Next Article in Journal
Dynamics of Electromechanical Systems Containing Long Elastic Couplings and Safety of Their Operation
Next Article in Special Issue
Co-Firing of Refuse-Derived Fuel with Ekibastuz Coal in a Bubbling Fluidized Bed Reactor: Analysis of Emissions and Ash Characteristics
Previous Article in Journal
A Fast and Accurate Wind Speed and Direction Nowcasting Model for Renewable Energy Management Systems
 
 
Font Type:
Arial Georgia Verdana
Font Size:
Aa Aa Aa
Line Spacing:
Column Width:
Background:
Article

A Technical Analysis of Solid Recovered Fuel from Torrefied Jatropha Seed Residue via a Two-Stage Mechanical Screw Press and Solvent Extraction Process

1
Department of Occupational Safety and Health, China Medical University, Taichung 406, Taiwan
2
Graduate Institute of Environmental Engineering, National Taiwan University, Taipei 106, Taiwan
3
Department of Environmental Engineering, National I-Lan University, Yi-Lan 260, Taiwan
4
Department of Chemical Engineering and Biotechnology, National Taipei University of Technology, Taipei 106, Taiwan
5
Department of Environmental Engineering, Da-Yeh University, Changhua 515, Taiwan
6
Institute of Environmental Technology, Vietnam Academy of Science and Technology, Hanoi 1000000, Vietnam
7
Department of Forestry and Resource Conservation, National Taiwan University, Taipei 106, Taiwan
8
Department of Chemical Engineering, National Taiwan University, Taipei 106, Taiwan
*
Author to whom correspondence should be addressed.
Energies 2021, 14(23), 7876; https://doi.org/10.3390/en14237876
Submission received: 12 October 2021 / Revised: 8 November 2021 / Accepted: 19 November 2021 / Published: 24 November 2021
(This article belongs to the Special Issue New Challenges in Waste Biomass)

Abstract

:
This study investigated the torrefaction of de-oiled Jatropha seed residue after a two-stage sequential process consisting of mechanical screw pressing and solvent extraction using n-hexane (denoted as JMS). The optimal torrefaction temperature (Tr) and torrefaction time (tr) were determined in the ranges of 260–300 °C and 10–60 min, respectively, so to achieve a better heating value and satisfactory energy densification (ED) with acceptable mass loss. Thermogravimetric analysis was employed to elucidate the thermal decomposition behaviors of JMS. By comparison with the torrefaction of Jatropha seed residue after mechanical oil extraction by screw pressing only (namely, JMET), the results indicated that the ED of the torrefaction of JMS yielding the torrefied product JMST (two-stage product) was higher than that of the torrefaction of JME giving the torrefied product JMET (single-stage product). Further, it was found that JMET contained some tar, which was attributed to a thermal reaction in the residual oil in JME during torrefaction. The tar/oil content of JMET was about 1.0–1.8 wt.% in the determined optimal conditions. Thus, the enhanced recovery of the residual oil is advantageous not only because it allows obtaining more oil from Jatropha seed residue with a positive net energy gain but also because it prevents the formation of tar in torrefied biomass products.

1. Introduction

Building a global energy sector with biomass crops is highly recognized as a sustainable and economically viable pathway for reaching net-zero emission [1]. Among various types of biomass energy feedstock, non-food or second-generation energy crops have the potential to provide benefits such as consuming waste residues, making use of abandoned land, and promoting rural development [2,3,4]. For instance, Jatropha curcas L. is a non-edible oil plant that has spread abundantly in many tropical and sub-tropical regions throughout Africa and Asia because of its hardiness, easy propagation, drought endurance, high oil content, low seed cost, short gestation period, rapid growth, and adaptation to wide agro-climatic condition [5]. Further, Achten et al. [6] pointed out that Jatropha can be favorably considered as a sustainable oil plant with respect to its environmental impact and some socioeconomic issues as long as Jatropha is cultivated on wastelands or degraded lands.
The oil content of Jatropha seed and seed kernel ranges from 20% to 60% and 40% to 60%, respectively [7], providing raw oil for biodiesel production. Besides seed oil, the de-oiled residue of Jatropha seed (denoted as J-cake), whose oil content is less than 10% based on different types of oil extraction processes, is a versatile product with the potential to be used in the energy sector [8]. Several energy conversion technologies have been used to transform Jatropha seed and J-cake into solid, liquid, and gaseous energy carriers. These technologies include anaerobic digestion, torrefaction, pyrolysis, combustion, and gasification [8,9,10,11,12,13,14]. In general, all biomass residues can be transformed into compost to be used as fertilizer or can be burned directly via combustion, gasification, or processes to create upgraded solid biofuels. Wet organic waste is more suitable for anaerobic digestion to produce biogas (CH4). Torrefaction, the so-called roasting, a slow pyrolysis in the mild temperature range of 200–300 °C under an inert or limited oxygen atmosphere, is a promising technique for pre-treating de-oiled seeds to be further submitted to gasification or co-firing [8,12,13,14]. The thermal treatment of torrefaction not only destroys fibrous structures, but also improves the calorific value of biomass. Chemically, the heating value increase is due to the elimination of CO and CO2 by the decarboxylation and decarbonylation of hemicellulose and cellulose [15]. Thus, hemicellulose is largely decomposed, cellulose is weakly decomposed, and lignin remains in the waste biomass [16]. The biomass after torrefaction has increased hydrophobicity, resisting rotting.
Studies on torrefaction of Jatropha biomass have examined different residues and extraction methods, such as J-cake after mechanical extraction [8], Jatropha seed kernel after solvent extraction [12], Jatropha fruit husk and seed cake after solvent extraction [13], and Jatropha fruit hulls and seed shells after mechanical extraction [14]. In the same torrefaction conditions, the torrefied J-cake biomass showed relatively enhanced fuel characteristics than the torrefied stem and fruit husk [13]. The porous structure of the torrefied Jatropha biochar is extended by increasing the torrefaction temperature [12]. Further, the pretreatment consisting of acid and alkali hydrolysis enhances the surface structure by enlarging the surface area and porosity [14].
On the other hand, one of the important steps for Jatropha biomass utilization is oil extraction. Mechanical pressing and solvent extraction are the most commonly used methods for oil extraction. Conventional industrial oil extraction from oil seeds is commonly realized through mechanical pressing with a hydraulic or single expeller press, followed by solvent extraction [17]. Previous studies showed that J-cake after both single mechanical extraction [8] and single solvent extraction by n-hexane [12] qualified for certain types of power industry fuel requirements in terms of high heating value on a dry basis (HHV). Nevertheless, the effect of the two-stage process consisting of mechanical pressing followed by solvent extraction on torrefied Jatropha biomass has not been fully examined.
In this study, a two-stage sequential process of mechanical and solvent extraction (denoted as JMS) was employed for the technical analysis of torrefaction of J-cake. Thermogravimetric analysis (TGA) was applied to investigate the pyrolysis characteristics of JMS and JMST. The temperature (Tr) and holding time (tr) in the torrefaction experiments were examined in the ranges of 260–300 °C and 10–60 min. Calorific, proximate, and fiber analyses, mass and energy yields, and energy densification were determined to elucidate the characteristic of the torrefied JMS products. The results were further compared with those obtained using mechanical extraction only (symbolized as JME) and other oil extraction methods. The findings are of interests for practical consideration of the torrefaction process in relation to different types or combinations of oil extraction processes.

2. Experimental Methods

2.1. Materials

The seeds samples were from Jatropha cultivated in southern Taiwan. They were directly mechanically screw-pressed at a moderately high temperature of 170 °C to enhance the oil extraction. The obtained JME was further subjected to Soxhlet extraction (FOSS model 2043, FOSS Worldwide Co., Birchwood, Warrington, Cheshire, UK) using n-hexane solvent (95%, Avantor Performance Material, Inc., Phillipsburg, PA, USA) to recover the residual oil. Then, the de-oiled residue JMS was obtained after a 2-stage sequential mechanical and solvent extraction. The JMS was subjected to torrefaction, obtaining solid recovered fuel of torrefied biomass of JMS (called JMST) with upgraded heating value.

2.2. Torrefaction Experiments

The pre-drying of the raw samples of JMS was conducted at 25 °C for 24 h in an oven (FW40, Channel Business Co., Taipei, Taiwan) to gently remove the surface moisture. For woody plants or lignocellulosic biomass, a higher temperature would reduce the required time for pre-drying, e.g., 40 °C for 7 h or 50 °C for 6 h, etc. [18]. Torrefaction was performed in a muffle furnace (DF-40, Deng Yng Co., Taipei, Taiwan). To ensure the absence of oxygen in the furnace, nitrogen (N2) gas was introduced for 15 min. In each run, about 40 ± 1 g (on a dry basis) of sample was loaded on an aluminum disk circle.
For identifying the proper Tr, a thermogravimetric analyzer (TGA-51, Shimadzu, Kyoto, Japan) was used for the pyrolysis analysis of JMS with N2 purging of 50 mL/min from 25 to 850 °C at the heating rate of 30 °C/min. Three different Tr of 260, 280, and 300 °C with acceptable mass loss were thus chosen for further torrefaction runs. When reaching the set temperature, torrefaction was continued at a constant temperature for six different times (tr) of 10, 20, 30, 40, 50, and 60 min. This study further compared the findings for JMST with those of previous work on JMET obtained with mechanical extraction only and subjected to similar torrefaction procedures [8].

2.3. Raw and Torrefied Product Characteristics

The properties of raw and torrefied samples of JMS and JMST were determined as follows. Proximate analyses on a wet basis of moisture (MW), ash (MA), volatile matters (MVM), and fixed carbons (MFC) were performed according to the NIEA R205.01C method of the National Institute of Environmental Analysis (NIEA), Taiwan, where the combustibles (MC) are the sum of MVM and MFC. HHV or calorific value was determined by the ASTM D2015 method of the American Society for Testing and Materials (ASTM), using a plain jacket oxygen bomb calorimeter (Model 1341, Parr Instrument Co., Moline, IL, USA). Chemical elemental analyses (C, H, O, N and S) were performed using an elemental analyzer (Elementar Vario EL-III, Hanau, Germany) following the NIEA R409.21C method. The oil content (CT) was determined employing a Soxhlet extractor and using n-hexane, as described previously. In this study, all experiments were performed in duplicate to validate the composition, mass residual fraction, and HHV of the samples.
The Van Soest method was adopted for the fiber analysis [19]. Cetyltrimethylammonium bromide (Avocado Research Chemicals Ltd., Lancashire, UK), 2-ethyoxyethanol (Hayashi Pure Chemical Ind., Osaka, Japan), and other chemicals (all from Nacalai Tesque, Inc., Kyoto, Japan), such as sodium lauryl sulfate, ethylene diamine tetraacetic acid, sodium tetraborate decahydrate, and sodium phosphate dibasic, were used for these experiments. The standard fibers of crude hemi-cellulose, powder microcrystalline cellulose, and dealkaline lignin were purchased from Sigma-Aldrich Co. (St. Louis, MO, USA), MP Biomedicals Co. (Illkirch, France) and Tokyo Chemical Industry Co. (Tokyo, Japan), respectively.

3. Results and Discussion

3.1. Pyrolysis Characteristics of JME and JMS

The proximate analysis of JME and JMS was performed, and the results were compared in this study. The mechanical oil extraction efficiency of JME via screw press was about 89.6%, with 5.5 wt.% oil of JME being retained, as reported by previous work [8]. Soxhlet extraction of JMS using n-hexane recovered most of the residual oil from JME. Hence, the proximate analysis of JME and JMS revealed that the MC (sum of MFC and MVM) was slightly reduced from 87.7% for JME to 85.0 wt.% for JMS on a wet basis; the FC and VM consisted of hemicellulose, cellulose, and lignin along with residual oil and other organics. In addition, MW and MA were 8.4% and 6.6% for JMS and 6.1% and 6.2% for JME. The moisture of JMS was lower than that of JME, mainly due to the second stage of the process, i.e., solvent extraction.
The results of fiber analysis indicated that the contents of hemicellulose, cellulose, and lignin were 24.5, 20.7, and 14.5 wt.% for JMS and 21.7, 18.3, and 12.8 wt.% for JME on a dry basis. The relative content ratios for hemicellulose, cellulose, and lignin (obtained by dividing each content by the total content of these three fibers) for JME and JMS were the same, with the relative ratio of hemicellulose, cellulose, and lignin of 41.0%, 34.7%, and 24.3% (sum of 100%). Since these fibers (in particular lignin) are rich in carbon and hydrogen, the HHV was slightly decreased from 20.78 MJ/kg for JME to 18.8 MJ/kg for JMS, mainly owing to the de-oiling process of JME.
The TGA curves of JME and JMS from 105 to 850 °C at the heating rate of 30 °C/min under nitrogen purging (50 mL/min) are presented in Figure 1. The JMS began to crack at a lower pyrolytic temperature (TP) with respect to JME. At the residue mass fraction during pyrolysis (MP) of 95 wt.% or at 5 wt.% mass loss, the TP of JMS and JME were around 290–300 °C. Tr of 260, 280, and 300 °C could be selected as the onset or triggering temperature according to the TGA curves, with acceptable mass loss of JMS of 5–10 wt.% in the high heating rate condition.
The corresponding TP at MP = 90 wt.% were about 340 and 310 °C for JME and JMS, respectively. Since hemicellulose is decomposed in the temperature range of 275–400 °C [8], the main difference during pyrolysis between JME and JMS would be attributed to the pyrolysis of residual oil. As can be seen from the difference of the DTG curves of JME and JMS, the residual oil contained in JME was firstly pyrolyzed into a variety of liquid bio-oils and gas by-products at 350–550 °C. For example, Jourabchi et al. [20] showed that no bio-oil was obtained at a TP below 300 °C from Jatropha seed oil cake, suggesting that the heat only cracked hemicellulose and produced mainly CO and CO2. In the range of 350–500 °C, a yield of about 32–50% of bio-oil was obtained. Kanaujia et al. [21] reported that the organic fraction of bio-oil from the pyrolysis of Jatropha seed oil cake at 550 °C for 30 min consisted mainly of 48% hydrocarbons, 12% aldehydes and ketones, 10% phenols, 9% guaiacols, 8% esters, and 8% of other chemicals. As TP reached 600 °C, the MP of JME were higher than those of JMS. This result can be explained by the fact that the retained oil in JME was potentially carbonized, thus aromatic growth and polymerization occurred. During the gasification of biomass above 600 °C, a decreased yield of bio-oil byproducts was observed due to cracking or secondary tar reactions on the char surface [22]. Similar findings of declining bio-oil byproducts were reported for the pyrolysis of JME at higher temperatures [23]. Furthermore, these results imply that further de-oiling of JME could improve the production of solid fuel by pyrolysis with less tars or by-products.

3.2. Torrefaction Performance of JMST

The residual mass fraction (Mr) of JMST during torrefaction at torrefaction temperatures (Tr) of 260, 280, and 300 °C and a torrefaction time (tr) from 10 to 60 min when using a muffle furnace is shown in Figure 2. As can be seen, a longer holding time tr resulted in mass loss for JMS (or Mr decreases). At the same tr, a higher Tr promoted a vigorous mass loss, as expected. At 20 min, the Mr of JMST were 82.0%, 66.8%, and 56.7 wt.% at 260, 280, and 300 °C, respectively. The effect of the holding time on Mr was very slight for tr of 40 min or longer, while 60.5%, 52.1%, and 48.9 wt.% of Mr for 260, 280, and 300 °C were observed, respectively. Unlike the TGA curve in Figure 1, the torrefaction experiment was conducted under a constant temperature to mildly pyrolyze the biomass. The findings indicated that the torrefaction of JMS in the studied conditions reduced the volatile matter content of hemicellulose, cellulose, and moisture and consequently increased the fixed carbon content of lignin.
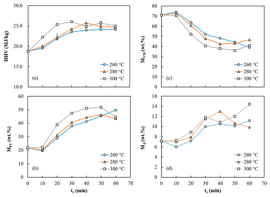
Figure 3 exhibits the calorific and proximate analyses of JMST obtained from the torrefaction experiments. As displayed in Figure 3a, higher Tr and tr values facilitated the increase of HHV as calorific value per mass. The obtained HHV values were higher than those of JMS (18.8 MJ/kg). The rate of HHV gradually decreased with tr. After 30 min, the HHV was higher than 24.0 MJ/kg, and thus than the HHV of hard black coal of 23.9 MJ/kg, as recommended by International Energy Agency [24]. As compared to JMET in the same torrefaction conditions [8], the JMST exhibited a HHV generally lower than that of JMET because of the removal of residual oil. For instance, higher HHV values of JMET at tr = 30 min were obtained at 24.8, 25.0, and 27.0 MJ/kg for 260, 280, and 300 °C, respectively; the corresponding HHV of JMST were 23.6, 24.3, and 26.0 MJ/kg, respectively.
In gasification, a low VM content (including oil) of a solid biofuel is favorable to avoid tar generation and a high FC content to enhance carbon enrichment and energy densification. As shown in Figure 3c, the increment of HHV for the torrefied products can be attributed to the removal of the MVM of raw biomass while retaining the MFC of lignin. Further, an increase of MFC with the corresponding reduction of MVM was observed, as shown in Figure 3b,c. The values of MFC substantially increased from 21.76% to 47.55%, while MVM decreased from 71.08% to 40.63% under a more severe torrefaction conditions (tr = 30 min and Tr = 300 °C). At tr over 30 min, the rates of change of MFC and MVM were moderate, suggesting that a residence time of above 30 min was sufficient for the elimination of the volatile matter content of hemicellulose and cellulose within the Tr of 260–300 °C. The trends of MFC were similar to those of HHV in the same torrefaction conditions. As shown in Figure 3d, the increase of MA for JMST above the initial amount (ash in JMS) was simply because of the organics loss (MVM) during torrefaction. A 3% fluctuation of MVM and MA was observed at tr above 40 min. This study prepared a J-cake sample by grinding whole seeds, which consisted of 59.0 ± 0.52 wt.% of kernel and 40.66 ± 0.12 wt.% of shell. As reported [8], the MA of kernel (9.0 wt.%) is higher than that of shell (4.3 wt.%). Therefore, this fluctuation could be attributed to minor changes in kernel and shell content in J-cake.

3.3. Energy Densification of JMST

The mass yield (YM), energy yield (YE), and energy densification (ED) were determined to elucidate the performance of torrefaction for producing solid recovered fuel (SRF) of torrefied biomass from JMS, as follows [8,25,26]:
YM = mtor/mraw
YE = mtor HHVtor/(mraw HHVraw)
ED = YE/YM = HHVtor/HHVraw
where mraw, mtor = mass of dried raw JMS and JMST, HHVraw, HHVtor = HHV of dried raw JMS and JMST.
ED is defined as the HHV ratio of torrefied and dried raw biomass, which can be also named energy ratio or enhancement factor [12,13,14]. The calculated ED of JMST is presented in Figure 4. A higher Tr as well as a longer tr generally increased the ED of JMST. The Ed increased significantly in the first 30 min over 260–300 °C. For tr = 30 min, the ED values were 1.25, 1.29, and 1.39 at Tr of 260, 280, and 300 °C, respectively, while ED at 10 min was 1.04, 1.06, and 1.18 respectively. Thermal decomposition of the high-heating-value components would occur at high Tr of 280–300 °C and long tr of 30 min. Consequently, the values of HHV and the ED of JMST declined in this temperature range.
According to Lloyd and Wyman [27], the severity factor (SF) can be defined as an integrated index for the effect of temperature and holding time during the torrefaction of biomass. A high value of SF represents a vigorous reaction which requires more energy input. Therefore, this study compared the JMST by using SF, defined as:
SF = tr exp[(Tr − Tref)/14.75]
where tr is in min, Tr is in °C, and Tref is 100 °C. The results of logSF numbers are shown in Figure 4.
To obtain the commonly accepted ED of 1.3, suitable conditions for JMST were as follows: (1) ED of 1.37 and HHV of 25.7 MJ/kg at logSF = 6.90, Tr = 280 °C, and tr = 40 min and (2) ED of 1.35 and HHV of 25.4 MJ/kg at logSF = 7.19, Tr = 300 °C, and tr = 20 min. Although satisfactory torrefaction in terms of ED was achieved in both cases, a lower logSF to reach higher ED would be advantageous. Therefore, Case 1 is better than Case 2 when considering the ED and logSF numbers.

3.4. Elemental Analysis of JMST

The results of the elemental analysis of JMS and JMST, reported in Table 1, show a significant decrease in oxygen content and an increase in carbon content when increasing Tr. Meanwhile, hydrogen content decreased slightly. After tr of 60 min, the oxygen content of JMST significantly decreased from 38.63 wt.% for JMS to 21.18–23.77 wt.%, while the carbon content of JMST significantly improved from 46.79 wt.% for JMS to 59.51–61.50 wt.%. Based on these data, the relative ratios of O/C and H/C ratio for JMST and JMS were calculated and are shown in Figure 5a,b, respectively. As revealed, the relative ratio of O/C was about 0.42–0.48, and the relative reduction of the O/C ratio was about 52–58% at tr = 60 min, while a relative reduction of 38–52% of the H/C ratio was obtained by torrefaction. The declining trend of the O/C ratio was more significant than that of the H/C ratio. The results suggest that oxygen-containing molecules (e.g., CO2 and H2O) would be eliminated more easily than hydrogen-containing molecules (e.g., CH4 and H2) during torrefaction of JMS. Further, the reduction in oxygen and hydrogen content in all the biomass types can be specifically attributed to the removal of hydroxyl groups (OH) via hemicellulose decomposition [28]. Therefore, lowering O/C and H/C tends to produce more hydrophobic biomass [29,30].
The effect of Tr and tr on torrefaction performance can be also examined by the van Krevelen diagram, as shown in Figure 5c. In the conditions of 280 °C and 40 min (ED = 1.37, logSF = 6.90) for Case 1 and of 300 °C and 20 min (ED = 1.35, logSF = 7.19) for Case 2, the atomic ratios of O/C of JMST were 0.23 and 0.29, while those of H/C were 1.06 and 0.97, respectively. These values of JMST at ED above 1.28 were all within the range of those for lignite, were close to those for sub-bituminous coal, and superior to those for other torrefied wood, giving that the values of O/C and H/C were 0.52–0.68 and 1.01–1.41 for torrefied wood, 0.22–0.38 and 0.78–1.26 for lignite, and 0.01–0.25 and 0.34–0.98 for coal [31]. Furthermore, the van Krevelen diagram also revealed that JMST at Tr = 280 °C and tr = 40 (Case 1) and at longer times (50 and 60 min) were all close to those for coal, suggesting better carbon enrichment and the removal of oxygen and hydrogen in JMST.

3.5. Comparison of JMST and JMET

Table 2 lists the torrefaction properties of torrefied Jatropha biomass by various oil extraction processes. As can be seen, the ED and van Krevelen diagram (H/C vs O/C) in the optimal torrefaction conditions for JMET [8] were alike to those of JMST. For instance, JMET at Tr = 280 °C and tr = 50 min had ED of 1.28, H/C of 1.01, and O/C of 0.24, while those values for JMST at Tr = 280 °C and tr = 40 min (Case 1) were 1.37, 1.06, and 0.23, respectively. Nevertheless, the HHV of JMET was 26.7 MJ/kg, higher than that of JMST (25.7 MJ/kg). The difference of HHV between JMST and JMET is highly attributed to the residual oil depending on the oil extraction method, with the calorific value of Jatropha oil being about 39.63 MJ/kg [5].
As displayed in Table 2, the retained oils were 5.5 and 5.7 wt.% after mechanical screw press only and ultrasonic solvent extraction for 15 min, respectively. On the other hand, the retained oil after solvent extraction pretreatment is usually not determined because the residual oil is exactly measured by the extraction efficiency achieved by extraction with n-hexane for 4–8 h, corresponding to 99%. The estimated input energy for solvent extraction was 3.67 MJ for 1 kg of soybean oil production [32]. Given that 1 ton of JME will supply 55 kg oil, the second stage of solvent extraction requires an input energy of 201.8 MJ, which is largely lower than the heating value of 2180 MJ from the recovery of Jatropha oils. Therefore, a two-stage sequential process consisting of mechanical screw pressing and solvent extraction allows the recovery of more Jatropha oil with and a gain of energy, while the torrefaction properties of JMET and JMST are quite compatible.
In fact, the combination of mechanical screw pressing and solvent extraction has been widely used for the production of edible oil, namely, extra-virgin and extraction oils. The input energy for the second-stage solvent extraction process should be economically compensated by the obtained oil product. Nevertheless, the mass and energy balance for mechanical screw pressing only and two-stage mechanical screw pressing and solvent extraction is worthy to be determined for clarifying the economic benefit of the torrefaction of non-edible de-oiled Jatropha biomass.
It should be pointed out that the residual oil of 5.5 wt.% in JME retarded and delayed the torrefaction of biomass of JME compared to that of JMS containing no residual oil, as revealed in Figure 1. Theoretically, the torrefaction of residual oil containing JME above 300 °C will produce solid fuel with tar due to a thermal reaction in the residual oil. The tar in biomass fuel is a challenge for air pollution control, particularly for small-scale decentralized gasification-to-power systems [33]. The fine particle, soot, tar ball and black carbon emitted from the incomplete combustion of biomass fuel also contribute to climate change, ozone formation and other air quality issues [34]. Hence, this study further examined the tar and residual oil content of JMET, as displayed in Figure 6. The results indicated that JMET containing tar was observed in all cases. The tar/oil content was about 2.1 wt.% for 280 °C at 40 min and 2 wt.% for 300 °C at 20 min. A higher Tr and longer tr facilitated the thermal decomposition of residual oil and tar. In addition, the tar generated from JMS would be theoretically lower than that from JME. Nevertheless, the tar/oil content of JMST should be interesting to be examined in a future study.

4. Conclusions

In this study, the torrefaction performance at different Tr and tr was investigated for de-oiled pressed cakes of Jatropha seeds following a two-stage sequential process consisting of mechanical screw pressing and solvent extraction using n-hexane (denoted as JMS). The optimal operation conditions were examined at fixed Tr of 260, 280, and 300 °C and tr of 10–60 min. The results showed that the increase of Tr and tr upgraded the HHV and ED of the torrefied products, with acceptable mass loss. The enhancement of HHV was attributed to the increase of fixed carbons. The mass loss was mainly attributed to the decomposition of hemicelluloses and celluloses and the elimination of volatile matters. The satisfactory ED of about 1.3 was achieved: 1) ED of 1.37 at logSF = 6.90, Tr = 280 °C, and tr = 40 min and 2) ED of 1.35 at logSF = 7.19, Tr = 300 °C, and tr = 20 min. Although both Cases 1 and 2 reached satisfactory torrefaction in terms of ED, a lower logSF to gain higher ED should be encouraged. Furthermore, better carbon enrichment and the elimination of hydrogen and oxygen in the torrefaction of JMS were obtained with Tr = 280 °C and tr = 40 (Case 1) and at longer times (50 and 60 min) because the atomic ratios of O/C and H/C for these JMST were close to those of coal.
By comparing JMS with Jatropha seed residue biomass undergoing screw pressing only (defined as JME), the residual oil had a mixed effect for the torrefied biomass fuel. The tar content of JMET was 2–5 wt.%, which is positive for HHV but negative as regards the low gasification. The other solid fuel characteristics of JMET and JMST remained comparable. Therefore, the current findings indicate that the enhanced recovery of residual oil by a two-stage sequential process of mechanical screw pressing and solvent extraction can prevent the formation of tar in the torrefied biomass products without damaging their ED and solid fuel characteristics. More importantly, the two-stage process would probably allow not only the recovery of more oil from Jatropha seed residue with a net energy gained but also the reduction of hazardous air pollutant emission.

Author Contributions

C.-C.C., T.-C.H. and C.-Y.C. conceived and designed the experiments; T.-C.H., B.-L.L., Y.-H.C. (Yen-Hau Chen) and M.H. performed the experiments; M.-H.Y., C.-C.C., T.-C.H. and C.-Y.C. analyzed the data; M.-H.Y., J.-L.S., Y.-H.C. (Yi-Hung Chen), C.-Y.C., C.-F.L., C.-P.Y., C.-H.W., M.V.D., F.-C.L. and D.-J.L. contributed reagents/materials/analysis tools; M.-H.Y., C.-C.C., T.-C.H. and C.-Y.C. discussed the results and provided suggestion; M.-H.Y. and C.-Y.C. wrote the paper. M.-H.Y. and C.-Y.C. revised the paper. All authors have read and agreed to the published version of the manuscript.

Funding

This research was funded by Ministry of Science and Technology (Taipei, Taiwan) with grant number of NSC 102-2221-E-002-001 and MOST 108-2221-E-039-007-MY3.

Institutional Review Board Statement

Not applicable.

Acknowledgments

The authors would like to thank the Ministry of Science and Technology of Taiwan for the financial support (NSC 102-2221-E-002-001; MOST 108-2221-E-039-007-MY3) of this research.

Conflicts of Interest

The authors declare no conflict of interest.

References

  1. Material Economics. EU Biomass Use in A Net-Zero Economy—A Course Correction for EU Biomass; Material Economics Sverige AB: Stockholm, Sweden, 2021; Available online: https://materialeconomics.com/latest-updates/eu-biomass-use (accessed on 26 September 2021).
  2. Kaushik, N.; Kumar, K.; Kumar, S.; Kaushik, N.; Roy, S. Genetic variability and divergence studies in seed traits and oil content of Jatropha (Jatropha curcas L.) accessions. Biomass Bioenergy 2007, 31, 497–502. [Google Scholar] [CrossRef]
  3. Francis, G.; Edinger, R.; Becker, K. A concept for simultaneous wasteland reclamation, fuel production, and socio-economic development in degraded areas in India: Need, potential and perspectives of Jatropha plantations. Nat. Resour. Forum 2005, 19, 12–24. [Google Scholar] [CrossRef]
  4. Saad, M.G.; Dosoky, N.S.; Zoromba, M.S.; Shafik, H.M. Algal Biofuels: Current Status and Key Challenges. Energies 2019, 12, 1920. [Google Scholar] [CrossRef] [Green Version]
  5. Divakara, B.N.; Upadhyaya, H.D.; Wani, S.P.; Laxmipathi Gowda, C.L. Biology and genetic improvement of Jatropha curcas L.: A review. Appl. Energy 2010, 87, 732–742. [Google Scholar] [CrossRef] [Green Version]
  6. Achten, W.M.J.; Mathijs, E.; Verchot, L.; Singh, V.P.; Aerts, R.; Muys, B. Jatropha biodiesel fueling sustainability. Biofuels Bioprod. Biorefining 2007, 1, 283–291. [Google Scholar] [CrossRef] [Green Version]
  7. No, S.Y. Inedible vegetable oils and their derivatives for alternative diesel fuels in CI engines: A review. Renew. Sustain. Energy Rev. 2011, 15, 131–149. [Google Scholar] [CrossRef]
  8. Hsu, T.C.; Chang, C.C.; Yuan, M.H.; Chang, C.Y.; Chen, Y.H.; Lin, C.F.; Ji, D.R.; Shie, J.L.; Manh, D.V.; Wu, C.H.; et al. Upgrading of Jatropha-seed residue after mechanical extraction of oil via torrefaction. Energy 2018, 142, 773–781. [Google Scholar] [CrossRef]
  9. Procházka, P.; Smutka, L.; Hönig, V. Using Biofuels for Highly Renewable Electricity Systems: A Case Study of the Jatropha curcas. Energies 2019, 12, 3028. [Google Scholar] [CrossRef] [Green Version]
  10. Sizirici, B.; Fseha, Y.H.; Yildiz, I.; Delclos, T.; Khaleel, A. The effect of pyrolysis temperature and feedstock on date palm waste derived biochar to remove single and multi-metals in aqueous solutions. Sustain. Environ. Res. 2021, 31, 9. [Google Scholar] [CrossRef]
  11. Piloto-Rodríguez, R.; Tobío, I.; Ortiz-Alvarez, M.; Díaz, Y.; Konradi, S.; Pohl, S. An approach to the use of Jatropha curcas by-products as energy source in agroindustry. Energy Sources Part A 2020. [Google Scholar] [CrossRef]
  12. Gan, Y.Y.; Ong, H.C.; Ling, T.C.; Chen, W.H.; Chong, C.T. Torrefaction of de-oiled Jatropha seed kernel biomass for solid fuel production. Energy 2019, 170, 367–374. [Google Scholar] [CrossRef]
  13. Kethobile, E.; Ketlogetswe, C.; Gandure, J. Torrefaction of non-oil Jatropha curcas L. (Jatropha) biomass for solid fuel. Heliyon 2020, 6, e05657. [Google Scholar] [CrossRef] [PubMed]
  14. Lateef, F.A.; Ogunsuyi, H.O. Jatropha curcas L. biomass transformation via torrefaction: Surface chemical groups and morphological characterization. Curr. Opin. Green Sustain. Chem. 2021, 4, 100142. [Google Scholar] [CrossRef]
  15. Chen, Z.; Wang, M.; Jiang, E.; Wang, D.; Zhang, K.; Ren, Y.; Jiang, Y. Pyrolysis of torrefied biomass. Trends Biotechnol. 2018, 36, 1287–1298. [Google Scholar] [CrossRef] [Green Version]
  16. Collard, F.X.; Blin, J. A review on pyrolysis of biomass constituents: Mechanisms and composition of the products obtained from the conversion of cellulose, hemicelluloses and lignin. Renew. Sustain. Energy Rev. 2014, 38, 594–608. [Google Scholar] [CrossRef]
  17. Atabani, A.E.; Silitonga, A.S.; Ong, H.C.; Mahlia, T.M.I.; Masjuki, H.H.; Badruddin, I.A.; Fayaz, H. Non-edible vegetable oils: A critical evaluation of oil extraction, fatty acid compositions, biodiesel production, characteristics, engine performance and emissions production. Renew. Sustain. Energy Rev. 2013, 18, 211–245. [Google Scholar] [CrossRef]
  18. Raja, K.S.; Taip, F.S.; Azmi, M.M.Z.; Shishir, M.R.I. Effect of pre-treatment and different drying methods on the physicochemical properties of Carica papaya L. leaf powder. J. Saudi Soc. Agric. Sci. 2019, 18, 150–156. [Google Scholar] [CrossRef]
  19. van Soest, P.J.; Robertson, J.B.; Lewis, B.A. Methods for dietary fiber, neutral detergent fiber, and nonstarch polysaccharides in relation to animal nutrition. J. Dairy Sci. 1991, 74, 3583–3597. [Google Scholar] [CrossRef]
  20. Jourabchi, S.A.; Gan, S.; Ng, H.K. Pyrolysis of Jatropha curcas pressed cake for bio-oil production in a fixed-bed system. Energy Convers. Manag. 2014, 78, 518–526. [Google Scholar] [CrossRef]
  21. Kanaujia, P.K.; Naik, D.V.; Tripathi, D.; Singh, R.; Poddar, M.K.; Siva, L.N.; Sharma, Y.K. Pyrolysis of Jatropha curcas seed cake followed by optimization of liquid-liquid extraction procedure for the obtained bio-oil. J. Anal. Appl. Pyrolysis 2016, 118, 202–224. [Google Scholar] [CrossRef]
  22. Park, J.; Lee, Y.; Ryu, C.; Park, Y.K. Slow pyrolysis of rice straw: Analysis of products properties, carbon and energy yields. Bioresour. Technol. 2014, 155, 63–70. [Google Scholar] [CrossRef] [PubMed]
  23. Kongkasawan, J.; Nam, H.; Capareda, S.C. Jatropha waste meal as an alternative energy source via pressurized pyrolysis: A study on temperature effects. Energy 2016, 113, 631–642. [Google Scholar] [CrossRef]
  24. EUROSTAT. Energy Statistics Manual; IEA PUBLICATIONS: Paris, France, 2004; p. 93. Available online: http://ec.europa.eu/eurostat/ramon/statmanuals/files/Energy_statistics_manual_2004_EN.pdf (accessed on 1 October 2021).
  25. Białowiec, A.; Micuda, M.; Koziel, J.A. Waste to carbon: Densification of torrefied refuse-derived fuel. Energies 2018, 11, 3233. [Google Scholar] [CrossRef] [Green Version]
  26. Huang, M.; Chang, C.-C.; Yuan, M.-H.; Chang, C.-Y.; Wu, C.-H.; Shie, J.-L.; Chen, Y.-H.; Chen, Y.-H.; Ho, C.; Chang, W.-R.; et al. Production of torrefied solid bio-fuel from pulp industry waste. Energies 2017, 10, 910. [Google Scholar] [CrossRef] [Green Version]
  27. Lloyd, T.A.; Wyman, C.E. Combined sugar yields for dilute sulfuric acid pretreatment of corn stover followed by enzymatic hydrolysis of the remaining solids. Bioresour. Technol. 2005, 96, 1967–1977. [Google Scholar] [CrossRef] [PubMed]
  28. Chen, W.; Peng, J.; Bix, T. A state of the art review of biomass torrefaction, densification and application. Renew. Sustain. Energy Rev. 2015, 44, 847–866. [Google Scholar] [CrossRef]
  29. Chen, W.; Lin, B.; Colin, B.; Petrissans, A.; Petrissans, M. A study of hygroscopic property of biomass pretreated by torrefaction. Energy Proc. 2019, 158, 32–36. [Google Scholar] [CrossRef]
  30. Cahyanti, M.N.; Doddapaneni, T.R.K.C.; Madissoo, M.; Pärn, L.; Virro, I.; Kikas, T. Torrefaction of agricultural and wood waste: Comparative analysis of selected fuel characteristics. Energies 2021, 14, 2774. [Google Scholar] [CrossRef]
  31. Prins, M.J. Thermodynamic Analysis of Biomass Gasification and Torrefaction. Ph.D. Thesis, Technische Universiteit Eindhoven, Eindhoven, The Netherlands, 2005. [Google Scholar]
  32. Cheng, M.H.; Sekhon, J.J.K.; Rosentrater, K.A.; Wang, T.; Jung, S.; Johnson, L.A. Environmental impact assessment of soybean oil production: Extruding-expelling process, hexane extraction and aqueous extraction. Food Bioprod. Process. 2018, 108, 58–68. [Google Scholar] [CrossRef]
  33. Chen, Y.; Wang, Y.; Pezzola, L.; Mussi, R.; Bromberg, L.; Heywood, J.; Kasseris, E. A novel low-cost tar removal technology for small-scale biomass gasification to power. Biomass Bioenergy 2021, 149, 106085. [Google Scholar] [CrossRef]
  34. Chen, J.; Li, C.; Ristovski, Z.; Milic, A.; Gu, Y.; Islam, M.S.; Wang, S.; Hao, J.; Zhang, H.; He, C.; et al. A review of biomass burning: Emissions and impacts on air quality, health and climate in China. Sci. Total Environ. 2017, 579, 1000–1034. [Google Scholar] [CrossRef] [PubMed] [Green Version]
Figure 1. Thermogravimetric analysis (TGA) and derivative thermogravimetric (DTG) curves of JME and JMS. Heating rate = 30 °C/min and N2 of 50 mL/min. MP and TP: Residual mass fraction and temperature during pyrolysis.
Figure 1. Thermogravimetric analysis (TGA) and derivative thermogravimetric (DTG) curves of JME and JMS. Heating rate = 30 °C/min and N2 of 50 mL/min. MP and TP: Residual mass fraction and temperature during pyrolysis.
Energies 14 07876 g001
Figure 2. Torrefaction curves of Mr for JMS in various torrefaction conditions using a muffle furnace.
Figure 2. Torrefaction curves of Mr for JMS in various torrefaction conditions using a muffle furnace.
Energies 14 07876 g002
Figure 3. Analyses of calorific value and proximate for JMST in different operating conditions: (a) HHV, (b) MFC, (c) MVM, and (d) MA.
Figure 3. Analyses of calorific value and proximate for JMST in different operating conditions: (a) HHV, (b) MFC, (c) MVM, and (d) MA.
Energies 14 07876 g003
Figure 4. Energy densification (ED) of JMST with logSF numbers on the top of the bar (as defined by Equation (4)) in various torrefaction conditions.
Figure 4. Energy densification (ED) of JMST with logSF numbers on the top of the bar (as defined by Equation (4)) in various torrefaction conditions.
Energies 14 07876 g004
Figure 5. Relative ratio analyses of (a) O/C and (b) H/C as the atomic ratio of JMST to that of raw JMS and (c) van Krevelen diagram (H/C vs. O/C) in various torrefaction conditions. Note: Case 1: ED of 1.37 at logSF = 6.90, Tr = 280 °C and tr = 40 min; Case 2: ED of 1.35 at logSF = 7.19, Tr = 300 °C and tr = 20 min.
Figure 5. Relative ratio analyses of (a) O/C and (b) H/C as the atomic ratio of JMST to that of raw JMS and (c) van Krevelen diagram (H/C vs. O/C) in various torrefaction conditions. Note: Case 1: ED of 1.37 at logSF = 6.90, Tr = 280 °C and tr = 40 min; Case 2: ED of 1.35 at logSF = 7.19, Tr = 300 °C and tr = 20 min.
Energies 14 07876 g005
Figure 6. Dry-based tar or oil content of JMET in various torrefaction conditions.
Figure 6. Dry-based tar or oil content of JMET in various torrefaction conditions.
Energies 14 07876 g006
Table 1. Chemical elemental analyses of JMS at tr = 0 min and of torrefied JMS (JMST).
Table 1. Chemical elemental analyses of JMS at tr = 0 min and of torrefied JMS (JMST).
tr (min)N (%)C (%)S (%)H (%)O (%)H/CO/C
Tr = 260 °C
03.27 ± 0.4046.79 ± 0.270.21 ± 0.016.37 ± 0.13 38.63 ± 0.111.630.62
103.64 ± 0.2947.93 ± 1.560.00 5.93 ± 0.0639.40 ± 0.441.480.62
204.31 ± 2.3053.30 ± 0.690.00 5.25 ± 0.4233.32 ± 0.111.180.47
303.56 ± 1.0859.36 ± 2.350.09 ± 0.125.18 ± 0.0227.22 ± 0.081.050.34
404.13 ± 0.5761.15 ± 1.290.00 4.94 ± 0.1224.20 ± 0.240.970.30
503.99 ± 0.0761.22 ± 0.550.06 ± 0.094.90 ± 0.0223.81 ± 0.300.960.29
605.08 ± 0.3659.51 ± 1.180.16 ± 0.014.38 ± 0.0223.52 ± 0.240.880.30
Tr = 280 °C
104.22 ± 1.2048.02 ± 1.540.00 5.80 ± 0.0628.06 ± 0.041.450.44
204.23 ± 0.1555.28 ± 0.060.00 4.80 ± 0.0625.35 ± 0.061.040.34
304.81 ± 0.7758.21 ± 2.340.00 4.73 ± 0.8125.14 ± 0.040.970.32
404.32 ± 0.1060.52 ± 0.040.00 5.35 ± 0.0218.48 ± 0.181.060.23
503.89 ± 0.2062.83 ± 0.240.00 5.30 ± 0.0220.16 ± 0.041.010.24
604.18 ± 0.0361.50 ± 0.210.00 5.20 ± 0.0121.18 ± 0.131.010.26
Tr = 300 °C
103.16 ± 1.0550.54 ± 1.640.57 ± 0.166.17 ± 0.0823.76 ± 0.021.460.35
203.47 ± 0.8559.52 ± 0.330.18 ± 0.064.82 ± 0.0523.09 ± 0.040.970.29
303.89 ± 0.8962.09 ± 2.860.15 ± 0.024.12 ± 0.1123.45 ± 0.030.800.28
404.51 ± 0.2557.36 ± 0.83 0.13 ± 0.013.68 ± 0.1721.77 ± 0.030.770.28
504.16 ± 0.7161.17 ± 2.460.14 ± 0.013.91 ± 0.2223.85 ± 0.070.770.29
604.39 ± 0.4260.22 ± 2.150.13 ± 0.003.98 ± 0.1223.77 ± 0.000.790.30
Table 2. Comparison of main properties of torrefied Jatropha biomass by various oil extraction processes.
Table 2. Comparison of main properties of torrefied Jatropha biomass by various oil extraction processes.
Type of Biomass aDe-Oil Process bRetained Oil (wt.%)Optimal Tr (ºC)Optimal tr (min)HHV (MJ/kg)H/CO/CEDRef
JMSM + S-2804025.71.060.231.37This work
JMSM + S-3002025.40.970.291.35This work
JMEM5.52805026.721.010.241.28[8]
JMEM5.53003027.011.010.251.30[8]
JMEM-3006025.00.440.101.30[13]
JSKUS5.73006025.851.360.341.24[12]
JSSS-3003022.24--1.16[14]
JFHM-3006024.80.960.101.83[13]
JFHS-3003024.43--1.77[14]
a JSK: Jatropha seed kernel; JSS: Jatropha seed shell; JFH: Jatropha fruit husk. b M: Mechanical screw press; M + S: a two-stage sequential process of mechanical screw pressing and solvent extraction; S: solvent extraction by n-hexane; US: Ultrasonic solvent extraction for 15 min and mesh of 0.5–1.0 mm by n-hexane.
Publisher’s Note: MDPI stays neutral with regard to jurisdictional claims in published maps and institutional affiliations.

Share and Cite

MDPI and ACS Style

Yuan, M.-H.; Chang, C.-C.; Hsu, T.-C.; Shie, J.-L.; Chen, Y.-H.; Chang, C.-Y.; Lin, C.-F.; Yu, C.-P.; Wu, C.-H.; Do, M.V.; et al. A Technical Analysis of Solid Recovered Fuel from Torrefied Jatropha Seed Residue via a Two-Stage Mechanical Screw Press and Solvent Extraction Process. Energies 2021, 14, 7876. https://doi.org/10.3390/en14237876

AMA Style

Yuan M-H, Chang C-C, Hsu T-C, Shie J-L, Chen Y-H, Chang C-Y, Lin C-F, Yu C-P, Wu C-H, Do MV, et al. A Technical Analysis of Solid Recovered Fuel from Torrefied Jatropha Seed Residue via a Two-Stage Mechanical Screw Press and Solvent Extraction Process. Energies. 2021; 14(23):7876. https://doi.org/10.3390/en14237876

Chicago/Turabian Style

Yuan, Min-Hao, Chia-Chi Chang, Tsung-Chi Hsu, Je-Lueng Shie, Yi-Hung Chen, Ching-Yuan Chang, Cheng-Fang Lin, Chang-Ping Yu, Chao-Hsiung Wu, Manh Van Do, and et al. 2021. "A Technical Analysis of Solid Recovered Fuel from Torrefied Jatropha Seed Residue via a Two-Stage Mechanical Screw Press and Solvent Extraction Process" Energies 14, no. 23: 7876. https://doi.org/10.3390/en14237876

APA Style

Yuan, M.-H., Chang, C.-C., Hsu, T.-C., Shie, J.-L., Chen, Y.-H., Chang, C.-Y., Lin, C.-F., Yu, C.-P., Wu, C.-H., Do, M. V., Lin, F.-C., Lee, D.-J., Liu, B.-L., Chen, Y.-H., & Huang, M. (2021). A Technical Analysis of Solid Recovered Fuel from Torrefied Jatropha Seed Residue via a Two-Stage Mechanical Screw Press and Solvent Extraction Process. Energies, 14(23), 7876. https://doi.org/10.3390/en14237876

Note that from the first issue of 2016, this journal uses article numbers instead of page numbers. See further details here.

Article Metrics

Back to TopTop