Next Article in Journal
Techno-Economic Analysis of Waste Heat Utilization in Data Centers: Application of Absorption Chiller Systems
Next Article in Special Issue
Impact of Process Parameters on the Diameter of Nanobubbles Generated by Electrolysis on Platinum-Coated Titanium Electrodes Using Box–Behnken Experimental Design
Previous Article in Journal
Economics of Battery Use in Agriculture: Economic Viability of Renewable Energy Complemented with Batteries in Agriculture
Previous Article in Special Issue
Pressure Drops in Two-Phase Gas–Liquid Flow through Channels Filled with Open-Cell Metal Foams
 
 
Font Type:
Arial Georgia Verdana
Font Size:
Aa Aa Aa
Line Spacing:
Column Width:
Background:
Article

Two-Phase Liquid–Liquid Flow in the Aspect of Reduction of Pumping Power of Hydrophobic Substances with High Viscosity

Department of Process and Environmental Engineering, Faculty of Mechanical Engineering, Opole University of Technology, 5 MikolajczykaStr, 45-271 Opole, Poland
Energies 2021, 14(9), 2432; https://doi.org/10.3390/en14092432
Submission received: 6 March 2021 / Revised: 7 April 2021 / Accepted: 22 April 2021 / Published: 24 April 2021
(This article belongs to the Special Issue Multiphase Flows)

Abstract

The paper reports the results of a study into a method of estimating the level of power/energy reduction needed for pumping highly viscous hydrophobic liquids. The effect of reducing the flow resistance resulting from feeding an adequate volume of water into the flow tube is considered. The polar parameters of water selected for analysis are different than oil. Experimental studies were not carried out in this regard, since the commonly accessible equation expressing the resistance of two-phase liquid–liquid flow was utilized to develop the method discussed in this study. On its basis, simulations were carried out to determine the conditions and level of reduction of the two-phase flow resistance in comparison to the single-phase flow resistance of a highly viscous oily liquid. The analysis of the results provided means for determination of such ranges of variations in the flow parameters of the two-phase liquid–liquid system, in which the total power of pumps applied to pump both liquids is smaller than the power of one pump feeding oil into the pipeline in the conditions of single-phase flow. Calculations were performed for selected constant mass flux densities of oil with various viscosities as well as for water. The proposed method can be applied in the procedure of optimization calculations for pipeline installations and their feed systems. The given example of its use was preceded by a description of the reasons and effects associated with the reduction of flow resistance in liquid–liquid systems and a detailed presentation of how to use the equation that forms the essence of the described calculation method. Attention was also paid to other phenomena accompanying two-phase liquid–liquid flows, i.e., interfacial slip, phase inversion, specific flow structures, and the viscosity of the unstable mixture of two liquids flowing in the pipe.

Graphical Abstract

1. Introduction

The important and currently up-to-date steps aimed at rational energy use require optimization of technological installations in terms of energy demand, mainly electricity or heat. Actions taken in this area involve both existing installations, as well as new, redesigned, or significantly upgraded installations. If they are used to carry out processes on liquid substances, their indispensable elements include systems dedicated to pumping substrates, semi-finished products, and final products. It is often the case that the energy consumption of a given technological operation is not determined by the course of the process carried out in a specific apparatus, but by the energy necessary to provide it with the appropriate volume or mass flow rates of process fluids. We can mention installations used for the implementation of heat or mass transfer as an example, although pipeline fluid conveying systems form the most common examples in this area.
The process fluid feeding systems primarily include pumps. Their design is diverse, as it often depends on the specific properties of the substances that need to be pumped. In practice, these are not single-component homogeneous liquids, but multi-component solutions or multiphase mixtures. Regardless of the principle of operation of such pumps, the energy required for its correct operation is directly related to the demand for pumping power. As we know, this power results from the product of the flow rate of the substance flow and the overpressure generated by the pump that is necessary to overcome certain flow resistance. It is also worth recalling that the mechanical performance of a pump does not depend on the phenomena that occur in the pipeline.
Therefore, efforts made to reduce the demand for energy required to pump a substance need to involve measures taken with the purpose of drag reduction in the pipes of process installations. It is of particular importance when these are substances with high viscosities. It is assumed that their viscosity is 100 times greater than that of water, which practically eliminates all gases and vapors from this group. However, there are a large number of various liquids and solutions and multiphase systems. In this respect, petroleum-derived substances attract particular interest in research. These are hydrophobic liquids with a complex composition and high viscosity, whose pumping in pipes of technological installations requires a significant input of energy.
The reduction of the pressure losses of the liquid flowing in a pipe of a certain diameter and length is possible only by reducing inherent forces developed in it, which are the reaction of the substance to its strain rate. The value of these forces results directly from the phenomenon of inherent friction, i.e., fluid viscosity. Thus, an effective way to lower the energy required to pump any liquid would be to lower its viscosity, which is easily accomplished by increasing the temperature. However, such an action is not commonly technically viable, and besides, it generates a considerable demand for another form of energy, i.e., heat.
The outcomes related to lowering the drag resistance of liquid substances can be more feasibly obtained using surfactants. With regard to conveying highly viscous petroleum liquids or permanent emulsions in a pipeline, the essence of such activities and a description of its results is reported by Zaki [1], Mowla and Naderi [2], as well as Gillies et al. [3]. These studies indicate that the presence of appropriately selected surfactants can reduce the shear stresses on the pipe wall, and thus the flow resistance. However, the type of pipe material and the condition of its surface are important, as clearly indicated in their works by Angeli and Hewitt [4] or Ioannou et al. [5]. Practical examples of the effectiveness of such activities in relation to crude oil are given by Hassanean et al. [6], Nesyn et al. [7], as well as Eshrati [8]. A reduction of flow resistance of up to 50% forms a feasible option using even very small amounts of surfactants. It is most often a high-molecular polymer, the concentration of which ranges from 20 to 100 ppm. The level of drag reduction caused by the addition of a small amount of an appropriately selected polymer is possible not only in relation to oil liquids with high viscosities. A similar effect can also be obtained in the case of hydrophilic liquids. Moreover, in practice, it is even easier to achieve, since a number of additives applied for this purpose (e.g., polyacrylamide) are more easily distributed in the volume of the slightly viscous water phase than in the oil phase. Surfactants are also used to reduce the drag resistance of a two-phase mixture, including a liquid–liquid system (Edowmonyi-Out [9]).
However, the application of surfactants with the purpose of lowering the drag resistance of highly viscous oil liquids may have significant limitations. The first of them is faced when even a small content of them is undesirable in the substance processed in a given technology. Complete removal of these additives from the already pumped liquid is practically impossible. The second problem is the flow of those oily substances which contain small volumes of water. In this case, the presence of surfactants promotes the formation of a permanent emulsion. If it is an unplanned and spontaneous phenomenon, its effects may be adverse or even dangerous for the correct operation of a given technological installation. It should also be remembered that the separation of emulsion components is difficult to implement, and its rheological properties may differ significantly from those of its components in a pure state (Krynke et al. [10]). However, the greatest obstacle is related to the fact that the actual effect of the surfactant cannot be predicted only on the basis of theoretical calculations, and thus at the design stage of the flow system. The selection of the type and amount of surfactant is most often completely based on empirical grounds. Meanwhile, to conduct optimization calculations, it is necessary to have mathematical models (equations) describing the course of a given phenomenon or process. Importantly, such models exist because they describe the results of experimental studies concerning, for example, the resistance of two-phase liquid–liquid flow. One of the few specific phenomena revealed during such flow is the resistance reduction effect.
Any liquid with hydrophobic properties can form the component of the liquid non-permanent two-phase system. However, in technical applications, these are mostly petroleum products or oil substances of various origins. In turn, the hydrophilic liquid is most often just water. Experimental studies concerned with the flow of this type of two-phase liquid–liquid systems carried out on various scales demonstrate the effect of reducing the flow resistance of the highly viscous oil phase can be obtained by introducing a certain amount of water into the pipe, e.g., as described in study Mc Kibben et al. [11,12]. Moreover, a decrease in the flow resistance of a highly viscous substance can also be caused by introducing a small amount of a gas phase into the pipe. Such a method is of particular importance when permanent emulsion systems are pumped (in particular, ones classified as O/W type). In their case, the use of water leads to the variations in the volume fraction of the continuous phase and leads to the dilution of the emulsion, and this can adversely affect its functional properties.
The occurrence of the drag reduction effect accompanying two-phase liquid–liquid flow is confirmed by various researchers. In publications of a theoretical nature, the description of the level of this reduction is related to the ratio of the volumes of the phases forming the two-phase system, and thus the variations in the tube surface wetting by each of the liquids and the fluctuations in the distribution of their local velocities. Such an approach is well known because it was presented a long time ago by, among others, Charles and Redberger [13]. However, in experimental papers, the dominant view is that the drag reduction effect results from changes in two-phase flow structures. These changes lead to phase inversion and thus to a change in the type of liquid–liquid system and its physical properties. Such conclusions are provided by Nädler and Mewes [14] and Soleimani et al. [15] among other studies.
The study and description of the phenomena accompanying two-phase liquid–liquid flows still forms a current topic. The study by Ahmed and John [16] outlines the areas that are related to the scope of the problems that need to be explored and better described. Hence, research is still being carried out with regard to reduction of drag reduction caused by the presence of specific additives (Dosumu et al. [17]) as well as with the purpose of the better assessment of the flow hydraulics of water–oil systems in straight-axial pipes (Luo et al. [18]) and process apparatus (Ali et al. [19]). In addition to completely experimental tests, numerical simulations are also carried out in this area, including studies carried out for two-phase liquid–liquid flow in pipes with large diameter (Rodriguez et al. [20]) and in microchannels (Kahouadji et al. [21]).
Regardless of the means applied to explain the reasons responsible for the reduction of drag resistance accompanying two-phase liquid–liquid flow, the authors of the research also propose their own equations that allow to calculate the value of the pressure loss resulting from the flow of a substance in a pipe. Thus, it is possible to use this type of mathematical function in the optimization calculation procedure of flow-through installations. The form of the equations is as comprehensive as can be, and they are supposed to apply to various substances and the conditions of their flow. However, it should be remembered that their scope of applicability is always limited, as these are empirical relationships.
The study reported in this paper contains a proposition of the practical use of one of such equations as a method of predicting drag resistance reduction of a highly viscous oily liquid. The drag resistance effect will result from selection of an adequately controlled flow rate of water fed into the oil flowing in the pipe, i.e., creation of specific conditions for two-phase liquid–liquid flow.

2. Selected Problems of Two-Phase Liquid–Liquid Flow

2.1. Drag Reduction Effect in W/O Type Systems

Just as with other two-phase flow systems, the flow of non-permanent liquid water–oil mixtures is accompanied by the formation of specific flow structures. Moreover, they are more diverse in liquid–liquid systems, as each of the liquids can potentially form continuous as well as dispersed phases. The assessment of the types of flow structures and proposals for regime maps for water–oil systems are disseminated in a variety of studies, which demonstrates the complexity of this issue. However, with the purpose of presenting the relation between the discussion in this section and the equation developed later in this article, the study by Hapanowicz et al. [22] exploring flow resistance of two-phase liquid–liquid systems was selected. It presents the results of original experiments as well as data given in the works by other researchers. The final proposition containing a map of flow structures and the mathematical description of the lines marking boundaries between flow patterns indicated on it allowed the development of a methodof identifying the type of two-phase liquid–liquid system flowing in the pipe. Depending on the type of two-phase structures, these systems were assigned to three groups: water forms in oil (W/O), oil forms in water (O/W), and ambivalent systems (W+O) with various roles played by both liquids in the two-phase system. The developed method of identifying the type of liquid–liquid system proved successful in terms of determining the conditions of phase inversion (Hapanowicz [23]) and the level of interfacial slip in a liquid–liquid system (Hapanowicz [24]). The method of calculating the drag resistance of its flow in a horizontal pipe is also related to the type of two-phase system, which is presented later in this publication. A simplified form of the discussed map is presented in Figure 1. Its horizontal axis represents the superficial mass flux of water gw,s, whereas the vertical one gives the superficial mass flux of oil, go,s.
The lines①and ②marking boundaries between flow patterns representthe conditions of phase inversion, which occurs in the circumstances marked by unstable two-phase liquid–liquid flow in a horizontal pipe. Their ranges are determined by the equations (Hapanowicz [23]):
  • with regard to line ①
    g o , s = 1.3525 g w , s 0.812
  • with regard to line ②
    g o , s = C I g w , s C I I
The parameters marked by CI and CIIdepend onthe relative viscosity of oil in relation to water ηr=ηo/ηw, and their values are determined on the basis of the followings equations:
C I = 0.037 η r 0.398
C I I = 1.514 η r 0.061
In the consideration of the phenomenon of drag reduction effect of viscous oil liquid, which results from the feeding water into a flow system, the structures representing the W/O systems need to be considered. They are illustrated by the photographs presented in Figure 2a–c. The film-dispersed structure given in Figure 2d represents the W+O type system.
Taking into account the conditions that accompany the formation of specific two-phase liquid–liquid flow patterns, the drag reduction mechanism can be explained as follows. If a small amount of water is fed into the pure oil flux, it will lead to formation of a number of small droplets. They will be entrained by the sticky oil, and will be insufficient to form an unbroken contact at the interface with the pipe wall. However, the presence of water will increase the total flux of the liquid flow in the pipe, and therefore its flow resistance will also increase. Moreover, this increase will be very significant as the shear stress at the wall will still be generated in the phase with considerable viscosity. For obvious reasons, the possibility of achieving a drag reduction in actual flow is then not very feasible. The specific characteristics of variations in flow resistance and the method of their calculation in such conditions are given in the paper by Hapanowicz and Troniewski [25].
However, a further increase in the volume of water fed into the pipe will lead to its more effective wetting of the surface of the pipe wall. If the oil flow occurs slowly, the water will then form large plugs. They tend to occupy the entire cross-section of the pipe (Figure 2b), which ensures that the water is in contact with the wall. On the other hand, when the velocity of the oil flow (i.e., the continuous phase) is high, the water is dispersed into a large number of fine droplets (Figure 2c), which also intensifies the contact of water with the pipe wall. Since the viscosity of water is much lower than that of oil, the total frictional forces acting between the substance and the pipe surface will also decrease. In the conditions that promote phase inversion phenomenon, the liquid–liquid system will become metastable in terms of the types of continuous and dispersed phases. The W/O system will transform into W+O, which will be accompanied by the flow of the water–oil film along the pipe wall and the water–oil dispersion in the center of the pipe (Figure 2d). As a result of these phenomena, the flow resistance of a two-phase mixture decreases. Therefore, the effect of drag reduction occurs, but this is true only in comparison to a state in which the volume ratio of water was lower or zero. After the phase inversion process is completed, the water becomes the continuous phase, and an increase in its flow rate leads to another increase in the flow resistance of the two-phase liquid mixture. However, it will take the form of an O/W system.
On the basis of the description provided above, we can conclude that the drag reduction effect of a liquid two-phase W/O mixture can be achieved as a consequence of a simple (in terms of technology) increase of flow rate of the water phase characterized by low viscosity. This procedure is apparently not very comprehensible as it corresponds to such conditions in which the pumping of a greater volume of a substance requires an input of a smaller amount of energy. However, the increase in the water volume fraction leads to the conversion of the flow patterns from W/O to W+O, which in turn initiates the process of phase inversion and consequently results in the reduction of the viscosity of the entire two-phase mixture, which promotes its flow.

2.2. Method Applied for Predicting the Level of Drag Reduction

The level of drag reduction can be interpreted in various manners. For the case when surfactants are applied, this is represented by the relation between the flow resistance generated by a given flux of a viscous substance that contains an addition in the form of an active substance in comparison to the case when such a substance is not added. For the case of a two-phase liquid–liquid system, this can be represented by the ratio of flow resistance in the conditions accompanied by a smaller and greater volume ratio of water. However, bearing in mind the feasible drag reduction effect of pure oil phase generated by the purposeful feeding water, i.e., generation of two-phase liquid–liquid flow, the index of drag reduction DR can be defined by the expression:
D R =   Δ P 2 f Δ P o | Q o = i d e m
Hence, this is the ratio of the flow resistance of two-mixture phase ∆P2fto the resistance generated by the flow of pure oil ∆Po. However, in both cases, the volume flow rateof oil Qo needs to be identical. The possibility of using a volume flow rate is due to the fact that both phases are incompressible, and independent pumps are applied to feed them. This is the default relation applied to express their performance.
However, the application of the index represented by DR is not representative in the case when we need to undertake a comprehensible assessment of the energy demand for pipeline conveying of viscous liquid in the conditions of a two-phase flow. In this case, we need to bear in mind that beside the oil pump, in this case, it will be necessary to apply a second pump. Its job will involve the feeding of adequate volume of the water phase into the pipe. Each of these pumps needs to separately generate an overpressure by pumping separately adequate volumes of oil and water with the purpose of generating the level of overpressure equal to the resistance generated during two-phase flow. In order to assess the decrease for energy required for pumping viscous oil, its flux should be identical for one- and two-phase flow. However, the drag reduction ratio DR must be replaced by the power reduction ratio PR. Its expression takes the form in accordance with the equation:
P R =   Δ P 2 f Q o + Δ P 2 f Q w Δ P o Q o | Q o = i d e m
Equation (6) expresses the change in the energy demand for pumping oily liquid in the two investigated cases. A simple transformation of the Equation (6) also provides an expression in the form:
P R = 1 1 ϕ w   Δ P 2 f Δ P o | Q o = i d e m = D R 1 ϕ w
The volume ratio of water in the two-phase system at the inlet to the pipe φw is straightforward to determine, as it directly results from the flow of the liquid that is pumped by each of the pumps:
ϕ w = Q w Q o + Q w = 1 ϕ o
The generation of a single-phase flow of a specific oil stream requires a pump with a power of Pop,1f. However, under two-phase flow conditions, the power of the oil pump will be Pop,2f, and the power of the water pump that operates simultaneously is equalPwp,2f. Thus, the index of power reduction of the pump set, understood as:
P R =   P o p , 2 f + P w p , 2 f P o p , 1 f | Q o = i d e m
can be considered as the index of energies reduction demanded for pumping an oil stream Qo. The application of an oil pump requires an input of energy equal to Eop, whereas for water pump it is Ewp, i.e., for the investigated single- and two-phase flow, respectively:
P R =   ( E o p + E w p ) 2 f E o p , 1 f | Q o = i d e m
We can easily note that the practical use of the indices DR as well as PR requires knowledge of the method of determining the single-phase flow resistance for the highly viscous oil phase ∆Po flowing independently in the pipe and the two-phase flow resistance ∆P2ffor the system formed by the identical oil phase stream and water.
The calculation of the resistance for oil with the viscosity of ηo and density ρo, whose flow rate is equal to Qo in a pipe with the diameter of d and length L forms a trivial task. Since the consideration involves a highly viscous substance, its flow will most often be laminar. In such conditions, the value of resistances can be determined on the basis of the Hagen–Poiseuille law:
Δ P o = 128 L η o π d 4 Q o
However, if in the considered case, the value of the Reynolds number:
R e o = g o d η o
is greater than 2100, flow will not be laminar. In this case, we need to apply the Darcy–Weisbach equation:
Δ P o = f g o 2 ρ o L r
in which the internal radius of the pipe is equal to r=d/2, and the Fanning factor is f = 0.0791 / R e o 0.25 .
As we know, various dependencies are proposed for calculating the resistance to two-phase liquid–liquid flow. However, in a number of publications, there are only attempts to adapt the methods developed and proven for two-phase gas–liquid systems. This does not always offer the results that could have been predicted, and the proposed equations are valid only under very restricted conditions. The study by Hewitt [26] lists the differences (but also analogies) between the flow hydraulics of gas–liquid and liquid–liquid systems. However, as for two-phase gas–liquid systems, two models are used to describe the flow resistance of a non-permanent two-phase liquid mixture. The first forms a model of a two-phase homogeneous system. This model applies an assumption regarding the homogeneity of the internal structure of the two-phase system, which means that we can apply its equivalent properties and the mean flow velocity of the substance in the pipe. However, the main obstacle faced in this model involves the correct determination of the actual viscosity of the non-permanent mixture, which is formed by two liquids flowing simultaneously in the pipe that are incompatible to each other. The second adopted model contains an assumption that each of the liquids leads to the specific flow effects only in the part of the pipe cross-section that it actually occupies. It is a model of a two-phase separated system, and difficulties in its use result from the necessity to have a method that allows calculation of slip velocity between the phases.
However, regardless of the type of model that is adopted, it is generally believed that such equations that apply only to liquid–liquid systems of a certain type and are limited only to a specific two-phase flow structure prove most effective in practice. We need to remember that in order to describe the reduction in flow resistance, one needs to gain access to a method that can forecast the decreasing nature of their changes with an increase in the total flow of the substance pumped in the pipe. Such requirements are met by the equation presented and described in detail in the work by Hapanowicz [27]. It was compiled on the basis of a series of almost two thousand experimental datasets derived for flow resistance in a horizontal pipe of non-permanent liquid–liquid systems of various types, including over 550 W/O systems. Using the symbolsadopted in this work, it takes the form:
Δ P 2 f Δ P w = C R d p n 1 R e c p n 2 ( ϕ o ϕ w ) n 3 ( Δ P o Δ P w ) n 4 ( η o η w ) n 5
The values of the constant C and exponentsn1…n5 are relative to the type of the two-phase system. They are given in Table 1, and it includes information regarding the type of liquid that should be considered as the continuous phase.
In Equation (14), the two-phase flow resistance ∆P2f is compared to the resistance of the less viscous water phase under the assumption that it flows in the pipe as a single-phase. Since, by application of Equation (14), the liquid–liquid mixture should be considered as a stratified two-phase system, some of its parameters are determined on the basis of the superficial mass flux of water or oil, respectively. So the flow resistance of water is:
Δ P w = f w g w , s 2 2 ρ w L r
and the single-phase flow resistance of oil is:
Δ P o = f o g o , s 2 2 ρ o L r
The Reynolds number for the continuous phase identified in Table 1 is equal to:
R e c p = g c p , s d η c p
The method of calculating the Fanning factor f for water and oil depends on the nature of their flow. The values of fw and fo need to be calculated as for single-phase flow, assuming that the Reynolds number for oil:
R e o = g o , s d η o
whereas for water:
R e w = g w , s d η w
The volume flow rate of water φw as well as oil φo in the liquid mixture at the inlet to the pipe is defined by the expression in (8). However, the application of Equation (14) also requires the determination of the volume flow rate of the dispersed phase Rdp in the two-phase mixture flowing in the pipe. The difference between the values of φ and R is due to the phase slip, which can sometimes be significant. The method of calculating Rdp in Equation (14) also depends on the type of liquid–liquid system (Hapanowicz [24]). In W+O systems, oil should be adopted to play the role of the continuous phase, which conforms with data in Table 1. Consequently, water forms the dispersed phase, and then:
R d p = R w = 1 ϕ o 1.095
In turn, for W/O as well as O/W systems, there is another equation:
R d p = 1 v c p , s 1.004 v 2 f + 0.0248
The superficial velocity of the continuous phase is represented by its volume flow rate Qcp at the inlet to the pipe (i.e., fed by the pump) that is related to its entire cross-section:
v c p , s = 4 Q c p π d 2
At the same time, the mean velocity of the two-phase mixture is expressed as:
v 2 f = 4 ( Q w + Q o ) π d 2
We can note that the values of all quantities used in Equation (14) should be expressed in SI units.
The presented form of Equation (14) relates to three different types of liquid–liquid systems. However, to predict the level of changes in the flow resistance of the oil phase as a result of introducing water into it, it is enough to use its form provided for W/O systems.

3. Example of Quantitative Assessment of Drag Reduction and Pumping Power

Several series of simulations were performed in order to describe the effects of the practical application of Equation (14). Their aim was to assess the potential energy benefits of accompanying the flow of viscous oil liquids when they are combined with a flux of water.
It is worth recalling that such calculations can be made at the stage of designing the installation or planning its structure modification. At the same time, however, it should be emphasized that the adopted values and the range of the variations in the parameters related to the flow conditions cannot be completely random. First of all, they must correspond to the W/O systems. This can be determined on the basis of the previously mentioned map of flow structures (Hapanowicz et al. [22]). The appropriate value of go,s can be derived on the basis of appropriate selection of the diameter of the pipe through which the oil with water needs to be pumped. The determination of a specific diameter of the pipe must be made at the stage of designing or modifying the structure of the installation.
Simultaneously, we need to note that the adopted range of variations in input quantities should correspond to the conditions of applicability of Equation (14). Although its form was developed on the basis of a large set of experimental data, this relation is typically empirical. Under the assumption of the scope of data necessary to conduct simulations, we can notably check whether the limit indicating the possibility of the formation of a permanent emulsion in the pipe will not be exceeded for high flow velocities. The boundaries of emulsion formation are generally indicated by the blue lines shown in Figure 1, while their location for a specific case can be derived on the basis of the study by Brauner and Ullmann [28].
In consideration of the above, the simulations adopted the following input data:
  • oil mass flux: from go,s = 100 to go,s = 600 [kg/(m2·s)];
  • water mass flux: from gw,s=20 [kg/(m2·s)] to the value that is limited by the results of the simulations;
  • diameter of flow pipe: d=38 [mm];
  • densities: for water ρw = 1000 [kg/m3],and oil ρo = 880 [kg/m3];
  • relative density of highly viscous oil phase in relation to the density of the supplemented water: ρr=ρo/ρw 0.88. This parameter in the liquid–liquid systems is only slightly variable.
  • viscosities: for water ηw=1 [mPa·s], for oil: ηw=25, 50, 100, 200 and 300 [mPa·s];
  • relative viscosity of oil in relation to water: ηr= 25, 50, 100, 200, 300.
The results of the calculations offered the possibility of developing series of graphs to illustrate the conditions and the level of drag reduction. However, in the further part of the article, only some of them are presented, as it was sufficient to assess the trend of changes in the course of the described phenomenon and the resulting reduction effect.
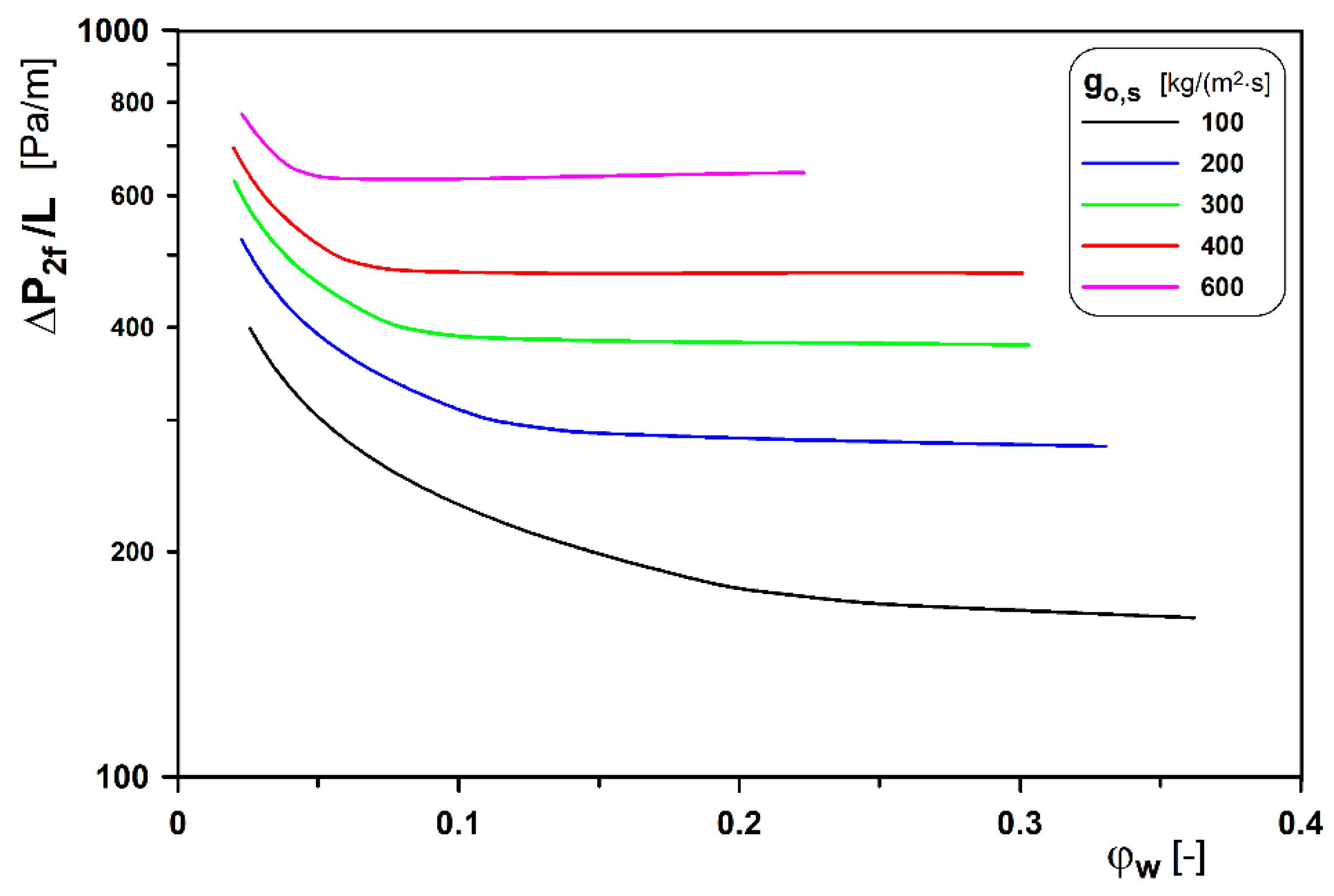
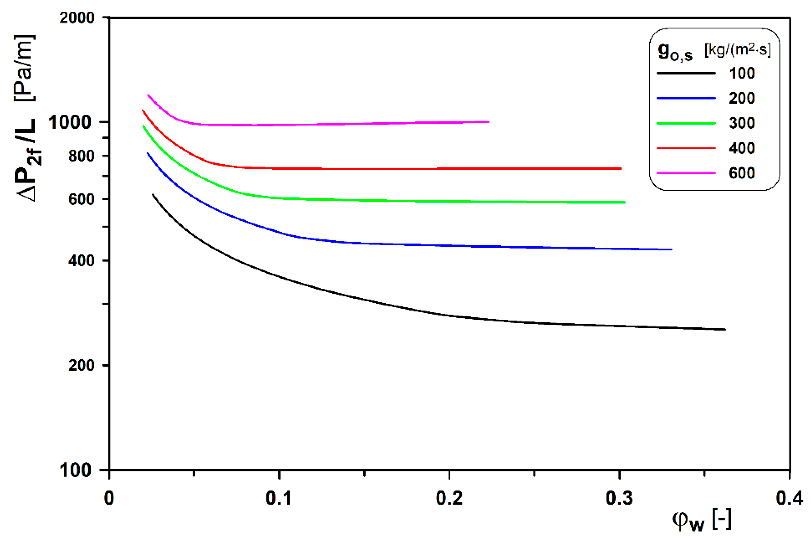
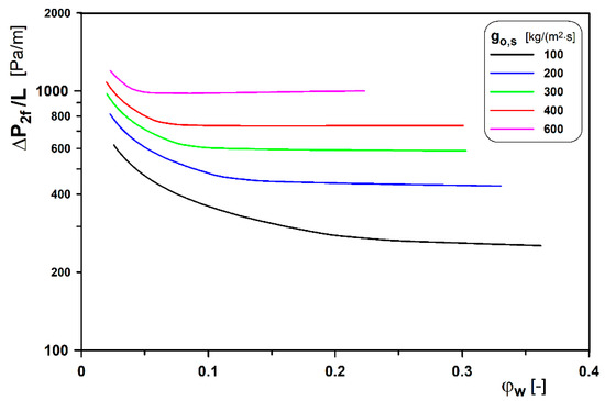
Figure 3 illustrates the variations in specific flow resistance of the two-phase mixture ∆P2f/L recorded for several constant values of mass flux of oil with a viscosity 0.1 [Pa·s]. This value means that oil can be considered as a highly viscous liquid. The variations in the resistances depended on the values of φw. It is a parameter that is easiest to control in practice and its value, as it results from the relations of liquid feed rates pumped into the pipe. The points on the line have not been marked on the chart on purpose, as the course overlaps exactly with the function (14).
As we can see from Figure 3, effective changes in the flow resistance of two-phase mixture occur only within a certain range of variations in the water volume ratios. This range is the wider the smaller the flow rate of oil in the pipe. Moreover, it is pointless to exceed a certain value of the water volume ratio (i.e., its flow rate), as it does not lead to a further decrease in the flow resistance of the mixture. It further remains permanent at a certain level. Therefore, it can be concluded that from now on that the decrease in frictional forces (viscosity) resulting from the content of water in non-permanent two-phase system flow can be offset by the increase in its total mass flow rate.
Similar effects can be recorded for systems formed by water and oil with even greater viscosities, which is confirmed by the diagram shown in Figure 4. It becomes obvious that the flow resistance of such a mixture will be greater compared to the case when the mixture contains oil with a lower viscosity. Clear differences in this respect can be seen by comparing the course of the respective lines in Figure 3 and Figure 4.
Similar characteristics in terms of variations in the flow resistance were also obtained in the case of the simulation results gained for systems comprising oil with a different viscosity. This means that the drag reduction effect is also possible in such a case. We can note that the form of the function (14) can be applied to predict the possibility of a decrease in the resistance despite the total increase in the flux of the substance flowing in the pipe. This is also confirmed by the graphs presented in this section.
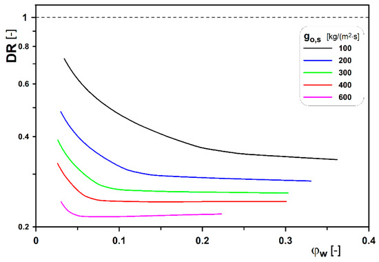
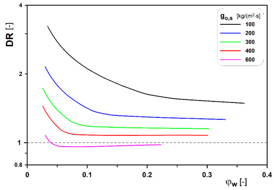
However, it turns out that the decrease in two-phase flow resistance does not guarantee the drag reduction effect required for pumping the pure oil phase. Figure 5 contains the simulation results for the DR index expressed by the Equation (5). The diagram applies to the case of flow of oil with the viscosity ηr = 100. We can see that the level of drag reduction increases along with an increase in mass flux of oil that is carried in the pipe. It is true that the decreasing characteristics of the changes in the value of index of drag reduction is revealed in the cases of various water volume ratios. However, the increase in its flow rate ultimately leads to the stabilization of the value expressed by DR. Furthermore, it appears that under certain conditions, despite the phenomenon of drag reduction of the liquid–liquid system, its value still exceeds the flow resistance of the pure oil phase. In Figure 5, such conditions apply to the part of the line plotted for go,s = 100 [kg/(m2·s)], i.e., for the case when the value of DR is greater than one. We can add that extrapolation of the course of the remaining lines to include a range of small water ratios which can offer similar effects. This fact confirms the very high flow resistance of liquid–liquid systems containing a small amount of water droplets, as noted already earlier in the study.
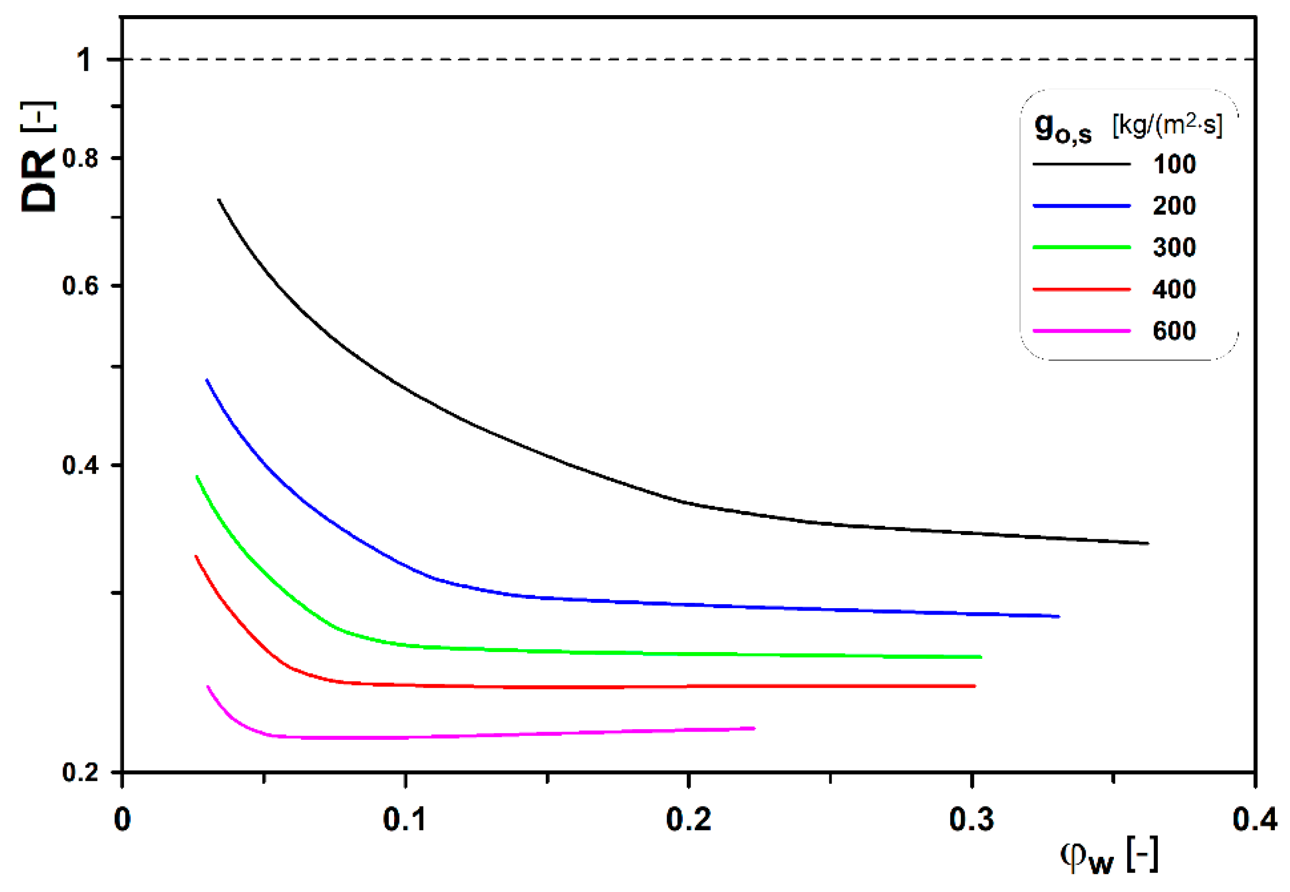
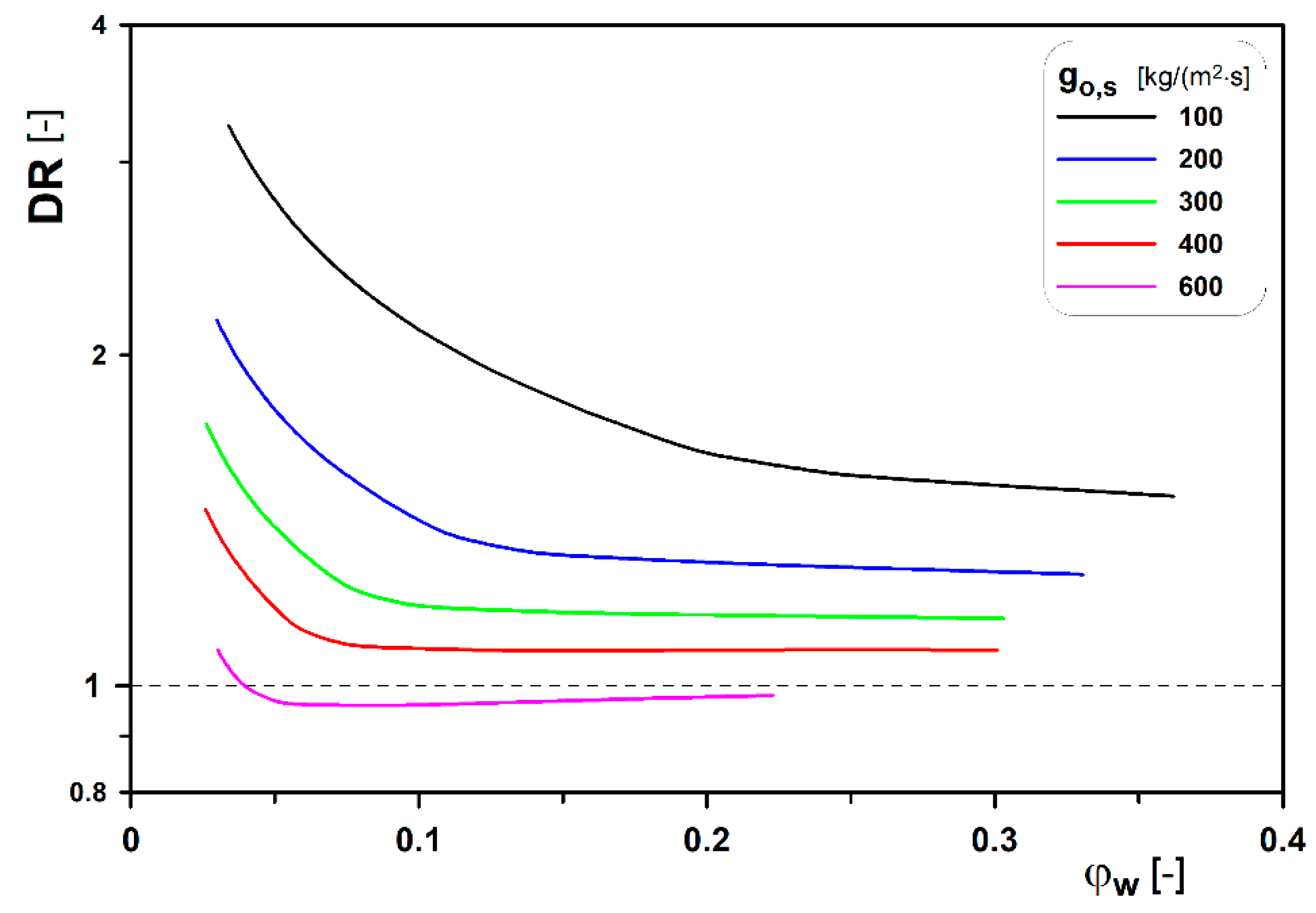
An increase in oil viscosity leads to the conditions in which it is less probable to gain the value of DR greater than 1, even for lower mass flux densities of oil, i.e., for its lower flow velocity in the pipe. This is confirmed by the graph contained in Figure 6, which was developed on the basis of simulations for an oil with a relative viscosity of 300.
In addition, it turns out that as this viscosity increases, the achievable value of DR becomes even lower (which is considered beneficial). This can be easily confirmed by comparing the course of the lines in Figure 5 and Figure 6. There is an obvious conclusion about the beneficial effects of supporting the flow of highly viscous liquids with a water flux, which is well known and presented in the publications of various researchers.
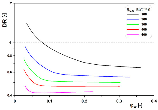
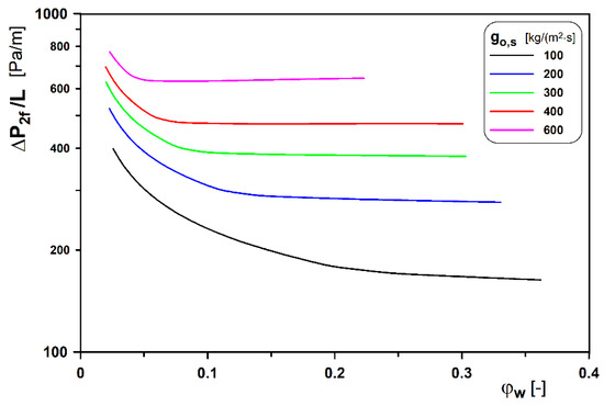
However, the application of this method with regard to any oily liquid does not always prove effective. The graph shown in Figure 7 was compiled on the basis of the results of calculations performed for oil with a viscosity only 25 times higher than that of water.
As we can see from the arrangement of the lines on the graph, in this case, there is virtually no possibility of obtaining the value DR < 1. The resistance of two-phase flow significantly exceeds the value for pure oil. Nevertheless, the proposed method does not provide the possibility of determining such a range of oil viscosities in which case feeding water into the pipeline would be always unfeasible. Hence, each actual case needs to be assessed separately. However, we should remember that the discussed method of reducing the energy demand for pumping a substance applies to oil liquids of high viscosity. Therefore, their viscosity should be at least one hundred times greater than that of water. In practice, the viscosity of many hydrophobic substances meets this condition, and it is precisely their pressing that consumes energy.
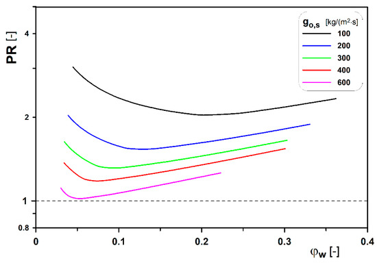
The need to install a water pump also needs to be considered as part of a comprehensive assessment of the possibility of reducing the energy demand for pumping the viscous oil phase. The level of the variations in the total energy resulting from the operation of both pumps can be expressed by the PR index, which is defined by the expression in (7) and, consequently, one in (10). The values of PR can be found in Figure 8, and the presentation contains the simulation results obtained for an oil with a relative viscosity of 25 and confirms that the generation of a two-phase liquid–liquid flow in the pipe can have an effect completely different from one that was projected. The values of PR for all oil flow rates are greater than one, regardless of the flow rate of water at the inlet to the pipe. However, even with high-viscosity oil, the energies reduction effect becomes very clearly visible. The graphs shown in Figure 9 and Figure 10 refer to the results obtained for oil with relative viscosities of 100 and 300, respectively. As we can easily notice, in the case of a more viscous oil, the effect of reducing the pump power will be possible for all considered oil streams.
When we take on an analysis of the course of the lines in Figure 8, Figure 9 and Figure 10, we can easily note that the PR index takes a minimum value before increasing again as φw is increased further. The relations between parameters marked by PRmin and φw gained for oil with various levels of relative viscosity are presented in Figure 11.
The value of PRmin represents the smallest possible power/energies reduction ratio for the operation of a set of feed pumps. Thus, at the same time, we can state that in the conditions of water flow rate equal to PRmin in the two-phase mixture fed into the pipe, the demand for pumping power will be the lowest. However, this does not mean that at the same time the demand will be smaller from the energy input required for a single-phase flow of pure oil. In order to achieve an effective reduction effect, PRmin value must be lower than 1. If this is not the case, it means that the effect of reducing oil flow resistance cannot be achieved by introducing a much less viscous liquid into the pipe, in this case water.
The analysis of the results of simulations, we can apply a detailed section of the map of two-phase liquid–liquid flow structures (Hapanowicz et al. [22]). This section is presented in Figure 12 and three constant oil mass flow rates are marked with blue arrows (as an example).
For these three mass flow rates of oil, simulations were carried out to assess the degree of drag reduction, which also means that we need to assess the power reduction index of the pumping equipment. The colored “stars” represent the conditions corresponding to the lowest power/energy reduction ratio for the given oil flow rate. The presented data refer to an oil with a relative viscosity of ηr = 100, but the simulation results for a different oil mass flux or for an oil with a different viscosity can be presented in a similar way. It should be added that the reduction will also take place outside the conditions indicated by the PRmin but in such a case its level will not be just as considerable.
The analysis of the data in the diagram demonstrates that the value PRmin decreases with the increase in the flow rate of oil in the pipe. This fact should not come as a surprise, because then the total stream of substances increases. It is important, however, that the values of PRmin are lower than one, which at the same time means that the effect of reducing energy demand is achievable. Its level will be higher when a water-in-oil dispersion structure is formed in the pipe. Under these conditions, the contact of water with the inner surface of the pipe is more effective compared to the flow of a small number of relatively large water droplets (see flow structures in Figure 2). It also turns out that the value of the PRmin index increases (which is adverse) along with the increase in the value of φ. The reason for this is associated with an increase in the required water stream, and thus a greater demand for energy necessary for its pumping.
On the basis of Figure 12, we can note the identical value of gw,s corresponding to PRmin for all three selected oil mass flux densities. However, this is nothing peculiar. On the basis of the analysis in detail of the form of Equation (14), we can conclude that for a given constant value of go,s for a given pipe diameter and constant physical properties of both liquids, the value of ∆P2f is solely the function of the water mass flux. The local extreme of this function corresponds to the lowest flow resistance, and taking into account the form of expressions (7), (9), or (10) also the values of the PRmin index. However, it is no longer a constant parameter.
In conclusion, it once again appears that the form of Equation (14) forms a prediction of both the decreasing and increasing characteristics of the variations in the resistance of the two-phase liquid–liquid flow. For this reason, it can be applied to conduct simulation and optimization calculations in terms of determining the conditions necessary to reduce the amount of energy necessary for pumping highly viscous oil liquids in the pipe

4. Conclusions

Achieving the effect of drag reduction of a highly viscous hydrophobic liquid by feeding water into the flow tube does not usually pose a major technological problem. In addition, the pumped non-permanent liquid–liquid two-phase system can later be separated quite easily by mechanical means (e.g., by using a hydrocyclone or a gravity separation technique). Often, such an operation is carried out anyway since many liquid hydrophobic raw materials contain a certain volume of water that forms its contamination. In such cases, the separation of an additional amount of water does not pose a major problem and does not generate a significant increase in the cost of phase separation in comparison to the case when mixture with the original composition was applied. However, the possibility of using the effect of reducing the flow resistance to reduce the power of devices for pumping liquids with high viscosity does not mean that this phenomenon is always beneficial. We need to distinguish between deliberate actions in this area and effects that are unplanned and occur spontaneously, and thus often adverse or even dangerous.
The approach to predicting the effects of reducing flow resistance reported in this paper can be utilized both to assess the possibility of drag reduction in existing installations involving pipes, as well as in the optimization procedure of new flow systems. Moreover, this procedure means that long-lasting experimental work can be avoided. However, it is necessary to have an adequate method suitable for calculation of flow resistance of a two-phase liquid–liquid system. Such a method needs to take into account the effect of drag reduction despite the increase in the volume of substance flow in the pipe. Not all equations describing the flow resistance of non-permanent liquid dispersions fulfil this condition. This is particularly true of those equations which are an attempt to simply transfer the description of flow phenomena from gas-liquid systems to liquid–liquid systems. This needs to be remembered when another dependency than the one described in this paper is applied.

Funding

This research received no external funding.

Institutional Review Board Statement

Not applicable.

Informed Consent Statement

Not applicable.

Data Availability Statement

Not applicable. Theoretical work.

Conflicts of Interest

The authors declare no conflict of interest.

Abbreviations

DRindex of drag reduction
PRindex of power/energies reduction
Nomenclature
dinternal diameter of pipe [m]
fFanning factor [-]
gmass flux [kg/(m2×s)]
rinternal radius of pipe [m]
vvelocity [m/s]
Lpipe length [m]
Qvolumetric flow rate [m3/s]
Rreal volume fraction (hold-up) [-]
ReReynolds number [-]
DP/Lunit flow resistance/pressure drop [Pa]
Greek Symbol
jinput volume fraction [-]
rdensity [kg/m3]
hdynamic viscosity [Pa×s]
Subscripts
1fsingle-phase flow
2ftwo-phase flow
cpcontinuous phase
dpdispersed phase
minminimum value
ooil
opoil pump
rrelative parameter
ssuperficial value
wwater
wpwater pump

References

  1. Zaki, N.N. Surfactant stabilized crude oil in water emulsions for pipeline transporting of viscous crude oil. Colloids Surf. A Physicochem. Eng. Aspects 1997, 125, 19. [Google Scholar] [CrossRef]
  2. Mowla, D.; Naderi, A. Experimental study of drag reduction by a polymeric additive in slug two-phase flow of crude oil and air in horizontal pipes. Chem. Eng. Sci. 2006, 61, 1549. [Google Scholar] [CrossRef]
  3. Gillies, R.G.; Sun, R.; Shook, C.A. Laboratory investigation of inversion of heavy oil emulsions. Can. J. Chem. Eng. 2000, 78, 757. [Google Scholar] [CrossRef]
  4. Angeli, P.; Hewitt, G.F. Pressure drop measurements in oil and water prewetted pipes. In Proceedings of the International Symposium on Liquid-Liquid Two Phase Flow and Transport Phenomena, Antalya, Turkey, 5–10 November 1997; Begell House Publishers: Redding, CT, USA, 2020. [Google Scholar] [CrossRef]
  5. Ioannou, K.; Nydal, O.J.; Angeli, P. Phase inversion in dispersed liquid-liquid flows. Exp. Therm. Fluid Sci. 2005, 29, 331. [Google Scholar] [CrossRef]
  6. Hassanean, M.H.; Awad, M.E.; Marwan, H.; Bhran, A.A.; Kaoud, M. Studying the rheological properties and the influence of drag reduction on a waxy crude oil in pipeline flow. Egypt. J. Pet. 2016, 25, 39. [Google Scholar] [CrossRef]
  7. Nesyn, G.V.; Sunagatullin, R.Z.; Shibaev, V.P.; Malkin, A.Y.A. Drag reduction in transportation of hydrocarbon liquids: From Fundamentals to engineering applications. J. Pet. Sci. Eng. 2018, 161, 715. [Google Scholar] [CrossRef]
  8. Eshrati, M.; Al-Hashim, A.R.; Al-Wahaibi, T.; Al-Wahaibi, Y.; Al-Ajmi, A.; Abubakar, A. Drag reduction using high molecular weight polyacrylamides during multiphase flow of oil and water: A parametric study. J. Pet. Sci. Eng. 2015, 135, 403. [Google Scholar] [CrossRef]
  9. Edowmonyi-Out, L.C.; Chinaud, M.; Angeli, P. Effect of drag reducing polymer on horizontal liquid-liquid flows. Exp. Therm. Fluid Sci. 2015, 64, 164. [Google Scholar] [CrossRef]
  10. Krynke, K.K.; Sęk, J.P. Predicting viscosity of emulsions in the broad range of inner phase concentrations. Colloids Surf. A Physicochem. Eng. Asp. 2004, 245, 81. [Google Scholar] [CrossRef]
  11. Mc Kibben, M.J.; Gillies, R.G.; Shook, C.A. A laboratory investigation of horizontal well heavy oil-water flows. Can. J. Chem. Eng. 2000, 78, 743. [Google Scholar] [CrossRef]
  12. Mc Kibben, M.J.; Gillies, R.G.; Shook, C.A. Predicting pressure gradients in heavy oil-water pipelines. Can. J. Chem. Eng. 2000, 78, 752. [Google Scholar] [CrossRef]
  13. Charles, M.E.; Redberger, P.J. The reduction of pressure gradients in oil pipelines by the addition of water: Numerical analysis of stratified flow. Can. J. Chem. Eng. 1962, 4, 70. [Google Scholar] [CrossRef]
  14. Nädler, M.; Mewes, D. Flow induced emulsification in the flow of two immiscible liquids in horizontal pipes. Int. J. Multiph. Flow 1997, 23, 55. [Google Scholar] [CrossRef]
  15. Soleimani, A.; Lawrence, C.J.; Hewitt, G.F. Effect of mixers on flow pattern and pressure drop in horizontal oil-water pipe flow. In Proceedings of the International Symposium on Liquid-Liquid Two Phase Flow and Transport Phenomena, Antalya, Turkey, 5–10 November 1997; Begell House Publishers: Redding, CT, USA, 2020. [Google Scholar] [CrossRef]
  16. Ahmed, S.A.; John, B. Liquid–Liquid horizontal pipe flow–A review. J. Pet. Sci. Eng. 2018, 168, 426. [Google Scholar] [CrossRef]
  17. Dosumu, A.I.; Edomwonyi-Otu, L.C.; Yusuf, N.; Abubakar, A. Guar gum as flow improver in single-phase water and liquid–liquid flows. Arab. J. Sci. Eng. 2020, 45, 7267. [Google Scholar] [CrossRef]
  18. Luo, X.; Lü, G.; Zhang, W.; He, L.; Lü, Y. Flow structure and pressure gradient of extra heavy crude oil-water two phase flow. Exp. Therm. Fluid Sci. 2017, 82, 174. [Google Scholar] [CrossRef]
  19. Ali, N.; Mandal, M.M. Immiscible liquid-liquid flow in coiled tube. In Proceedings of the ICSISCET 2019: Intelligent Computing Applications for Sustainable Real-World Systems, Gwalior, India, 2–3 November 2019; Springer: Berlin/Heidelberg, Germany, 2019. [Google Scholar] [CrossRef]
  20. Rodriguez, O.M.H.; Rodriguez, I.H.; Ansoni, J.L. An experimental and numerical study on the wall lubrication force in dispersed liquid-liquid flow. Int. J. Multiph. Flow 2019, 120, 103094. [Google Scholar] [CrossRef]
  21. Kahouadji, L.; Nowak, E.; Kovalchuk, N.; Chergui, J.; Juric, D. Simulation of immiscible liquid–Liquid flows in complex micro channel geometries using a front‑tracking scheme. Microfluid. Nanofluidics 2018, 22, 126. [Google Scholar] [CrossRef]
  22. Hapanowicz, J.; Troniewski, L.; Dyga, R. Generalized flow map of two-phase liquid-liquid. Chem. Process. Eng.Inż. Chem. Proc. 2001, 22, 579. [Google Scholar]
  23. Hapanowicz, J. Phase inversion in liquid-liquid pipe flow. Flow Meas. Instrum. 2010, 21, 284. [Google Scholar] [CrossRef]
  24. Hapanowicz, J. Slip between the phases in two-phase water-oil flow in a horizontal pipe. Int. J. Multiph. Flow 2008, 34, 559. [Google Scholar] [CrossRef]
  25. Hapanowicz, J.; Troniewski, L. Two-phase flow of liquid–liquid mixture in the range of the water droplet pattern. Chem. Eng. Process. 2002, 41, 165. [Google Scholar] [CrossRef]
  26. Hewitt, G.F. From gas-liquid to liquid-liquid two-phase flow: A difficult journey. In Proceedings of the International Symposium on Liquid-Liquid Two Phase Flow and Transport Phenomena, Antalya, Turkey, 5–10 November 1997; Begell House Publishers: Redding, CT, USA, 2020. [Google Scholar] [CrossRef]
  27. Hapanowicz, J. Flow of Liquid Dispersion Systems; Publisher: Oficyna Wydawnicza Politechniki Opolskiej: Opole, Poland, 2007; Volume 204, ISSN 1429-6063. [Google Scholar]
  28. Brauner, N.; Ullmann, A. Modeling of phase inversion phenomenon in two-phase pipe flows. Int. J. Multiph. Flow 2002, 28, 1177. [Google Scholar] [CrossRef]
Figure 1. Simplified map with two-phase liquid–liquid flow structures with boundaries of phase inversion (red lines) and conditions responsible for generation of non-permanent emulsions (blue lines).
Figure 1. Simplified map with two-phase liquid–liquid flow structures with boundaries of phase inversion (red lines) and conditions responsible for generation of non-permanent emulsions (blue lines).
Energies 14 02432 g001
Figure 2. Selected two-phase liquid–liquid flow structures in a tube with a diameter of 12 mm (photos from the author’s archive) (a) water droplets in oil, (b) plugs and drops of water in oil, (c) water dispersion in oil,(d) film-dispersed flow of phases.
Figure 2. Selected two-phase liquid–liquid flow structures in a tube with a diameter of 12 mm (photos from the author’s archive) (a) water droplets in oil, (b) plugs and drops of water in oil, (c) water dispersion in oil,(d) film-dispersed flow of phases.
Energies 14 02432 g002
Figure 3. Variations in resistance of oil-water flow recorded for ηr = 100.
Figure 3. Variations in resistance of oil-water flow recorded for ηr = 100.
Energies 14 02432 g003
Figure 4. Variations in flow resistance for water–oil mixture recorded for ηr = 300.
Figure 4. Variations in flow resistance for water–oil mixture recorded for ηr = 300.
Energies 14 02432 g004
Figure 5. Variations in the DR index for oil with a viscosity of ηr = 100.
Figure 5. Variations in the DR index for oil with a viscosity of ηr = 100.
Energies 14 02432 g005
Figure 6. Variations in DR index for oil with a viscosity of ηr=300.
Figure 6. Variations in DR index for oil with a viscosity of ηr=300.
Energies 14 02432 g006
Figure 7. Variations in DR index for oil with the viscosity of ηr = 25.
Figure 7. Variations in DR index for oil with the viscosity of ηr = 25.
Energies 14 02432 g007
Figure 8. Variations in PR index for oil with the viscosity of ηr = 25.
Figure 8. Variations in PR index for oil with the viscosity of ηr = 25.
Energies 14 02432 g008
Figure 9. Variations in PR index for oil with the viscosity of ηr = 100.
Figure 9. Variations in PR index for oil with the viscosity of ηr = 100.
Energies 14 02432 g009
Figure 10. Variations in PR index for oil with the viscosity ηr = 300.
Figure 10. Variations in PR index for oil with the viscosity ηr = 300.
Energies 14 02432 g010
Figure 11. Smallest viable values of PR for oils with various viscosities.
Figure 11. Smallest viable values of PR for oils with various viscosities.
Energies 14 02432 g011
Figure 12. Selected series of simulations for ηr = 100 vs. two-phase liquid–liquid flow structures.
Figure 12. Selected series of simulations for ηr = 100 vs. two-phase liquid–liquid flow structures.
Energies 14 02432 g012
Table 1. Constants and exponents in Equation (14).
Table 1. Constants and exponents in Equation (14).
SystemContinuous PhaseCn1n2n3n4n5
W/Ooil2.57× 1020.39−0.400.710.73−0.73
W+Ooil9.33 × 1052.00−1.132.340.34−1.45
O/Wwater1.55 × 1020.96−0.32−0.900.66−0.41
Publisher’s Note: MDPI stays neutral with regard to jurisdictional claims in published maps and institutional affiliations.

Share and Cite

MDPI and ACS Style

Hapanowicz, J. Two-Phase Liquid–Liquid Flow in the Aspect of Reduction of Pumping Power of Hydrophobic Substances with High Viscosity. Energies 2021, 14, 2432. https://doi.org/10.3390/en14092432

AMA Style

Hapanowicz J. Two-Phase Liquid–Liquid Flow in the Aspect of Reduction of Pumping Power of Hydrophobic Substances with High Viscosity. Energies. 2021; 14(9):2432. https://doi.org/10.3390/en14092432

Chicago/Turabian Style

Hapanowicz, Jerzy. 2021. "Two-Phase Liquid–Liquid Flow in the Aspect of Reduction of Pumping Power of Hydrophobic Substances with High Viscosity" Energies 14, no. 9: 2432. https://doi.org/10.3390/en14092432

APA Style

Hapanowicz, J. (2021). Two-Phase Liquid–Liquid Flow in the Aspect of Reduction of Pumping Power of Hydrophobic Substances with High Viscosity. Energies, 14(9), 2432. https://doi.org/10.3390/en14092432

Note that from the first issue of 2016, this journal uses article numbers instead of page numbers. See further details here.

Article Metrics

Back to TopTop