High-Frequency Non-Invasive Magnetic Field-Based Condition Monitoring of SiC Power MOSFET Modules
Abstract
:1. Introduction
2. Magnetic Field Basics in Power Module
2.1. WB Magnetic Field Formulation
2.2. Simulation Platform
3. Magnetic Field Sensing
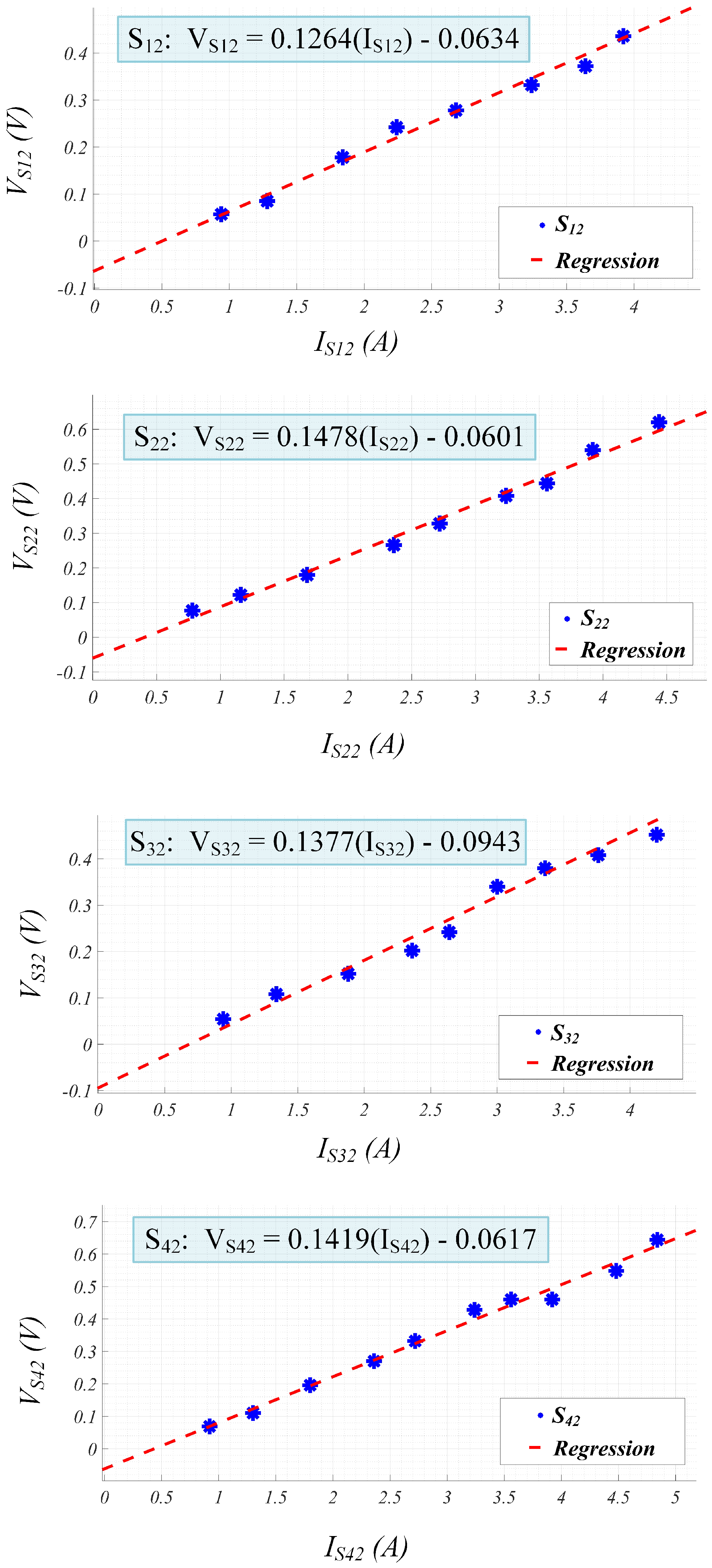
3.1. Magnetic Sensor Board Calibration
3.1.1. Individual Calibration of Sensors
3.1.2. Calibration for Current Anomaly Detection
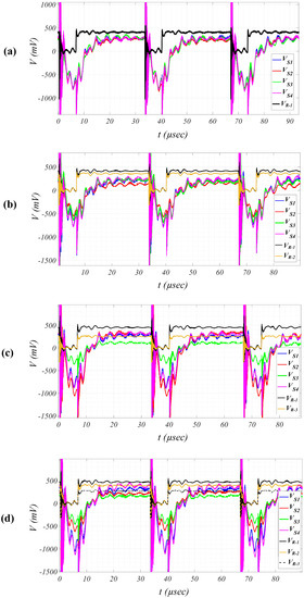
4. Failure Onset Detection
4.1. Simulation Verification
4.2. Experimental Verification
4.3. Discussion
5. Conclusions
Author Contributions
Funding
Institutional Review Board Statement
Informed Consent Statement
Data Availability Statement
Conflicts of Interest
References
- Chen, W.; Zhang, L.; Pattipati, K.; Bazzi, A.M.; Joshi, S.; Dede, E.M. Data-Driven Approach for Fault Prognosis of SiC MOSFETs. IEEE Trans. Power Electron. 2020, 35, 4048–4062. [Google Scholar] [CrossRef]
- Ni, Z.; Lyu, X.; Yadav, O.P.; Singh, B.N.; Zheng, S.; Cao, D. Overview of Real-Time Lifetime Prediction and Extension for SiC Power Converters. IEEE Trans. Power Electron. 2020, 35, 7765–7794. [Google Scholar] [CrossRef]
- Naghibi, J.; Mehran, K.; Foster, M.P. An Online Failure Assessment Approach for SiC-based MOSFET Power Modules Using Iterative Condition Monitoring Technique. In Proceedings of the 2020 IEEE 21st Workshop on Control and Modeling for Power Electronics (COMPEL), Aalborg, Denmark, 9 November 2020; pp. 1–5. [Google Scholar] [CrossRef]
- Ziegler, S.; Woodward, R.C.; Iu, H.H.; Borle, L.J. Current Sensing Techniques: A Review. IEEE Sens. J. 2009, 9, 354–376. [Google Scholar] [CrossRef]
- Ugur, E.; Yang, F.; Pu, S.; Zhao, S.; Akin, B. Degradation assessment and precursor identification for SiC MOSFETs under high temp cycling. IEEE Trans. Ind. Appl. 2019, 55, 2858–2867. [Google Scholar] [CrossRef]
- Chen, M.; Wang, H.; Pan, D.; Wang, X.; Blaabjerg, F. Thermal characterization of silicon carbide mosfet module suitable for high-temperature computationally-efficient thermal-profile prediction. IEEE J. Emerg. Sel. Top. Power Electron. 2020, 9, 3947–3958. [Google Scholar] [CrossRef]
- Gothner, F.; Spro, O.C.; Herncs, M.; Peftitsis, D. Challenges of SiC MOSFET Power Cycling Methodology. In Proceedings of the 2018 20th European Conference on Power Electronics and Applications (EPE’18 ECCE Europe), Riga, Latvia, 17–21 September 2018; pp. 1–8. [Google Scholar]
- Gonzalez-Hernando, F.; San-Sebastian, J.; Garcia-Bediaga, A.; Arias, M.; Iannuzzo, F.; Blaabjerg, F. Wear-Out Condition Monitoring of IGBT and mosfet Power Modules in Inverter Operation. IEEE Trans. Ind. Appl. 2019, 55, 6184–6192. [Google Scholar] [CrossRef]
- Ceccarelli, L.; Kotecha, R.; Iannuzzo, F.; Mantooth, A. Fast Electro-thermal Simulation Strategy for SiC MOSFETs Based on Power Loss Mapping. In Proceedings of the 2018 IEEE International Power Electronics and Application Conference and Exposition (PEAC), Shenzhen, China, 4–7 November 2018; pp. 1–6. [Google Scholar]
- Gonzalez, J.O.; Alatise, O.; Hu, J.; Ran, L.; Mawby, P.A. An investigation of temperature-sensitive electrical parameters for SiC power MOSFETs. IEEE Trans. Power Electron. 2016, 32, 7954–7966. [Google Scholar] [CrossRef] [Green Version]
- Griffo, A.; Wang, J.; Colombage, K.; Kamel, T. Real-Time Measurement of Temperature Sensitive Electrical Parameters in SiC Power MOSFETs. IEEE Trans. Ind. Electron. 2018, 65, 2663–2671. [Google Scholar] [CrossRef] [Green Version]
- Guo, W.; Fu, G.; Wan, B.; Su, Y. Reliability Assessment Methodology of Power Devices Based on Physics of Failure and Multivariate Copulas. In Proceedings of the 2019 Prognostics and System Health Management Conference (PHM-Qingdao), Qingdao, China, 25–27 October 2019; pp. 1–6. [Google Scholar]
- Zhang, Z.; Dyer, J.; Wu, X.; Wang, F.; Costinett, D.; Tolbert, L.M.; Blalock, B.J. Online junction temperature monitoring using intelligent gate drive for SiC power devices. IEEE Trans. Power Electron. 2018, 34, 7922–7932. [Google Scholar] [CrossRef]
- Stella, F.; Pellegrino, G.; Armando, E.; Daprà, D. Online junction temperature estimation of SiC power MOSFETs through on-state voltage mapping. IEEE Trans. Ind. Appl. 2018, 54, 3453–3462. [Google Scholar] [CrossRef]
- Volke, A.; Hornkamp, M. IGBT Modules: Technologies, Driver and Application; Infeneon Technologies: Neubiberg, Germany, 2011. [Google Scholar]
- Chan, T.; Chen, J.; Ko, P.; Hu, C. The impact of gate-induced drain leakage current on MOSFET scaling. In Proceedings of the 1987 International Electron Devices Meeting, Washington, DC, USA, 6–9 December 1987; pp. 718–721. [Google Scholar]
- Baba, S.; Gieraltowski, A.; Jasinski, M.; Blaabjerg, F.; Bahman, A.S.; Zelechowski, M. Active Power Cycling Test Bench for SiC Power MOSFET s—Principles, Design, and Implementation. IEEE Trans. Power Electron. 2020, 36, 2661–2675. [Google Scholar] [CrossRef]
- Schilling, O.; Schäfer, M.; Mainka, K.; Thoben, M.; Sauerland, F. Power cycling testing and FE modelling focussed on Al wire bond fatigue in high power IGBT modules. Microelectron. Reliab. 2012, 52, 2347–2352. [Google Scholar] [CrossRef]
- Sokolov, A.; Liu, C.; Mohn, F. Reliability assessment of SiC power module stack based on thermo-structural analysis. In Proceedings of the 2018 19th International Conference on Thermal, Mechanical and Multi-Physics Simulation and Experiments in Microelectronics and Microsystems (EuroSimE), Toulouse, France, 15–18 April 2018; pp. 1–4. [Google Scholar] [CrossRef]
- Alvi, M.H.; Sheng, M.; Lorenz, R.D.; Jahns, T.M. SiC Power Module Design for High Bandwidth Integrated Current Sensing using a Magnetoresistive Point Field Detector. In Proceedings of the 2020 IEEE Applied Power Electronics Conference and Exposition (APEC), New Orleans, LA, USA, 15–19 March 2020; pp. 1506–1512. [Google Scholar]
- Nibir, S.J.; Parkhideh, B. Magnetoresistor with planar magnetic concentrator as wideband contactless current sensor for power electronics applications. IEEE Trans. Ind. Electron. 2017, 65, 2766–2774. [Google Scholar] [CrossRef]
- Nibir, S.J.; Biglarbegian, M.; Parkhideh, B. A Non-Invasive DC-10-MHz Wideband Current Sensor for Ultra-Fast Current Sensing in High-Frequency Power Electronic Converters. IEEE Trans. Power Electron. 2019, 34, 9095–9104. [Google Scholar] [CrossRef]
- Shao, S.; Yu, N.; Xu, X.; Bai, J.; Wu, X.; Zhang, J. Tunnel Magnetoresistance-Based Short-Circuit and Over-Current Protection for IGBT Module. IEEE Trans. Power Electron. 2020, 35, 10930–10944. [Google Scholar] [CrossRef]
- Nasab, J.N.; Hadizade, A.; Mohsenzade, S.; Zarghany, M.; Kaboli, S. A Marx-based generator with adjustable FWHM using a controllable magnetic switch. IEEE Trans. Dielectr. Electr. Insul. 2019, 26, 324–331. [Google Scholar] [CrossRef]
- Miranda, J.A. Magnetic field calculation for arbitrarily shaped planar wires. Am. J. Phys. 2000, 68, 254–258. [Google Scholar] [CrossRef]
- Griffiths, D. Introduction to Electrodynamics; Prentice-Hall: Upper Saddle River, NJ, USA, 1999. [Google Scholar]
- Jia, Y.; Xiao, F.; Duan, Y.; Luo, Y.; Liu, B.; Huang, Y. PSpice-COMSOL Based 3D Electro-Thermal-Mechanical Modeling of IGBT Power Module. IEEE J. Emerg. Sel. Top. Power Electron. 2019, 8, 4173–4185. [Google Scholar] [CrossRef]
- Naghibi, J.; Mehran, K. Multiphysics Condition Monitoring Technique for Reliability Assessment of Wide Bandgap-Based Power Modules in Electric Vehicle Application. In Proceedings of the 2020 Fifteenth International Conference on Ecological Vehicles and Renewable Energies (EVER), Monte-Carlo, Monaco, 10–12 September 2020; pp. 1–6. [Google Scholar] [CrossRef]
- Microsemi. 1200 V, 55 A Phase Leg SiC MOSFET Power Module. 2019. Available online: https://www.microsemi.com/document-portal/doc_download/1244785-mscsm120am50ct1ag-datasheet (accessed on 1 August 2021).
- Coto Technology. Analog, TMR RedRock® RR111. 2019. Available online: https://media.cotorelay.com/wp-content/uploads/2018/02/03173949/RedRock-111TMR-Datasheet2.pdf (accessed on 1 August 2021).

















| Material | Thermal Conductivity | Heat Capacity | Density |
|---|---|---|---|
| [W/(m·K)] | [J/(kg·K)] | [kg/m] | |
| Aluminium () | 239 | 910 | 2699 |
| Copper () | 385 | 380 | 180 |
| Silicon Carbide () | 353 | 1031 | 3211 |
| Solder () | 60 | 160 | 7400 |
| Ceramic () | 27 | 776 | 3900 |
| Silicon gel | 0.2 | 900 | 1250 |
| Condition | |||||
| Normal | 21 | 5.25 | 5.25 | 5.25 | 5.25 |
| Scenario 1 | 21 | 5.39 | 4.81 | 5.39 | 5.39 |
| Scenario 2 | 21 | 5.49 | 5.49 | 5.49 | 4.47 |
| Scenario 3 | 21 | 7 | 7 | 0 | 7 |
| Parameter | Value |
| 31 V | |
| 49 V | |
| L | 100 H |
| 55 F | |
| 100 F | |
| 50 kHz | |
| 470 W |
Publisher’s Note: MDPI stays neutral with regard to jurisdictional claims in published maps and institutional affiliations. |
© 2021 by the authors. Licensee MDPI, Basel, Switzerland. This article is an open access article distributed under the terms and conditions of the Creative Commons Attribution (CC BY) license (https://creativecommons.org/licenses/by/4.0/).
Share and Cite
Naghibi, J.; Mehran, K.; Foster, M.P. High-Frequency Non-Invasive Magnetic Field-Based Condition Monitoring of SiC Power MOSFET Modules. Energies 2021, 14, 6720. https://doi.org/10.3390/en14206720
Naghibi J, Mehran K, Foster MP. High-Frequency Non-Invasive Magnetic Field-Based Condition Monitoring of SiC Power MOSFET Modules. Energies. 2021; 14(20):6720. https://doi.org/10.3390/en14206720
Chicago/Turabian StyleNaghibi, Javad, Kamyar Mehran, and Martin P. Foster. 2021. "High-Frequency Non-Invasive Magnetic Field-Based Condition Monitoring of SiC Power MOSFET Modules" Energies 14, no. 20: 6720. https://doi.org/10.3390/en14206720
APA StyleNaghibi, J., Mehran, K., & Foster, M. P. (2021). High-Frequency Non-Invasive Magnetic Field-Based Condition Monitoring of SiC Power MOSFET Modules. Energies, 14(20), 6720. https://doi.org/10.3390/en14206720

