Effect of Pebble Size Distribution and Wall Effect on Inner Packing Structure and Contact Force Distribution in Tritium Breeder Pebble Bed
Abstract
1. Introduction
2. Methodology
2.1. Discrete Element Method
2.2. Modelling Packing Process and Parameter Setup
- (1)
- Mono-sized, diameter of all pebbles is equal to 1 mm.
- (2)
- Discrete normal distribution, N (E, σ2). E is average diameter davg and also equal to 1 mm. σ is the standard deviation of pebble size varying from 0 to 0.3.
- (3)
- Discrete uniform distribution, U (dmin, dmax). dmin and dmax are the minimum and maximum values of pebble diameter. The pebble diameter is discretized with a step of 0.05 mm from dmin to dmax. the average diameter davg is equal to the mean of dmin and dmax. the diameter difference, Δd, defined as the absolute of the difference between the maximum (minimum) diameter dmax (dmin) and the average diameter davg was used to represent the dispersion degree of discrete uniform pebble size distribution, which varied from 0 to 0.5 mm.
3. Results and Discussions
3.1. Mono-Sized Pebble Bed and Validation
3.1.1. Porosity Distribution
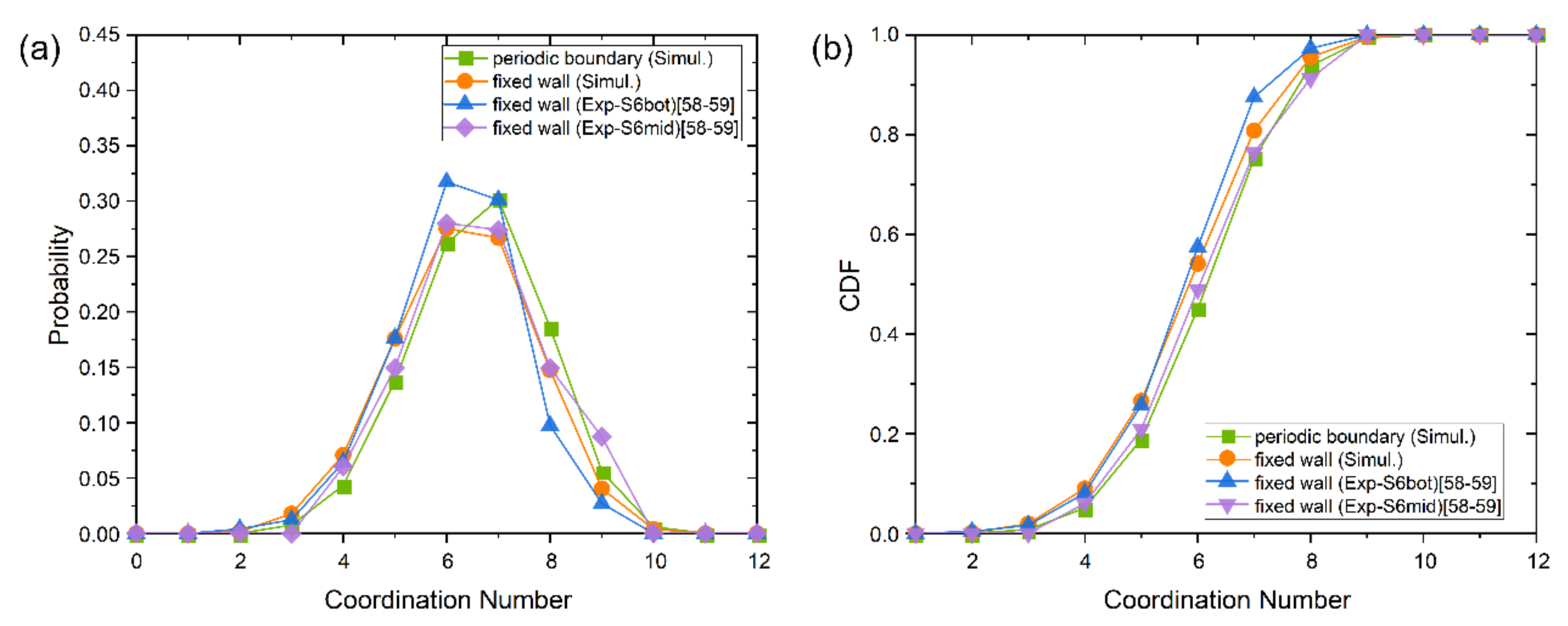
3.1.2. Coordination Number Distribution
3.1.3. Contact Force Distribution
3.2. Pebble Size Normal Distribution Pebble Bed
3.2.1. Porosity Distribution
3.2.2. Coordination Number Distribution
3.2.3. Contact Force Distribution
3.3. Pebble Size Uniform Distribution Pebble Bed
3.3.1. Porosity Distribution
3.3.2. Coordination Number Distribution
3.3.3. Contact Force Distribution
4. Conclusions
Author Contributions
Funding
Institutional Review Board Statement
Informed Consent Statement
Data Availability Statement
Acknowledgments
Conflicts of Interest
References
- Lu, J.; Chen, Y.; Ding, J.; Wei, X. High temperature energy storage performances of methane reforming with carbon dioxide in a tubular packed reactor. Appl. Energy 2016, 162, 1473–1482. [Google Scholar] [CrossRef]
- Yang, J.; Bu, S.; Dong, Q.; Wu, J.; Wang, Q. Experimental study of flow transitions in random packed beds with low tube to particle diam-eter ratios. Exp. Therm. Fluid Sci. 2015, 66, 117–126. [Google Scholar] [CrossRef]
- Wang, X.Y.; Feng, K.M.; Chen, Y.J.; Zhang, L.; Feng, Y.J.; Wu, X.H.; Liao, H.B.; Ye, X.F.; Zhao, F.C.; Cao, Q.X.; et al. Current design and R&D progress of the Chinese helium cooled ceramic breeder test blanket system. Nucl. Fusion 2019, 59, 076019. [Google Scholar]
- Chen, H.; Li, M.; Lv, Z.; Zhou, G.; Liu, Q.; Wang, S.; Wang, X.; Zheng, J.; Ye, M. Conceptual design and analysis of the helium cooled solid breeder blanket for CFETR. Fusion Eng. Des. 2015, 89–94. [Google Scholar] [CrossRef]
- Liu, S.; Pu, Y.; Cheng, X.; Li, J.; Peng, C.; Ma, X.; Chen, L. Conceptual design of a water cooled breeder blanket for CFETR. Fusion Eng. Des. 2014, 89, 1380–1385. [Google Scholar] [CrossRef]
- Chen, L.; Chen, Y.; Huang, K.; Liu, S. Investigation of effective thermal conductivity for pebble beds by one-way coupled CFD-DEM method for CFETR WCCB. Fusion Eng. Des. 2016, 106, 1–8. [Google Scholar] [CrossRef]
- Gong, B.; Feng, Y.; Liao, H.; Liu, Y.; Wang, X.; Feng, K. Discrete element modeling of pebble bed packing structures for HCCB TBM. Fusion Eng. Des. 2017, 121, 256–264. [Google Scholar] [CrossRef]
- Gong, B.; Feng, Y.; Liao, H.; Wu, X.; Wang, S.; Wang, X.; Feng, K. Numerical investigation of the pebble bed structures for HCCB TBM. Fusion Eng. Des. 2018, 136, 1444–1451. [Google Scholar] [CrossRef]
- Wu, M.; Gui, N.; Wu, H.; Yang, X.; Tu, J.; Jiang, S. Effects of density difference and loading ratio on pebble flow in a three-dimensional two-region-designed pebble bed. Ann. Nucl. Energy 2019, 133, 924–936. [Google Scholar] [CrossRef]
- Gui, N.; Huang, X.; Yang, X.; Tu, J.; Jiang, S. HTR-PM-based 3D pebble flow simulation on the effects of base angle, recirculation mode and coefficient of friction. Ann. Nucl. Energy 2020, 143, 107442. [Google Scholar] [CrossRef]
- Jiang, S.; Tu, J.; Yang, X.; Gui, N. A review of pebble flow study for pebble bed high temperature gas-cooled reactor. Exp. Comput. Multiph. Flow 2019, 1, 159–176. [Google Scholar] [CrossRef]
- Khane, V.; Taha, M.M.; Mueller, G.E.; Al-Dahhan, M. Discrete Element Method–Based Investigations of Granular Flow in a Pebble Bed Reactor. Nucl. Technol. 2017, 199, 47–66. [Google Scholar] [CrossRef]
- Lin, J.; Luo, K.; Wang, S.; Sun, L.; Fan, J. Particle-Scale Simulation of Solid Mixing Characteristics of Binary Particles in a Bubbling Fluidized Bed. Energies 2020, 13, 4442. [Google Scholar] [CrossRef]
- Hofer, G.; Märzinger, T.; Eder, C.; Pröll, F.; Pröll, T. Particle mixing in bubbling fluidized bed reactors with continuous particle exchange. Chem. Eng. Sci. 2019, 195, 585–597. [Google Scholar] [CrossRef]
- Mandal, D.; Sathiyamoorthy, D.; Vinjamur, M. Void fraction and effective thermal conductivity of binary particulate bed. Fusion Eng. Des. 2013, 88, 216–225. [Google Scholar] [CrossRef]
- Mandal, D.; Dabhade, P.; Kulkarni, N. Estimation of effective thermal conductivity of packed bed with internal heat generation. Fusion Eng. Des. 2020, 152, 111458. [Google Scholar] [CrossRef]
- Wongkham, J.; Wen, T.; Lu, B.; Cui, L.; Xu, J.; Liu, X. Particle-resolved simulation of randomly packed pebble beds with a novel fluid-solid coupling method. Fusion Eng. Des. 2020, 161, 111953. [Google Scholar] [CrossRef]
- Zhao, Z.; Feng, K.; Feng, Y. Theoretical calculation and analysis modeling for the effective thermal conductivity of Li4SiO4 pebble bed. Fusion Eng. Des. 2010, 85, 1975–1980. [Google Scholar] [CrossRef]
- Guo, Z.; Sun, Z.; Zhang, N.; Ding, M.; Zhou, Y. Influence of flow guiding conduit on pressure drop and convective heat transfer in packed beds. Int. J. Heat Mass Transf. 2019, 134, 489–502. [Google Scholar] [CrossRef]
- Tian, X.; Yang, J.; Guo, Z.; Wang, Q.; Sunden, B. Numerical Study of Heat Transfer in Gravity-Driven Particle Flow around Tubes with Different Shapes. Energies 2020, 13, 1961. [Google Scholar] [CrossRef]
- Sohn, D.; Lee, Y.; Ahn, M.-Y.; Park, Y.-H.; Cho, S. Numerical prediction of packing behavior and thermal conductivity of pebble beds according to pebble size distributions and friction coefficients. Fusion Eng. Des. 2018, 137, 182–190. [Google Scholar] [CrossRef]
- Panchal, M.; Chaudhuri, P.; Van Lew, J.; Ying, A. Numerical modelling for the effective thermal conductivity of lithium meta titanate pebble bed with different packing structures. Fusion Eng. Des. 2016, 112, 303–310. [Google Scholar] [CrossRef]
- Panchal, M.; Saraswat, A.; Chaudhuri, P. Experimental measurements of gas pressure drop of packed pebble beds. Fusion Eng. Des. 2020, 160, 111836. [Google Scholar] [CrossRef]
- Lee, Y.; Choi, D.; Hwang, S.-P.; Ahn, M.-Y.; Park, Y.-H.; Cho, S.; Sohn, D. Numerical investigation of purge gas flow through binary-sized pebble beds using discrete element method and computational fluid dynamics. Fusion Eng. Des. 2020, 158, 111704. [Google Scholar] [CrossRef]
- Choi, D.; Park, Y.-H.; Han, J.; Ahn, M.-Y.; Lee, Y.; Park, Y.-H.; Cho, S.; Sohn, D. A DEM-CFD study of the effects of size distributions and packing fractions of pebbles on purge gas flow through pebble beds. Fusion Eng. Des. 2019, 143, 24–34. [Google Scholar] [CrossRef]
- Abou-Sena, A.; Arbeiter, F.; Boccaccini, L.V.; Schlindwein, G. Measurements of the purge helium pressure drop across pebble beds packed with lithium orthosilicate and glass pebbles. Fusion Eng. Des. 2014, 89, 1459–1463. [Google Scholar] [CrossRef]
- Bale, S.; Tiwari, S.S.; Sathe, M.; Berrouk, A.S.; Nandakumar, K.; Joshi, J. Direct numerical simulation study of end effects and D/d ratio on mass transfer in packed beds. Int. J. Heat Mass Transf. 2018, 127, 234–244. [Google Scholar] [CrossRef]
- Abdulmohsin, R.S.; Al-Dahhan, M.H. Pressure Drop and Fluid Flow Characteristics in a Packed Pebble Bed Reactor. Nucl. Technol. 2017, 198, 17–25. [Google Scholar] [CrossRef]
- Iikawa, N.; Bandi, M.M.; Katsuragi, H. Force-chain evolution in a two-dimensional granular packing compacted by vertical tappings. Phys. Rev. E 2018, 97, 032901. [Google Scholar] [CrossRef]
- Akella, V.S.; Bandi, M.M.; Hentschel, H.G.E.; Procaccia, I.; Roy, S. Force distributions in frictional granular media. Phys. Rev. E 2018, 98, 012905. [Google Scholar] [CrossRef]
- Kruyt, N.P. On weak and strong contact force networks in granular materials. Int. J. Solids Struct. 2016, 135–140. [Google Scholar] [CrossRef]
- Desu, R.K.; Annabattula, R.K. Particle size effects on the contact force distribution in compacted polydisperse granular assemblies. Granul. Matter 2019, 21, 29. [Google Scholar] [CrossRef]
- Minh, N.H.; Cheng, Y.P.; Thornton, C. Strong force networks in granular mixtures. Granul. Matter 2014, 16, 69–78. [Google Scholar] [CrossRef]
- Ngan, A. On distribution of contact forces in random granular packings. Phys. A Stat. Mech. Appl. 2004, 339, 207–227. [Google Scholar] [CrossRef]
- Yang, Y.; Cheng, Y. A fractal model of contact force distribution and the unified coordination distribution for crushable granular materials under confined compression. Powder Technol. 2015, 279, 1–9. [Google Scholar] [CrossRef]
- Annabattula, R.K.; Gan, Y.; Kamlah, M. Mechanics of binary and polydisperse spherical pebble assembly. Fusion Eng. Des. 2012, 87, 853–858. [Google Scholar] [CrossRef]
- Desu, R.K.; Gan, Y.; Kamlah, M.; Annabattula, R.K. Mechanics of binary crushable granular assembly through discrete element method. Nucl. Mater. Energy 2016, 9, 237–241. [Google Scholar] [CrossRef][Green Version]
- Wang, S.; Wang, S.; Xu, Q.; Chen, H. Crushed model and uniaxial compression analysis of random packed ceramic pebble bed by DEM. Fusion Eng. Des. 2018, 128, 53–57. [Google Scholar] [CrossRef]
- Gan, Y.; Kamlah, M.; Riesch-Oppermann, H.; Rolli, R.; Liu, P. Crush probability analysis of ceramic breeder pebble beds under mechanical stresses. J. Nucl. Mater. 2011, 417, 706–709. [Google Scholar] [CrossRef]
- Van Antwerpen, W.; du Toit, C.G.; Rousseau, P.G. A review of correlations to model the packing structure and effective ther-mal conductivity in packed beds of mono-sized spherical particles. Nucl. Eng. Des. 2010, 240, 1803–1818. [Google Scholar] [CrossRef]
- Mueller, G.E. A modified packed bed radial porosity correlation. Powder Technol. 2019, 342, 607–612. [Google Scholar] [CrossRef]
- Du Toit, C.G. Radial variation in porosity in annular packed beds. Nucl. Eng. Des. 2008, 238, 3073–3079. [Google Scholar] [CrossRef]
- De Klerk, A. Voidage Variation in Packed Beds at Small Column to Particle Diameter Ratio. AIChE J. 2003, 49, 2022–2029. [Google Scholar] [CrossRef]
- Wang, S.; Wang, S.; Chen, H. Numerical influence analysis of the packing structure on ceramic breeder pebble beds. Fusion Eng. Des. 2019, 140, 41–47. [Google Scholar] [CrossRef]
- Wang, X. Computational study of the elastic modulus of single size pebble beds for fusion applications. Fusion Eng. Des. 2016, 112, 486–491. [Google Scholar] [CrossRef]
- Calderoni, P.; Ying, A.; Sketchley, T.; Abdou, M.A. Experimental study of the interaction of ceramic breeder pebble beds with structural materials under thermo-mechanical loads. Fusion Eng. Des. 2006, 81, 607–612. [Google Scholar] [CrossRef]
- Zaccari, N.; Aquaro, D. Mechanical characterization of Li2TiO3 and Li4SiO4 pebble beds: Experimental determination of the material properties and of the pebble bed effective values. Fusion Eng. Des. 2007, 82, 2375–2382. [Google Scholar] [CrossRef]
- Pupeschi, S.; Knitter, R.; Kamlah, M.; Gan, Y. Numerical and experimental characterization of ceramic pebble beds under cycling mechanical loading. Fusion Eng. Des. 2016, 112, 162–168. [Google Scholar] [CrossRef]
- Pupeschi, S.; Moscardini, M.; Gan, Y.; Knitter, R.; Kamlah, M. Cyclic behavior of ceramic pebble beds under mechanical loading. Fusion Eng. Des. 2018, 134, 11–21. [Google Scholar] [CrossRef]
- Reimann, J.; Fretz, B.; Pupeschi, S. Thermo-mechanical screening tests to qualify beryllium pebble beds with non-spherical pebbles. Fusion Eng. Des. 2015, 1851–1854. [Google Scholar] [CrossRef]
- Zhang, C.; Ying, A.; Abdou, M.A.; Park, Y.-H. Ceramic breeder pebble bed packing stability under cyclic loads. Fusion Eng. Des. 2016, 109, 267–271. [Google Scholar] [CrossRef]
- Yu, A.; Standish, N. Porosity calculations of multi-component mixtures of spherical particles. Powder Technol. 1987, 52, 233–241. [Google Scholar] [CrossRef]
- Roquier, G. A Theoretical Packing Density Model (TPDM) for ordered and disordered packings. Powder Technol. 2019, 344, 343–362. [Google Scholar] [CrossRef]
- Kwan, A.; Wong, V.; Fung, W. A 3-parameter packing density model for angular rock aggregate particles. Powder Technol. 2015, 274, 154–162. [Google Scholar] [CrossRef]
- Chan, K.; Kwan, A. Evaluation of particle packing models by comparing with published test results. Particuology 2014, 16, 108–115. [Google Scholar] [CrossRef]
- Kloss, C.; Goniva, C.; Hager, A.; Amberger, S.; Pirker, S. Models, algorithms and validation for open-source DEM and CFD-DEM. Prog. Comput. Fluid Dyn. Int. J. 2012, 12, 140–152. [Google Scholar] [CrossRef]
- Liggghts(R)-Public Documentation, Version 3.X. Available online: http://www.liggghts.com (accessed on 1 October 2020).
- Liao, H.; Wang, X.; Yang, G.; Feng, Y.; Wang, P.; Feng, K. Recent progress of R&D activities on reduced activation ferritic/martensitic steel (CLF-1). Fusion Eng. Des. 2019, 147, 111235. [Google Scholar] [CrossRef]
- Reimann, J.; Pieritz, R.; Ferrero, C.; Di Michiel, M.; Rolli, R. X-ray tomography investigations on pebble bed structures. Fusion Eng. Des. 2008, 83, 1326–1330. [Google Scholar] [CrossRef]
- Reimann, J.; Pieritz, R.; Di Michiel, M.; Ferrero, C. Inner structures of compressed pebble beds determined by X-ray tomography. Fusion Eng. Des. 2005, 1049–1053. [Google Scholar] [CrossRef]
- Feng, Y.; Feng, K.; Cao, Q.; Zhang, J.; Hu, J. Current Status of the Fabrication of Li4SiO4 and Beryllium Pebbles for CN HCCB TBM in SWIP. Plasma Sci. Technol. 2013, 15, 291–294. [Google Scholar] [CrossRef][Green Version]
- Feng, Y.; Feng, K.; Cao, Q.; Hu, J.; Tang, H. Fabrication and characterization of Li4SiO4 pebbles by melt spraying method. Fusion Eng. Des. 2012, 87, 753–756. [Google Scholar] [CrossRef]

















| Pebble Size Distribution | Parameter | Values |
|---|---|---|
| Mono-sized | d = davg | 1 mm |
| Normal distribution | davg | 1 mm |
| σ | 0–0.3 mm | |
| Uniform distribution | davg | 1 mm |
| Δd | 0–0.5 mm | |
| Number of pebbles | N | 30,000 |
| Average diameter | davg | 1 mm |
| Time-step | dt | 1 × 10−8 s |
Publisher’s Note: MDPI stays neutral with regard to jurisdictional claims in published maps and institutional affiliations. |
© 2021 by the authors. Licensee MDPI, Basel, Switzerland. This article is an open access article distributed under the terms and conditions of the Creative Commons Attribution (CC BY) license (http://creativecommons.org/licenses/by/4.0/).
Share and Cite
Gong, B.; Cheng, H.; Feng, Y.; Luo, X.; Wang, L.; Wang, X. Effect of Pebble Size Distribution and Wall Effect on Inner Packing Structure and Contact Force Distribution in Tritium Breeder Pebble Bed. Energies 2021, 14, 449. https://doi.org/10.3390/en14020449
Gong B, Cheng H, Feng Y, Luo X, Wang L, Wang X. Effect of Pebble Size Distribution and Wall Effect on Inner Packing Structure and Contact Force Distribution in Tritium Breeder Pebble Bed. Energies. 2021; 14(2):449. https://doi.org/10.3390/en14020449
Chicago/Turabian StyleGong, Baoping, Hao Cheng, Yongjin Feng, Xiaofang Luo, Long Wang, and Xiaoyu Wang. 2021. "Effect of Pebble Size Distribution and Wall Effect on Inner Packing Structure and Contact Force Distribution in Tritium Breeder Pebble Bed" Energies 14, no. 2: 449. https://doi.org/10.3390/en14020449
APA StyleGong, B., Cheng, H., Feng, Y., Luo, X., Wang, L., & Wang, X. (2021). Effect of Pebble Size Distribution and Wall Effect on Inner Packing Structure and Contact Force Distribution in Tritium Breeder Pebble Bed. Energies, 14(2), 449. https://doi.org/10.3390/en14020449

