting. Energies 2022, 15, 3882. https://doi.org/10.3390/en15113882
Wang M, Wang P, Zhang T. Evidential Extreme Learning Machine Algorithm-Based Day-Ahead Photovoltaic Power Forecasting. Energies. 2022; 15(11):3882. https://doi.org/10.3390/en15113882
Chicago/Turabian StyleWang, Minli, Peihong Wang, and Tao Zhang. 2022. "Evidential Extreme Learning Machine Algorithm-Based Day-Ahead Photovoltaic Power Forecasting" Energies 15, no. 11: 3882. https://doi.org/10.3390/en15113882
APA StyleWang, M., Wang, P., & Zhang, T. (2022). Evidential Extreme Learning Machine Algorithm-Based Day-Ahead Photovoltaic Power Forecasting. Energies, 15(11), 3882. https://doi.org/10.3390/en15113882
