Exergy Analysis of the Prevailing Residential Heating System and Derivation of Future CO2-Reduction Potential
Abstract
:1. Introduction
2. Methodology
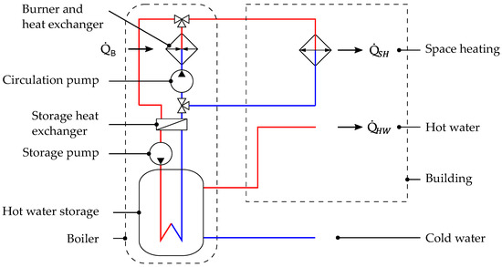
2.1. Experimental Setup of the Boiler
2.2. Three-Dimensional Heat Exchanger Simulation
2.3. One-Dimensional Building Simulation
3. Results and Discussion
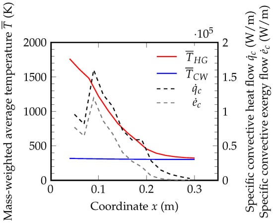
3.1. Stationary Analysis on Heat Exchanger Level
3.2. Transient Analysis on Building Level
4. Conclusions
Author Contributions
Funding
Institutional Review Board Statement
Informed Consent Statement
Data Availability Statement
Conflicts of Interest
Abbreviations
| CW | Cold water |
| HG | Hot gas |
| HW | Hot water |
| P | Propane |
| SH | Space heating |
| TC | Thermocouple |
| TEG | Thermoelectric Generator |
| tot | total |
References
- European Commission. A Clean Planet for All: A European Strategic Long-Term Vision for a Prosperous, Modern, Competitive and Climate Neutral Economy: COM(2018) 773 Final. 2018. Available online: https://eur-lex.europa.eu/legal-content/EN/TXT/PDF/?uri=CELEX:52018DC0773 (accessed on 30 April 2022).
- Bertelsen, N.; Vad Mathiesen, B. EU-28 Residential Heat Supply and Consumption: Historical Development and Status. Energies 2020, 13, 1894. [Google Scholar] [CrossRef]
- Fernández-Cheliz, D.; Velasco-Gómez, E.; Peral-Andrés, J.; Tejero-González, A. Energy Performance Optimization in a Condensing Boiler. Environ. Sci. Proc. 2021, 9, 6. [Google Scholar] [CrossRef]
- Huang, X.; Sun, M.; Kang, Y. Fireside Corrosion on Heat Exchanger Surfaces and Its Effect on the Performance of Gas-Fired Instantaneous Water Heaters. Energies 2019, 12, 2583. [Google Scholar] [CrossRef] [Green Version]
- Życzyńska, A.; Majerek, D.; Suchorab, Z.; Żelazna, A.; Kočí, V.; Černý, R. Improving the Energy Performance of Public Buildings Equipped with Individual Gas Boilers Due to Thermal Retrofitting. Energies 2021, 14, 1565. [Google Scholar] [CrossRef]
- International Renewable Energy Agency. Hydrogen: A Renewable Energy Perspective. Available online: https://www.irena.org/-/media/Files/IRENA/Agency/Publication/2019/Sep/IRENA_Hydrogen_2019.pdf (accessed on 30 April 2022).
- Xin, Y.; Wang, K.; Zhang, Y.; Zeng, F.; He, X.; Takyi, S.A.; Tontiwachwuthikul, P. Numerical Simulation of Combustion of Natural Gas Mixed with Hydrogen in Gas Boilers. Energies 2021, 14, 6883. [Google Scholar] [CrossRef]
- Bosch Thermotechnik GmbH. One Step Closer to the Energy Transition: Bosch Presents Hydrogen Boiler for Residential Buildings. 2020. Available online: https://www.bosch-presse.de/pressportal/de/en/der-energiewende-einen-schritt-naeher-220800.html (accessed on 30 April 2022).
- Gołębiewski, M.; Galant-Gołębiewska, M. Economic Model and Risk Analysis of Energy Investments Based on Cogeneration Systems and Renewable Energy Sources. Energies 2021, 14, 7538. [Google Scholar] [CrossRef]
- Bantle, C. BDEW-Gaspreisanalyse Januar 2022. Available online: https://www.bdew.de/media/documents/220124_BDEW-Gaspreisanalyse_Januar_2022_24.01.2022_final_YTK8Nlb.pdf (accessed on 30 April 2022).
- Mailach, B.; Oschatz, B. BDEW-Heizkostenvergleich Altbau 2017: Ein Vergleich der Gesamtkosten Verschiedener Systeme zur Heizung und Warmwasserbereitung in Altbauten. Available online: https://www.bdew.de/internet.nsf/res/24E1B62F814ADC3DC12580B30059CEB8/\protect\T1\textdollarfile/1_FINAL%20HKV-Altbau%202017.pdf (accessed on 13 June 2018).
- Bantle, C. BDEW-Strompreisanalyse. Available online: https://www.bdew.de/media/documents/220504_BDEW-Strompreisanalyse_April_2022_04.05.2022.pdf (accessed on 30 April 2022).
- Icha, P. Entwicklung der Spezifischen Kohlendioxid-Emissionen des Deutschen Strommix in den Jahren 1990–2020. Available online: https://www.umweltbundesamt.de/sites/default/files/medien/5750/publikationen/2021-05-26_cc-45-2021_strommix_2021_0.pdf (accessed on 30 April 2022).
- Kober, M. Holistic Development of Thermoelectric Generators for Automotive Applications. J. Electron. Mater. 2020, 49, 2910–2919. [Google Scholar] [CrossRef] [Green Version]
- Kober, M.; Knobelspies, T.; Rossello, A.; Heber, L. Thermoelectric Generators for Automotive Applications: Holistic Optimization and Validation by a Functional Prototype. J. Electron. Mater. 2020, 49, 2902–2909. [Google Scholar] [CrossRef] [Green Version]
- Kober, M. The High Potential for Waste Heat Recovery in Hybrid Vehicles: A Comparison Between the Potential in Conventional and Hybrid Powertrains. J. Electron. Mater. 2020, 49, 2928–2936. [Google Scholar] [CrossRef] [Green Version]
- Heber, L.; Schwab, J. Modelling of a thermoelectric generator for heavy-duty natural gas vehicles: Techno-economic approach and experimental investigation. Appl. Therm. Eng. 2020, 174, 115156. [Google Scholar] [CrossRef]
- Heber, L.; Schwab, J.; Knobelspies, T. 3 kW Thermoelectric Generator for Natural Gas-Powered Heavy-Duty Vehicles—Holistic Development, Optimization and Validation. Energies 2022, 15, 15. [Google Scholar] [CrossRef]
- Qiu, K.; Hayden, A.C.S. Development of Thermoelectric Self-Powered Heating Equipment. J. Electron. Mater. 2011, 40, 606–610. [Google Scholar] [CrossRef]
- Zhang, Y.; Wang, X.; Cleary, M.; Schoensee, L.; Kempf, N.; Richardson, J. High-performance nanostructured thermoelectric generators for micro combined heat and power systems. Appl. Therm. Eng. 2016, 96, 83–87. [Google Scholar] [CrossRef] [Green Version]
- Evola, G.; Costanzo, V.; Marletta, L. Exergy Analysis of Energy Systems in Buildings. Buildings 2018, 8, 180. [Google Scholar] [CrossRef] [Green Version]
- Yildiz, A.; Güngör, A. Energy and exergy analyses of space heating in buildings. Appl. Energy 2009, 86, 1939–1948. [Google Scholar] [CrossRef]
- Lohani, S.P. Energy and exergy analysis of fossil plant and heat pump building heating system at two different dead-state temperatures. Energy 2010, 35, 3323–3331. [Google Scholar] [CrossRef]
- Baldi, M.G.; Leoncini, L. Effect of Reference State Characteristics on the Thermal Exergy Analysis of a Building. Energy Procedia 2015, 83, 177–186. [Google Scholar] [CrossRef] [Green Version]
- Bosch Thermotechnik GmbH. Datenblatt Gas-Brennwertgerät Condens GC9000iWM. Technical Data Sheet. Available online: https://www.bosch-thermotechnology.com/ocsmedia/optimized/full/o342378v47_6720869212.pdf (accessed on 30 April 2022).
- DIN EN 60584-1:2014-07; Thermoelemente–Teil 1: Thermospannungen und Grenzabweichungen (IEC_60584-1:2013); Deutsche Fassung EN_60584-1:2013. DIN Deutsches Institut für Normung e.V.: Berlin, Germany, 2014. [CrossRef]
- Robert Bosch GmbH. Heißfilm-Luftmassenmesser. Technical Data Sheet. Available online: https://www.ibs-gruppe.de/shop/media/pdf/7f/45/6e/Datenblatt-0-280-218-119.pdf (accessed on 30 April 2022).
- Robert Bosch GmbH. Sauerstoff-Lambda-Sonde LSU 4.9. Technical Data Sheet. Available online: https://www.ibs-gruppe.de/shop/media/pdf/72/3f/75/Datenblatt57c022628447c.pdf (accessed on 30 April 2022).
- H. Hermann Ehlers GmbH. Magnetisch-Induktive Durchflussmesser. Technical Data Sheet. Available online: https://www.ehlersgmbh.com/media/pdf/Datenblaetter/Badger/DB-BA-MID-Uebersicht.pdf (accessed on 30 April 2022).
- Müller, D.; Remmen, P.; Constantin, A.; Lauster, M.; Fuchs, M. AixLib—An Open-Source Modelica Library within the IEA-EBC Annex60 Framework. In Proceedings of the CESBP Central European Symposium on Building Physics and BauSIM 2016, Dresden, Germany, 14–16 September 2016. [Google Scholar]
- Schweizerischer Ingenieur- und Architektenverein. Raumnutzungsdaten für die Energie- und Gebäudetechnik. 2015. Available online: http://shop.sia.ch/normenwerk/architekt/sia%202024/d/2015/D/Product (accessed on 30 April 2022).
- Verein Deutscher Ingenieure. VDI 4655: Referenzlastprofile von Ein- und Mehrfamilienhäusern für den Einsatz von KWK-Anlagen. 2008. Available online: https://www.beuth.de/en/technical-rule/vdi-4655/105958871 (accessed on 30 April 2022).
- DIN 4710:2003-01; Statistiken Meteorologischer Daten zur Berechnung des Energiebedarfs von heiz- und Raumlufttechnischen Anlagen in Deutschland. DIN Deutsches Institut für Normung e.V.: Berlin, Germany, 2003. [CrossRef]










| Energy | Costs (€/kWh) | Emissions (kg/kWh) |
|---|---|---|
| Heat from natural gas | 0.07 [10] | 0.25 [11] |
| Grid electricity | 0.32 [12] | 0.38 [13] |
| Type | Max. Temperature | Accuracy | Diameter |
|---|---|---|---|
| B | 1973 K | ±1.5 K or 0.0025 T | 1.5 mm |
| S | 1873 K | ±1 K | 1.5 mm |
| N | 1573 K | ±1.5 K or 0.004 T | 1.5 mm |
| K | 1473 K | ±1.5 K or 0.004 T | 1 mm |
Publisher’s Note: MDPI stays neutral with regard to jurisdictional claims in published maps and institutional affiliations. |
© 2022 by the authors. Licensee MDPI, Basel, Switzerland. This article is an open access article distributed under the terms and conditions of the Creative Commons Attribution (CC BY) license (https://creativecommons.org/licenses/by/4.0/).
Share and Cite
Schwab, J.; Bernecker, M.; Fischer, S.; Seyed Sadjjadi, B.; Kober, M.; Rinderknecht, F.; Siefkes, T. Exergy Analysis of the Prevailing Residential Heating System and Derivation of Future CO2-Reduction Potential. Energies 2022, 15, 3502. https://doi.org/10.3390/en15103502
Schwab J, Bernecker M, Fischer S, Seyed Sadjjadi B, Kober M, Rinderknecht F, Siefkes T. Exergy Analysis of the Prevailing Residential Heating System and Derivation of Future CO2-Reduction Potential. Energies. 2022; 15(10):3502. https://doi.org/10.3390/en15103502
Chicago/Turabian StyleSchwab, Julian, Markus Bernecker, Saskia Fischer, Bijan Seyed Sadjjadi, Martin Kober, Frank Rinderknecht, and Tjark Siefkes. 2022. "Exergy Analysis of the Prevailing Residential Heating System and Derivation of Future CO2-Reduction Potential" Energies 15, no. 10: 3502. https://doi.org/10.3390/en15103502
APA StyleSchwab, J., Bernecker, M., Fischer, S., Seyed Sadjjadi, B., Kober, M., Rinderknecht, F., & Siefkes, T. (2022). Exergy Analysis of the Prevailing Residential Heating System and Derivation of Future CO2-Reduction Potential. Energies, 15(10), 3502. https://doi.org/10.3390/en15103502

