Numerical Investigation into the Natural Convection of Cryogenic Supercritical Helium in a Spherical Enclosure
Abstract
1. Introduction
2. Physical Model and Methodology
2.1. Physical Model
2.2. Numerical Model
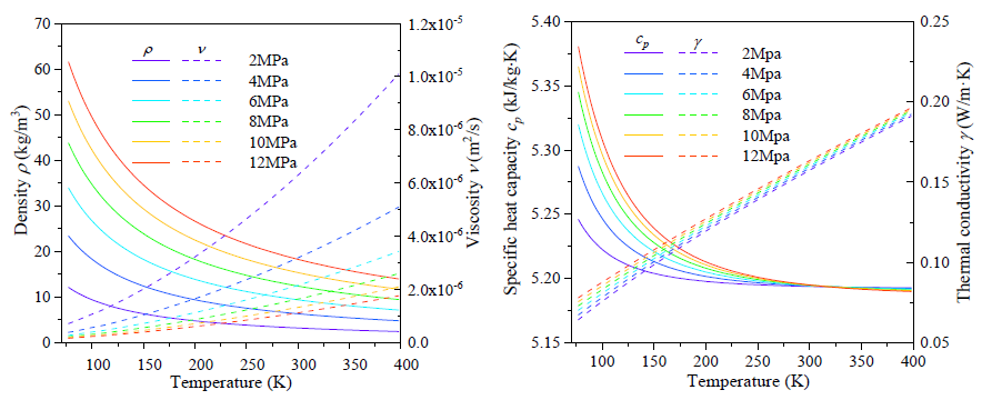
2.2.1. Governing Equations
2.2.2. Numerical Approaches and Boundary Conditions
2.3. Model Validation
2.3.1. Experiment Setup
2.3.2. Model Validation
3. Results and Discussions
3.1. Effects of Inflation Pressure and Heating Power on the Natural Convection
3.2. Natural Convection Heat Transfer Correlation of Supercritical Helium in a Spherical Enclosure
4. Conclusions
- (1)
- The increase in the inflation pressure in the cavity is helpful to enhance the natural convection heat transfer of the cryogenic supercritical helium. With the increase in the inflation pressure in the cavity, the velocity and temperature gradient in the boundary layer near the heating rod decrease, and the temperature distribution in the cavity tends to be more uniform.
- (2)
- The influence of the inflation pressure in the cavity on the flow pattern is relatively small, but the velocity in the “flame like” region above the heating rod decreases with the increase in the inflation pressure.
- (3)
- The classical heat transfer correlation is modified by introducing the density ratio as . The average error between the simulation results and the calculated values is approximately 8%, which can better describe the natural convection heat transfer of cryogenic supercritical helium in the spherical enclosure.
Author Contributions
Funding
Institutional Review Board Statement
Informed Consent Statement
Conflicts of Interest
Nomenlacture
| G | gravitational acceleration, m/s2 |
| H | heat transfer coefficient, W/(m2K) |
| Nusselt Number | |
| L | characteristic length, m |
| P | pressure, Pa |
| Q | heat flux, W/m2 |
| Ra | Rayleigh number |
| T | Temperature, K |
| velocity, m/s | |
| Subscripts | |
| C | cold |
| Eff | effective |
| H | heat |
| K | surface k |
| L | difference between the radius of the cavity and the heating rod |
| R | radiation |
| T | turbulent |
| Greek symbols | |
| A | thermal diffusion coefficient, m2/s |
| B | thermal expansion coefficient, 1/K |
| E | emissivity |
| P | density, kg/m3 |
| thermal Conductivity, W/(m·K) | |
| N | kinematic viscosity, m2/s |
References
- Bishop, E.; Mack, L.; Scanlan, J. Heat transfer by natural convection between concentric spheres. Int. J. Heat Mass Transf. 1966, 9, 649–662. [Google Scholar] [CrossRef]
- McCoy, C.T.; Powe, R.E.; Bishop, E.H.; Weber, N.; Scanlan, J.A. Free Convection between a Vertical Cylinder and a Spherical Enclosure. In International Heat Transfer Conference 5; Begell House: Tokyo, Japan, 1974. [Google Scholar]
- Powe, R.E.; Warrington, R.O. Natural convection heat transfer between bodies and their spherical enclosure. J. Heat Transf. 1983, 105, 440–446. [Google Scholar] [CrossRef]
- Ghaddar, N.K. Natural convection heat transfer between a uniformly heated cylindrical element and its rectangular enclosure. Int. J. Heat Mass Transf. 1992, 35, 2327–2334. [Google Scholar] [CrossRef]
- Kim, B.; Lee, D.; Ha, M.; Yoon, H. A numerical study of natural convection in a square enclosure with a circular cylinder at different vertical locations. Int. J. Heat Mass Transf. 2008, 51, 1888–1906. [Google Scholar] [CrossRef]
- Lee, D.; Jang, H.; Lee, B.J.; Choi, W.; Byon, C. Internal natural convection around a sphere in a rectangular chamber. Int. J. Heat Mass Transf. 2019, 136, 501–509. [Google Scholar] [CrossRef]
- Seo, Y.M.; Ha, M.Y.; Park, Y.G. A numerical study on the three-dimensional natural convection with a cylinder in a long rectan-gular enclosure. Part I: Size effect of a circular cylinder or an elliptical cylinder. Int. J. Heat Mass Transf. 2019, 134, 420–436. [Google Scholar] [CrossRef]
- Seo, Y.M.; Ha, M.Y.; Park, Y.G. A numerical study on the three-dimensional natural convection with a cylinder in a long rectan-gular enclosure. Part II: Inclination angle effect of the elliptical cylinder. Int. J. Heat Mass Transf. 2019, 131, 795–806. [Google Scholar] [CrossRef]
- Cho, H.W.; Park, Y.G.; Ha, M.Y. The natural convection in a square enclosure with two hot inner cylinders, Part I: The effect of one elliptical cylinder with various aspect ratios in a vertical array. Int. J. Heat Mass Transf. 2018, 125, 815–827. [Google Scholar] [CrossRef]
- Cho, H.W.; Ha, M.Y.; Park, Y.G. Natural convection in a square enclosure with two hot inner cylinders, Part II: The effect of two elliptical cylinders with various aspect ratios in a vertical array. Int. J. Heat Mass Transf. 2019, 135, 962–973. [Google Scholar] [CrossRef]
- Shariati, A.; Peters, C.J. Recent developments in particle design using supercritical fluids. Curr. Opin. Solid State Mater. Sci. 2003, 7, 371–383. [Google Scholar] [CrossRef]
- Hall, W.B.; Jackson, J.D. Heat Transfer Near the Critical Point. In Proceedings of the International Heat Transfer Conference 6, Toronto, ON, Canada, 7–11 August 1978; Volume 7, pp. 1–86. [Google Scholar] [CrossRef]
- Müller, E.A.; Estévez, L.A. Mixing expansivities and Grashof numbers in supercritical fluids using cubic equations-of-state. J. Supercrit. Fluids 1990, 3, 136–142. [Google Scholar] [CrossRef]
- Accary, G.; Raspo, I. A 3D finite volume method for the prediction of a supercritical fluid buoyant flow in a differentially heated cavity. Comput. Fluids 2006, 35, 1316–1331. [Google Scholar] [CrossRef]
- Teymourtash, A.R.; Khonakdar, R.D.; Raveshi, M.R. Natural convection on a vertical plate with variable heat flux in supercritical fluids. J. Supercrit. Fluids 2013, 74, 115–127. [Google Scholar] [CrossRef]
- Shan, X.; Schmidt, D.P.; Watkins, J.J. Study of natural convection in supercritical CO2 cold wall reactors: Simulations and ex-periments. J. Supercrit. Fluids 2007, 40, 84–92. [Google Scholar] [CrossRef]
- Reddy, G.J.; Basha, H.; Narayanan, N.S.V. A numerical investigation of transient natural convective heat transfer to isobutane in the supercritical region. J. Supercrit. Fluids 2018, 250, 131–149. [Google Scholar]
- Hilal, M.A.; Boom, R.W.; El-Wakil, M.M. Free Convection Heat Transfer to Supercritical Helium. In Proceedings of the Sixth In-ternational Cryogenic Engineering Conference, Grenoble, France, 11 May 1976. [Google Scholar]
- Hilal, M.A.; Boom, R.W. An experimental investigation of free convection heat transfer in supercritical helium. Int. J. Heat Mass Transf. 1980, 23, 697–705. [Google Scholar] [CrossRef]
- Mori, H.; Ogata, H. Natural convection heat transfer of supercritical helium in a channel. Trans. Jpn. Soc. Mech. Eng. Ser. B 1991, 57, 3465–3468. [Google Scholar] [CrossRef][Green Version]
- Irie, F.; Matshushita, T.; Takeo, M.; Klipping, G.; Lüders, K.; Ruppert, U. Heat Transfer to Helium in the Near-Critical Region. In Advances in Cryogenic Engineering; Springer Science and Business Media LLC: Berlin/Heidelberg, Germany, 1978; pp. 326–332. [Google Scholar]
- Fahs, M.; Younes, A. A high-accurate fourier-galerkin solution for buoyancy-driven flow in a square cavity. Numer. Heat Transf. Part B Fundam. 2014, 65, 495–517. [Google Scholar] [CrossRef]
- Zhou, J.Z.; Xu, X.P.; Chu, W.J.; Zhu, Z.C.; Chen, Y.H.; Lai, S.W. Analysis and simulation of the fluid field in thermal water-jet nozzle based on ANSYS FLUENT & ICEM CFD. Appl. Mech. Mater. 2013, 423, 1677–1684. [Google Scholar] [CrossRef]














Publisher’s Note: MDPI stays neutral with regard to jurisdictional claims in published maps and institutional affiliations. |
© 2021 by the authors. Licensee MDPI, Basel, Switzerland. This article is an open access article distributed under the terms and conditions of the Creative Commons Attribution (CC BY) license (https://creativecommons.org/licenses/by/4.0/).
Share and Cite
Qiu, Y.; Zhai, H.; Zheng, Y.; Lei, G.; Wang, T.; Wang, L.; Shu, S. Numerical Investigation into the Natural Convection of Cryogenic Supercritical Helium in a Spherical Enclosure. Energies 2021, 14, 2584. https://doi.org/10.3390/en14092584
Qiu Y, Zhai H, Zheng Y, Lei G, Wang T, Wang L, Shu S. Numerical Investigation into the Natural Convection of Cryogenic Supercritical Helium in a Spherical Enclosure. Energies. 2021; 14(9):2584. https://doi.org/10.3390/en14092584
Chicago/Turabian StyleQiu, Yinan, Hua Zhai, Yao Zheng, Gang Lei, Tianxiang Wang, Li Wang, and Shuiming Shu. 2021. "Numerical Investigation into the Natural Convection of Cryogenic Supercritical Helium in a Spherical Enclosure" Energies 14, no. 9: 2584. https://doi.org/10.3390/en14092584
APA StyleQiu, Y., Zhai, H., Zheng, Y., Lei, G., Wang, T., Wang, L., & Shu, S. (2021). Numerical Investigation into the Natural Convection of Cryogenic Supercritical Helium in a Spherical Enclosure. Energies, 14(9), 2584. https://doi.org/10.3390/en14092584

