CO2 Intensities and Primary Energy Factors in the Future European Electricity System
Abstract
1. Introduction
2. Materials and Methods
2.1. Overview
2.2. UCED Model
- Installed capacities for an exceptionally disaggregated set of technologies (Table 1), including 15 types of gas plants and 12 types of coal plants.
- Detailed technical characteristics for every technology (including conversion efficiencies, start-up costs, start-up fuel consumption, variable operation and maintenance costs, minimum up times, minimum stable generation levels, maintenance requirements, forced outage rates and CO2 emissions factors)
- Hourly profiles for electricity demand and electricity generation by wind, solar and hydro technologies in every country (for 2025, 2030 and 2040)
- Net transfer capacities of the transmission lines interconnecting countries
- Fuel and CO2 prices (Table 2)
| Weather Dependent | Gas-Based | Coal-Based | Oil-Based | Other |
|---|---|---|---|---|
| Solar | Gas CCGT CCS | Hard coal new | Heavy oil old 1 | Nuclear |
| Solar Thermal | Gas CCGT new | Hard coal new Bio | Heavy oil old 1 Bio | Battery |
| Wind offshore | Gas CCGT new CCS | Hard coal old 1 | Heavy oil old 2 | DSR |
| Wind onshore | Gas CCGT old 1 | Hard coal old 1 Bio | Light oil | Other non-RES |
| Hydro PS (closed) | Gas CCGT old 2 | Hard coal old 2 | Oil shale new | Other RES |
| Hydro PS (open) | Gas CCGT old 2 Bio | Hard coal old 2 Bio | Oil shale new Bio | |
| Hydro Reservoir | Gas CCGT present 1 | Lignite new | Oil shale old | |
| Hydro RoR | Gas CCGT present 1 CCS | Lignite old 1 | ||
| Gas CCGT present 2 | Lignite old 1 Bio | |||
| Gas CCGT present 2 CCS | Lignite old 2 | |||
| Gas conventional old 1 | Lignite old 2 Bio | |||
| Gas conventional old 2 | ||||
| Gas conventional old 2 Bio | ||||
| Gas OCGT new | ||||
| Gas OCGT old |
| (€/GJ) | NT.2025 | NT.2030 | NT.2040 | DE.2030 | DE.2040 | GA.2030 | GA.2040 |
|---|---|---|---|---|---|---|---|
| Gas | 6.46 | 6.91 | 7.31 | 6.91 | 7.31 | 6.91 | 7.31 |
| Hard coal | 3.79 | 4.30 | 6.91 | 4.30 | 6.91 | 4.30 | 6.91 |
| Heavy oil | 13.26 | 14.63 | 17.21 | 14.63 | 17.21 | 14.63 | 17.21 |
| Light oil | 18.80 | 20.51 | 22.15 | 20.51 | 22.15 | 20.51 | 22.15 |
| Lignite | 1.10 | 1.10 | 1.10 | 1.10 | 1.10 | 1.10 | 1.10 |
| Nuclear | 0.47 | 0.47 | 0.47 | 0.47 | 0.47 | 0.47 | 0.47 |
| Oil shale | 2.30 | 2.30 | 2.30 | 2.30 | 2.30 | 2.30 | 2.30 |
| (€/tonne) | |||||||
| CO2 | 23 | 28 | 75 | 53 | 100 | 35 | 80 |
2.3. Flow Tracing
2.4. Calculation of Conversion Factors
2.4.1. Average Values
2.4.2. Marginal Values
3. Results
3.1. Overview
3.2. General Future Evolution of Conversion Factors across Europe
3.3. Seasonal Variability of Conversion Factors
3.4. Hourly Variability of Conversion Factors
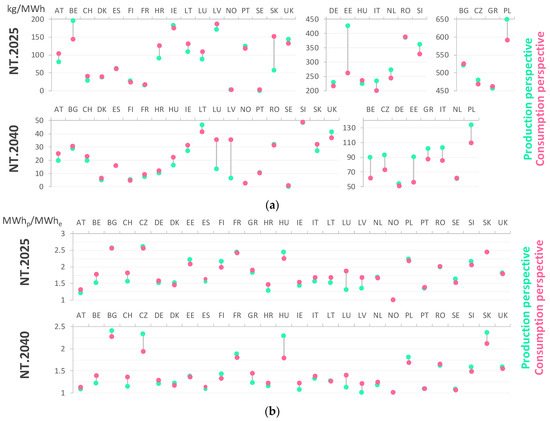
3.5. Impact on Conversion Factors of Taking into Account Imports
3.6. Impact of the Assumed Value for Hydro, Wind and Solar on overall PEFs
3.7. Marginal Conversion Factors
4. Discussion
4.1. Overall Value of the Results
4.2. Potential Implications of Specific Results
4.2.1. Seasonal Variability
4.2.2. Hourly Variability
4.2.3. Impact of Imports
4.2.4. Impact of PEF Calculation Methodology with Respect to Hydro, Wind and Solar
4.2.5. Marginal Conversion Factors
4.3. Limitations
5. Conclusions
Funding
Institutional Review Board Statement
Informed Consent Statement
Data Availability Statement
Acknowledgments
Conflicts of Interest
Appendix A. Further Details on the UCED Model
Appendix A.1. Objective Function, Decision Variables and Constraints
Appendix A.2. Simulation Tool
Appendix A.3. Weather Year Selection
Appendix A.4. Modelling Approach for Various Non-Traditional Technologies
Appendix B. Alternative Hourly Distribution Figures

Appendix C. Total Cross-Country Exchanges of CO2 and Primary Energy

References
- European Commission. Stepping up Europe’s 2030 Climate Ambition Investing in a Climate-Neutral Future for the Benefit of Our People; European Commission: Brussels, Belgium, 2020. [Google Scholar]
- Marmiroli, B.; Messagie, M.; Dotelli, G.; Van Mierlo, J. Electricity Generation in LCA of Electric Vehicles: A Review. Appl. Sci. 2018, 8, 1384. [Google Scholar] [CrossRef]
- Moro, A.; Lonza, L. Electricity carbon intensity in European Member States: Impacts on GHG emissions of electric vehicles. Transp. Res. Part D Transp. Environ. 2018, 64, 5–14. [Google Scholar] [CrossRef] [PubMed]
- Eguiarte, O.; Garrido-Marijuán, A.; De Agustín-Camacho, P.; Del Portillo, L.; Romero-Amorrortu, A. Energy, Environmental and Economic Analysis of Air-to-Air Heat Pumps as an Alternative to Heating Electrification in Europe. Energies 2020, 13, 3939. [Google Scholar] [CrossRef]
- Azaza, M.; Eriksson, D.; Wallin, F. A study on the viability of an on-site combined heat- and power supply system with and without electricity storage for office building. Energy Convers. Manag. 2020, 213, 112807. [Google Scholar] [CrossRef]
- Ponstein, H.J.; Meyer-Aurich, A.; Prochnow, A. Greenhouse gas emissions and mitigation options for German wine production. J. Clean. Prod. 2019, 212, 800–809. [Google Scholar] [CrossRef]
- Schram, W.; Louwen, A.; Lampropoulos, I.; Van Sark, W. Comparison of the Greenhouse Gas Emission Reduction Potential of Energy Communities. Energies 2019, 12, 4440. [Google Scholar] [CrossRef]
- Lausselet, C.; Lund, K.; Brattebø, H. LCA and scenario analysis of a Norwegian net-zero GHG emission neighbourhood: The importance of mobility and surplus energy from PV technologies. Build. Environ. 2021, 189, 107528. [Google Scholar] [CrossRef]
- Reda, F.; Fatima, Z. Northern European nearly zero energy building concepts for apartment buildings using integrated solar technologies and dynamic occupancy profile: Focus on Finland and other Northern European countries. Appl. Energy 2019, 237, 598–617. [Google Scholar] [CrossRef]
- Niemelä, T.; Kosonen, R.; Jokisalo, J. Cost-effectiveness of energy performance renovation measures in Finnish brick apartment buildings. Energy Build. 2017, 137, 60–75. [Google Scholar] [CrossRef]
- Mata, É.; Wanemark, J.; Nik, V.M.; Kalagasidis, A.S. Economic feasibility of building retrofitting mitigation potentials: Climate change uncertainties for Swedish cities. Appl. Energy 2019, 242, 1022–1035. [Google Scholar] [CrossRef]
- D’Agostino, D.; Rossi, F.D.; Marino, C.; Minichiello, F.; Russo, F. Double plus-zero energy historic building and improvement of hygrothermal conditions for the Palaeontology Museum of Naples. J. Build. Phys. 2020. [Google Scholar] [CrossRef]
- Barrella, R.; Priego, I.; Linares, J.I.; Arenas, E.; Romero, J.C.; Centeno, E. Feasibility Study of a Centralised Electrically Driven Air Source Heat Pump Water Heater to Face Energy Poverty in Block Dwellings in Madrid (Spain). Energies 2020, 13, 2723. [Google Scholar] [CrossRef]
- Chen, X.; Qu, K.; Calautit, J.; Ekambaram, A.; Lu, W.; Fox, C.; Gan, G.; Riffat, S. Multi-criteria assessment approach for a residential building retrofit in Norway. Energy Build. 2020, 215, 109668. [Google Scholar] [CrossRef]
- Asim, M.; Saleem, S.; Imran, M.; Leung, M.K.H.; Hussain, S.A.; Miró, L.S.; Rodríguez, I. Thermo-economic and environmental analysis of integrating renewable energy sources in a district heating and cooling network. Energy Effic. 2019, 13, 79–100. [Google Scholar] [CrossRef]
- D’Agostino, D.; Parker, D.; Melià, P. Environmental and economic implications of energy efficiency in new residential buildings: A multi-criteria selection approach. Energy Strat. Rev. 2019, 26, 100412. [Google Scholar] [CrossRef]
- Las-Heras-Casas, J.; López-Ochoa, L.M.; López-González, L.M.; Olasolo-Alonso, P. Energy Renovation of Residential Buildings in Hot and Temperate Mediterranean Zones Using Optimized Thermal Envelope Insulation Thicknesses: The Case of Spain. Appl. Sci. 2021, 11, 370. [Google Scholar] [CrossRef]
- Munné-Collado, I.; Aprà, F.M.; Olivella-Rosell, P.; Villafáfila-Robles, R. The Potential Role of Flexibility during Peak Hours on Greenhouse Gas Emissions: A Life Cycle Assessment of Five Targeted National Electricity Grid Mixes. Energies 2019, 12, 4443. [Google Scholar] [CrossRef]
- Riboldi, L.; Völler, S.; Korpås, M.; Nord, L.O. An Integrated Assessment of the Environmental and Economic Impact of Offshore Oil Platform Electrification. Energies 2019, 12, 2114. [Google Scholar] [CrossRef]
- Barbu, M.; Darie, G.; Siroux, M. Analysis of a Residential Photovoltaic-Thermal (PVT) System in Two Similar Climate Conditions. Energies 2019, 12, 3595. [Google Scholar] [CrossRef]
- Calise, F.; Cappiello, F.L.; D’Accadia, M.D.; Vicidomini, M. Energy and economic analysis of a small hybrid solar-geothermal trigeneration system: A dynamic approach. Energy 2020, 208, 118295. [Google Scholar] [CrossRef]
- Ascione, F.; Bianco, N.; Rosa Francesca, D.M.; Mastellone, M.; Maria, G.; Peter, G. Energy & Buildings The role of the occupant behavior in affecting the feasibility of energy refurbishment of residential buildings: Typical effective retrofits compromised by typical wrong habits. Energy Build. 2020, 223, 110217. [Google Scholar] [CrossRef]
- Sobol, Ł.; Dyjakon, A. The Influence of Power Sources for Charging the Batteries of Electric Cars on CO2 Emissions during Daily Driving: A Case Study from Poland. Energies 2020, 13, 4267. [Google Scholar] [CrossRef]
- Jarre, M.; Noussan, M.; Simonetti, M. Primary energy consumption of heat pumps in high renewable share electricity mixes. Energy Convers. Manag. 2018, 171, 1339–1351. [Google Scholar] [CrossRef]
- Noussan, M.; Jarre, M.; Roberto, R.; Russolillo, D. Combined vs separate heat and power production—Primary energy comparison in high renewable share contexts. Appl. Energy 2018, 213, 1–10. [Google Scholar] [CrossRef]
- Noussan, M. Performance based approach for electricity generation in smart grids. Appl. Energy 2018, 220, 231–241. [Google Scholar] [CrossRef]
- Marrasso, E.; Roselli, C.; Sasso, M. Electric efficiency indicators and carbon dioxide emission factors for power generation by fossil and renewable energy sources on hourly basis. Energy Convers. Manag. 2019, 196, 1369–1384. [Google Scholar] [CrossRef]
- Neirotti, F.; Noussan, M.; Simonetti, M. Towards the electrification of buildings heating—Real heat pumps electricity mixes based on high resolution operational profiles. Energy 2020, 195, 116974. [Google Scholar] [CrossRef]
- Beloin-Saint-Pierre, D.; Padey, P.; Périsset, B.; Medici, V. Considering the dynamics of electricity demand and production for the environmental benchmark of Swiss residential buildings that exclusively use electricity. IOP Conf. Series: Earth Environ. Sci. 2019, 323, 012096. [Google Scholar] [CrossRef]
- Stinner, S.; Schlösser, T.; Huchtemann, K.; Müller, D.; Monti, A. Primary energy evaluation of heat pumps considering dynamic boundary conditions in the energy system. Energy 2017, 138, 60–78. [Google Scholar] [CrossRef]
- Bianco, V.; Scarpa, F.; Tagliafico, L.A. Estimation of primary energy savings by using heat pumps for heating purposes in the residential sector. Appl. Therm. Eng. 2017, 114, 938–947. [Google Scholar] [CrossRef]
- Hitchin, R. Primary Energy Factors and the primary energy intensity of delivered energy: An overview of possible calculation conventions. J. Build. Serv. Eng. Res. Technol. 2019, 40, 198–219. [Google Scholar] [CrossRef]
- Vandermeulen, A.; Vandeplas, L.; Patteeuw, D. Flexibility offered by residential floor heating in a smart grid context: The role of heat pumps and renewable energy sources in optimization towards different objectives. In Proceedings of the 12th IEA Heat Pump Conference 2017, Rotterdam, The Netherlands, 15–18 May 2017; pp. 1–12. [Google Scholar]
- González-Prieto, D.; Fernández-Nava, Y.; Marañón, E.; Prieto, M.M. Influence of Atlantic Microclimates in Northern Spain on the Environmental Performance of Lightweight Concrete Single-Family Houses. Energies 2020, 13, 4337. [Google Scholar] [CrossRef]
- Hirvonen, J.; Jokisalo, J.; Heljo, J.; Kosonen, R. Towards the EU emissions targets of 2050: Optimal energy renovation measures of Finnish apartment buildings. Int. J. Sustain. Energy 2019, 38, 649–672. [Google Scholar] [CrossRef]
- Bastida-Molina, P.; Hurtado-Pérez, E.; Peñalvo-López, E.; Cristina, E.; Moros-Gómez, M.C. Assessing transport emissions reduction while increasing electric vehicles and renewable generation levels. Transp. Res. Part D Transp. Environ. 2020, 88, 102560. [Google Scholar] [CrossRef]
- Lausselet, C.; Borgnes, V.; Brattebø, H. LCA modelling for Zero Emission Neighbourhoods in early stage planning. Build. Environ. 2019, 149, 379–389. [Google Scholar] [CrossRef]
- Merzkirch, A.; Maas, S.; Scholzen, F.; Waldmann, D. Primary energy used in centralised and decentralised ventilation systems measured in field tests in residential buildings. Int. J. Vent. 2019, 18, 19–27. [Google Scholar] [CrossRef]
- Piccardo, C.; Dodoo, A.; Gustavsson, L.; Tettey, U. Retrofitting with different building materials: Life-cycle primary energy implications. Energy 2020, 192, 116648. [Google Scholar] [CrossRef]
- Sowa, J.; Mijakowski, M. Humidity-Sensitive, Demand-Controlled Ventilation Applied to Multiunit Residential Building—Performance and Energy Consumption in Dfb Continental Climate. Energies 2020, 13, 6669. [Google Scholar] [CrossRef]
- Küfeoğlu, S.; Hong, D.K.K. Emissions performance of electric vehicles: A case study from the United Kingdom. Appl. Energy 2020, 260, 114241. [Google Scholar] [CrossRef]
- Huber, J.; Lohmann, K.; Schmidt, M.; Weinhardt, C. Carbon efficient smart charging using forecasts of marginal emission factors. J. Clean. Prod. 2021, 284, 124766. [Google Scholar] [CrossRef]
- Grijalva, E.R.; Martínez, J.M.L. Analysis of the Reduction of CO2 Emissions in Urban Environments by Replacing Conventional City Buses by Electric Bus Fleets: Spain Case Study. Energies 2019, 12, 525. [Google Scholar] [CrossRef]
- Pinel, D.; Korpås, M.; Lindberg, K.B. Impact of the CO2 factor of electricity and the external CO2 compensation price on zero emission neighborhoods’ energy system design. Build. Environ. 2021, 187, 107418. [Google Scholar] [CrossRef]
- Peppas, A.; Kollias, K.; Politis, A.; Karalis, L.; Taxiarchou, M.; Paspaliaris, I. Performance evaluation and life cycle analysis of RES-hydrogen hybrid energy system for office building. Int. J. Hydrog. Energy 2021, 46, 6286–6298. [Google Scholar] [CrossRef]
- Leerbeck, K.; Bacher, P.; Junker, R.G.; Tveit, A.; Corradi, O.; Madsen, H.; Ebrahimy, R. Control of Heat Pumps with CO2 Emission Intensity Forecasts. Energies 2020, 13, 2851. [Google Scholar] [CrossRef]
- Dixon, J.; Bukhsh, W.; Edmunds, C.; Bell, K. Scheduling electric vehicle charging to minimise carbon emissions and wind curtailment. Renew. Energy 2020, 161, 1072–1091. [Google Scholar] [CrossRef]
- Pina, E.A.; Lozano, M.A.; Serra, L.M.; Hernández, A.; Lázaro, A. Design and thermoeconomic analysis of a solar parabolic trough—ORC—Biomass cooling plant for a commercial center. Sol. Energy 2021, 215, 92–107. [Google Scholar] [CrossRef]
- Clauß, J.; Stinner, S.; Solli, C.; Lindberg, K.B.; Madsen, H.; Georges, L. Evaluation Method for the Hourly Average CO2eq. Intensity of the Electricity Mix and Its Application to the Demand Response of Residential Heating. Energies 2019, 12, 1345. [Google Scholar] [CrossRef]
- Bellocchi, S.; Klöckner, K.; Manno, M.; Noussan, M.; Vellini, M. On the role of electric vehicles towards low-carbon energy systems: Italy and Germany in comparison. Appl. Energy 2019, 255, 113848. [Google Scholar] [CrossRef]
- Petrovic, B.; Myhren, J.A.; Zhang, X.; Wallhagen, M.; Eriksson, O. Life cycle assessment of a wooden single-family house in Sweden. Appl. Energy 2019, 251, 113253. [Google Scholar] [CrossRef]
- Ballarini, I.; De Luca, G.; Paragamyan, A.; Pellegrino, A.; Corrado, V. Transformation of an Office Building into a Nearly Zero Energy Building (nZEB): Implications for Thermal and Visual Comfort and Energy Performance. Energies 2019, 12, 895. [Google Scholar] [CrossRef]
- Pedersen, T.H.; Hedegaard, R.E.; Petersen, S. Space heating demand response potential of retrofitted residential apartment blocks. Energy Build. 2017, 141, 158–166. [Google Scholar] [CrossRef]
- ENTSO-E. TYNDP 2020—Scenario Report. 2020. Available online: https://2020.entsos-tyndp-scenarios.eu/ (accessed on 6 March 2021).
- Eurelectric. Power Barometer 2020. 2020. Available online: https://www.eurelectric.org/power-barometer/ (accessed on 6 March 2021).
- Ringkjøb, H.-K.; Haugan, P.M.; Solbrekke, I.M. A review of modelling tools for energy and electricity systems with large shares of variable renewables. Renew. Sustain. Energy Rev. 2018, 96, 440–459. [Google Scholar] [CrossRef]
- ENTSO-E. TYNDP 2020—Scenario Building Guidelines (Methodology Report). 2020. Available online: https://2020.entsos-tyndp-scenarios.eu/ (accessed on 6 March 2021).
- ENTSO-E. TYNDP 2020 Annex 1—Further Assumptions on the Ambition Tool. 2020. Available online: https://2020.entsos-tyndp-scenarios.eu/ (accessed on 6 March 2021).
- Brodny, J.; Tutak, M. Analyzing Similarities between the European Union Countries in Terms of the Structure and Volume of Energy Production from Renewable Energy Sources. Energies 2020, 13, 913. [Google Scholar] [CrossRef]
- ENTSO-E. Mid-Term Adequacy Forecast 2020—Appendix 2: Methodology. 2020. Available online: https://2020.entsos-tyndp-scenarios.eu/ (accessed on 6 March 2021).
- Hörsch, J.; Schäfer, M.; Becker, S.; Schramm, S.; Greiner, M. Flow tracing as a tool set for the analysis of networked large-scale renewable electricity systems. Int. J. Electr. Power Energy Syst. 2018, 96, 390–397. [Google Scholar] [CrossRef]
- Tranberg, B.; Schafer, M.; Brown, T.; Horsch, J.; Greiner, M. Flow-Based Analysis of Storage Usage in a Low-Carbon European Electricity Scenario. In Proceedings of the 2018 15th International Conference on the European Energy Market (EEM), Lodz, Poland, 27–29 June 2018. [Google Scholar] [CrossRef]
- Tranberg, B.; Corradi, O.; Lajoie, B.; Gibon, T.; Staffell, I.; Andresen, G.B. Real-time carbon accounting method for the European electricity markets. Energy Strat. Rev. 2019, 26, 100367. [Google Scholar] [CrossRef]
- Schafer, M.; Tranberg, B.; Jones, D.; Weidlich, A. Tracing carbon dioxide emissions in the European electricity markets. In Proceedings of the 2020 17th International Conference on the European Energy Market (EEM), Stockholm, Sweden, 16–18 September 2020. [Google Scholar]
- De Chalendar, J.A.; Taggart, J.; Benson, S.M. Tracking emissions in the US electricity system. Proc. Natl. Acad. Sci. USA 2019, 116, 25497–25502. [Google Scholar] [CrossRef]
- Esser, A.; Sensfuss, F. Evaluation of Primary Energy Factor Calculation Options for Electricity; Fraunhofer-Institute für System-und Innovationsforschung (ISI): Karlsruhe, Germany, 2016. [Google Scholar]
- Ensslen, A.; Schücking, M.; Jochem, P.; Steffens, H.; Fichtner, W.; Wollersheim, O.; Stella, K. Empirical carbon dioxide emissions of electric vehicles in a French-German commuter fleet test. J. Clean. Prod. 2017, 142, 263–278. [Google Scholar] [CrossRef]
- Hall, M.; Geissler, A. Different balancing methods for Net Zero Energy Buildings—Impact of time steps, grid interaction and weighting factors. Energy Procedia 2017, 122, 379–384. [Google Scholar] [CrossRef]
- Noussan, M.; Roberto, R.; Nastasi, B. Performance Indicators of Electricity Generation at Country Level—The Case of Italy. Energies 2018, 11, 650. [Google Scholar] [CrossRef]
- Holland, S.P.; Mansur, E.T.; Muller, N.Z.; Yates, A.J. Are There Environmental Benefits from Driving Electric Vehicles? The Importance of Local Factors. Am. Econ. Rev. 2016, 106, 3700–3729. [Google Scholar] [CrossRef]
- Hamels, S.; Himpe, E.; Laverge, J.; Delghust, M.; Van den, M.; Brande KV, D.; Janssens, A.; Albrecht, J. The use of primary energy factors and CO2 intensities—Reviewing the state of play in academic literature (preprint). arXiv 2020, arXiv:abs/2102.13539. [Google Scholar]
- Lidberg, T.; Gustafsson, M.; Myhren, J.; Olofsson, T.; Trygg, L.Ö. Former Environmental impact of energy refurbishment of buildings within different district heating systems. Appl. Energy 2018, 227, 231–238. [Google Scholar] [CrossRef]
- Alavijeh, N.M.; Steen, D.; Norwood, Z.; Tuan, L.A.; Agathokleous, C. Cost-Effectiveness of Carbon Emission Abatement Strategies for a Local Multi-Energy System—A Case Study of Chalmers University of Technology Campus. Energies 2020, 13, 1626. [Google Scholar] [CrossRef]
- Tutak, M.; Brodny, J.; Siwiec, D.; Ulewicz, R.; Bindzár, P. Studying the Level of Sustainable Energy Development of the European Union Countries and Their Similarity Based on the Economic and Demographic Potential. Energies 2020, 13, 6643. [Google Scholar] [CrossRef]
- Collins, S.; Deane, J.; Gallachóir, B.Ó. Adding value to EU energy policy analysis using a multi-model approach with an EU-28 electricity dispatch model. Energy 2017, 130, 433–447. [Google Scholar] [CrossRef]
- Deane, J.; Driscoll, A.; Gallachóir, B.Ó. Quantifying the impacts of national renewable electricity ambitions using a North–West European electricity market model. Renew. Energy 2015, 80, 604–609. [Google Scholar] [CrossRef]
- Collins, S.; Deane, P.; OGallachoir, B.; Pfenninger, S.; Staffell, I. Impacts of Inter-Annual Wind and Solar Variations on the European Power System Impacts of Inter-Annual Wind and Solar Variations on the European Power System. Joule 2018, 2, 2076–2090. [Google Scholar] [CrossRef]
- Collins, S.; Deane, J.P.; Poncelet, K.; Panos, E.; Pietzcker, R.C.; Delarue, E.; Gallachóir, B.P.Ó. Integrating short term variations of the power system into integrated energy system models: A methodological review. Renew. Sustain. Energy Rev. 2017, 76, 839–856. [Google Scholar] [CrossRef]
- Deane, J.; Drayton, G.; Gallachóir, B.P.Ó. The impact of sub-hourly modelling in power systems with significant levels of renewable generation. Appl. Energy 2014, 113, 152–158. [Google Scholar] [CrossRef]
- Welsch, M.; Deane, P.; Howells, M.; Gallachóir, B.Ó.; Rogan, F.; Bazilian, M.; Rogner, H.-H. Incorporating flexibility requirements into long-term energy system models—A case study on high levels of renewable electricity penetration in Ireland. Appl. Energy 2014, 135, 600–615. [Google Scholar] [CrossRef]
- Deane, J.; Chiodi, A.; Gargiulo, M.; Gallachóir, B.P.Ó. Soft-linking of a power systems model to an energy systems model. Energy 2012, 42, 303–312. [Google Scholar] [CrossRef]
- Drayton, G.; McCoy, M.; Pereira, M.; Cazalet, E.; Johannis, M.; Phillips, D. Transmission expansion planning in the western interconnection—The planning process and the analytical tools that will be needed to do the job. In Proceedings of the IEEE PES Power Systems Conference and Exposition, New York, NY, USA, 10–13 October 2004; pp. 1–6. [Google Scholar] [CrossRef]
- Nweke, C.I.; Leanez, F.; Drayton, G.R.; Kolhe, M. Benefits of chronological optimization in capacity planning for electricity markets. In Proceedings of the 2012 IEEE International Conference on Power System Technology (POWERCON), Auckland, New Zealand, 23–26 October 2012; pp. 1–6. [Google Scholar] [CrossRef]
- Hobbs, B.F.; Bartholomew, E.; Chen, Y.; Drayton, G.; Lise, W. Improved Transmission Representations in Oligopolistic Market Models. In Proceedings of the 2006 IEEE PES Power Systems Conference and Exposition, Atlanta, GA, USA, 29 October–1 November 2006; Volume 23, pp. 81–86. [Google Scholar] [CrossRef]
- Deane, J.; Gracceva, F.; Chiodi, A.; Gargiulo, M.; Gallachóir, B.P. Assessing power system security. A framework and a multi model approach. Int. J. Electr. Power Energy Syst. 2015, 73, 283–297. [Google Scholar] [CrossRef]
- Deane, J.; Ciaráin, M.Ó.; Gallachóir, B.Ó. An integrated gas and electricity model of the EU energy system to examine supply interruptions. Appl. Energy 2017, 193, 479–490. [Google Scholar] [CrossRef]
- Foley, A.; Tyther, B.; Calnan, P.; Gallachóir, B.Ó. Impacts of Electric Vehicle charging under electricity market operations. Appl. Energy 2013, 101, 93–102. [Google Scholar] [CrossRef]
- Gil, E.; Aravena, I. Evaluating the contribution of intermittent generation to power system adequacy at different demand levels. In Proceedings of the 2013 IEEE Power & Energy Society General Meeting, Vancouver, BC, Canada, 21–25 July 2013; pp. 1–5. [Google Scholar] [CrossRef]
- Gil, E.; Aravena, I.; Cardenas, R. Generation Capacity Expansion Planning Under Hydro Uncertainty Using Stochastic Mixed Integer Programming and Scenario Reduction. IEEE Trans. Power Syst. 2014, 30, 1838–1847. [Google Scholar] [CrossRef]
- Ibanez, E.; Magee, T.; Clement, M.; Brinkman, G.; Milligan, M.; Zagona, E. Enhancing hydropower modeling in variable generation integration studies. Energy 2014, 74, 518–528. [Google Scholar] [CrossRef]
- Shirley, R.; Kammen, D. Energy planning and development in Malaysian Borneo: Assessing the benefits of distributed technologies versus large scale energy mega-projects. Energy Strat. Rev. 2015, 8, 15–29. [Google Scholar] [CrossRef]
- Gaffney, F.; Deane, J.P.; Drayton, G.; Glynn, J.; Gallachóir, B.P.Ó. Comparing negative emissions and high renewable scenarios for the European power system. BMC Energy 2020, 2, 1–13. [Google Scholar] [CrossRef]















| Technology | CO2 Intensity (kg/MWh) | PEF (MWhp/MWhe) |
|---|---|---|
| Nuclear | 0 | 3.0 |
| Gas CCGT new | 342 | 1.7 |
| Gas CCGT old 1 | 513 | 2.5 |
| Gas CCGT old 2 | 428 | 2.1 |
| Gas CCGT present 1 | 366 | 1.8 |
| Gas CCGT present 2 | 354 | 1.7 |
| Gas conventional old 1 | 570 | 2.8 |
| Gas conventional old 2 | 500 | 2.4 |
| Gas OCGT new | 489 | 2.4 |
| Gas OCGT old | 586 | 2.9 |
| Hard coal new | 736 | 2.2 |
| Hard coal old 1 | 967 | 2.9 |
| Hard coal old 2 | 846 | 2.5 |
| Lignite new | 790 | 2.2 |
| Lignite old 1 | 1039 | 2.9 |
| Lignite old 2 | 909 | 2.5 |
| Heavy oil old 1 | 802 | 2.9 |
| Heavy oil old 2 | 702 | 2.5 |
| Light oil | 802 | 2.9 |
| Oil shale new | 923 | 2.6 |
| Oil shale old | 1241 | 3.4 |
| Solar, wind, hydro | 0 | 0 or 1 |
Publisher’s Note: MDPI stays neutral with regard to jurisdictional claims in published maps and institutional affiliations. |
© 2021 by the author. Licensee MDPI, Basel, Switzerland. This article is an open access article distributed under the terms and conditions of the Creative Commons Attribution (CC BY) license (https://creativecommons.org/licenses/by/4.0/).
Share and Cite
Hamels, S. CO2 Intensities and Primary Energy Factors in the Future European Electricity System. Energies 2021, 14, 2165. https://doi.org/10.3390/en14082165
Hamels S. CO2 Intensities and Primary Energy Factors in the Future European Electricity System. Energies. 2021; 14(8):2165. https://doi.org/10.3390/en14082165
Chicago/Turabian StyleHamels, Sam. 2021. "CO2 Intensities and Primary Energy Factors in the Future European Electricity System" Energies 14, no. 8: 2165. https://doi.org/10.3390/en14082165
APA StyleHamels, S. (2021). CO2 Intensities and Primary Energy Factors in the Future European Electricity System. Energies, 14(8), 2165. https://doi.org/10.3390/en14082165

