Fuel Reactor CFD Multiscale Modelling in Syngas-Based Chemical Looping Combustion with Ilmenite
Abstract
:1. Introduction
2. Materials and Methods
2.1. Model Assumptions
- the packed bed domain was considered homogenous;
- the solid iron-based OC particles were considered stationary;
- the reduction reaction occurred within the OC particles;
- the OC particles were identical, with a spherical shape and constant radius;
- diffusion was described using Fick’s law;
- axial dispersion was considered;
- compressible laminar fluid flow was considered;
- there was no heat loss to the environment.
2.2. Model Equations
2.2.1. Continuity Equation
2.2.2. Ergun’s Equation
2.2.3. Navier-Stokes and Brinkman Equations
2.2.4. Species Transport
2.2.5. Energy Transport
2.2.6. Reduction Reaction Kinetics
2.3. Model Parameters and Operating Conditions
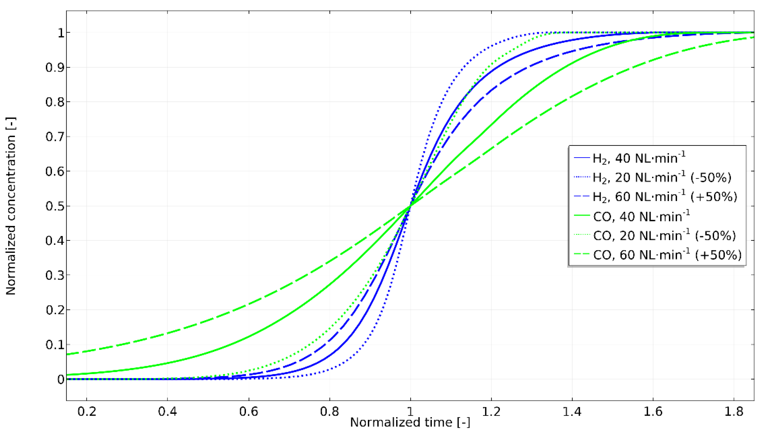
3. Results and Discussion
3.1. Multiscale Model (1D)
3.1.1. Model Validation–Reduction with H2
3.1.2. Model Validation–Reduction with CO
3.1.3. Reduction with Syngas
3.2. Single Particle Model (3D)–Reduction with Syngas
4. Conclusions
Author Contributions
Funding
Institutional Review Board Statement
Informed Consent Statement
Data Availability Statement
Conflicts of Interest
Nomenclature
| component concentration | mol·m−3 | |
| component concentration inside pellet | mol·m−3 | |
| heat capacity | J·kg−1·K−1 | |
| component diffusion coefficient | m2·s−1 | |
| component axial dispersion coefficient | m2·s−1 | |
| component diffusion coefficient inside porous domain | m2·s−1 | |
| pellet diameter | m | |
| component effective diffusion coefficient inside the pellet | m2·s−1 | |
| thermal conductivity | W·m−1·K−1 | |
| first order rate constant for carbon deposition reaction | s−1 | |
| number of pellets per unit volume of bed | - | |
| fluid pressure | Pa | |
| heat source | W·m−3 | |
| radial coordinate from center to pellet surface | - | |
| pellet radius | m | |
| correlation coefficient | - | |
| component reaction rate | mol·m−3·s−1 | |
| time | s | |
| fluid temperature | K | |
| fluid velocity | m·s−1 | |
| interstitial velocity | m·s−1 | |
| Greek | ||
| bed porosity (void fraction) | - | |
| particle porosity (void fraction) | - | |
| fluid dynamic viscosity | Pa·s | |
| porous domain permeability | m2 | |
| fluid density | kg·m−3 | |
| viscous stress tensor | Pa | |
| Abbreviations | ||
| CCS | carbon capture and storage | |
| CFD | computational fluid dynamics | |
| CLC | chemical looping combustion | |
| OC | oxygen carrier | |
References
- Global Warming of 1.5 °C—IPCC. Available online: https://www.ipcc.ch/sr15/ (accessed on 15 September 2021).
- The Global Status of CCS Report 2020—Global CCS Institute. Available online: https://www.globalccsinstitute.com/resources/global-status-report/ (accessed on 15 September 2021).
- Lyngfelt, A.; Brink, A.; Langørgen, Ø.; Mattisson, T.; Rydén, M.; Linderholm, C. 11,000 h of chemical-looping combustion operation—Where are we and where do we want to go? Int. J. Greenh. Gas Control 2019, 88, 38–56. [Google Scholar] [CrossRef]
- Brenault, R.W. Handbook of Chemical Looping Technology; Wiley-VCH: Weinheim, Germany, 2018. [Google Scholar] [CrossRef]
- Pudasainee, D.; Kurian, V.; Gupta, R. Coal: Past, present, and future sustainable use. In Futur Energy Improv Sustain Clean Options Our Planet; Elsevier: Amsterdam, The Netherlands, 2020; pp. 21–48. [Google Scholar] [CrossRef]
- Chisalita, D.A.; Cormos, A.M. Dynamic simulation of fluidized bed chemical looping combustion process with iron based oxygen carrier. Fuel 2018, 214, 436–445. [Google Scholar] [CrossRef]
- Mattisson, T.; Keller, M.; Linderholm, C.; Moldenhauer, P.; Rydén, M.; Leion, H.; Lyngfelt, A. Chemical-looping technologies using circulating fluidized bed systems: Status of development. Fuel Process Technol. 2018, 172, 1–12. [Google Scholar] [CrossRef] [Green Version]
- Adanez, J.; Abad, A.; Garcia-Labiano, F.; Gayan, P.; De Diego, L.F. Progress in chemical-looping combustion and reforming technologies. Prog. Energy Combust. Sci. 2012, 38, 215–282. [Google Scholar] [CrossRef] [Green Version]
- Noorman, S.; Gallucci, F.; Van Sint Annaland, M.; Kuipers, J.A.M. Experimental investigation of chemical-looping combustion in packed beds: A parametric study. Ind. Eng. Chem. Res. 2011, 50, 1968–1980. [Google Scholar] [CrossRef]
- Han, L.; Bollas, G.M. Dynamic optimization of fixed bed chemical-looping combustion processes. Energy 2016, 112, 1107–1119. [Google Scholar] [CrossRef] [Green Version]
- Gallucci, F.; Hamers, H.P.; van Zanten, M.; van Sint Annaland, M. Experimental demonstration of chemical-looping combustion of syngas in packed bed reactors with ilmenite. Chem. Eng. J. 2015, 274, 156–168. [Google Scholar] [CrossRef]
- Parker, J.M. CFD model for the simulation of chemical looping combustion. Powder Technol. 2014, 265, 47–53. [Google Scholar] [CrossRef]
- Ergun, S. Fluid flow through packed columns. Chem. Eng. Prog. 1952, 48, 89–94. [Google Scholar]
- Wakao, N.; Funazkri, T. Effect of fluid dispersion coefficients on particle-to-fluid mass transfer coefficients in packed beds. Correlation of sherwood numbers. Chem. Eng. Sci. 1978, 33, 1375–1384. [Google Scholar] [CrossRef]
- Nield, D.A.; Bejan, A. Convection in Porous Media, 5th ed.; Springer: Berlin/Heidelberg, Germany, 2017. [Google Scholar] [CrossRef]
- Abad, A.; Adánez, J.; Cuadrat, A.; García-Labiano, F.; Gayán, P.; de Diego, L.F. Kinetics of redox reactions of ilmenite for chemical-looping combustion. Chem. Eng. Sci. 2011, 66, 689–702. [Google Scholar] [CrossRef] [Green Version]
- Ortiz, M.; Gallucci, F.; Snijkers, F.; Van Noyen, J.; Louradour, E.; Tournigant, D.; van Sint Annaland, M. Development and testing of ilmenite granules for packed bed chemical-looping combustion. Chem. Eng. J. 2014, 245, 228–240. [Google Scholar] [CrossRef]


















| Case | H2 [mol%] | CO [mol%] | H2O [mol%] | CO2 [mol%] | N2 (Balance) [mol%] |
|---|---|---|---|---|---|
| 1 | 30 | - | 15 | - | 55 |
| 2 | - | 30 | - | 15 | 55 |
| 3 (syngas) | 18.2 | 50.2 | 2.2 | 17.4 | 12 |
| Parameter | Value |
|---|---|
| Reactor length [m] | 0.92 (0.05 inert, 0.82 ilmenite OC, 0.05 inert) |
| Reactor diameter [m] | 0.063 |
| Particle diameter [m] | 0.0055 |
| Ilmenite mass [kg] | 3.3 |
| Oxygen carrier [wt%] | 35 Fe2O3 on TiO2 |
| Solid bulk density [kg·m−3] | 1469 |
| Work pressure [bar] | 4 |
| Feed temperature [K] | 873.15 |
| Feed flow rate [NL·min−1] | 40 |
Publisher’s Note: MDPI stays neutral with regard to jurisdictional claims in published maps and institutional affiliations. |
© 2021 by the authors. Licensee MDPI, Basel, Switzerland. This article is an open access article distributed under the terms and conditions of the Creative Commons Attribution (CC BY) license (https://creativecommons.org/licenses/by/4.0/).
Share and Cite
Sandu, V.-C.; Cormos, A.-M.; Cormos, C.-C. Fuel Reactor CFD Multiscale Modelling in Syngas-Based Chemical Looping Combustion with Ilmenite. Energies 2021, 14, 6059. https://doi.org/10.3390/en14196059
Sandu V-C, Cormos A-M, Cormos C-C. Fuel Reactor CFD Multiscale Modelling in Syngas-Based Chemical Looping Combustion with Ilmenite. Energies. 2021; 14(19):6059. https://doi.org/10.3390/en14196059
Chicago/Turabian StyleSandu, Vlad-Cristian, Ana-Maria Cormos, and Calin-Cristian Cormos. 2021. "Fuel Reactor CFD Multiscale Modelling in Syngas-Based Chemical Looping Combustion with Ilmenite" Energies 14, no. 19: 6059. https://doi.org/10.3390/en14196059
APA StyleSandu, V.-C., Cormos, A.-M., & Cormos, C.-C. (2021). Fuel Reactor CFD Multiscale Modelling in Syngas-Based Chemical Looping Combustion with Ilmenite. Energies, 14(19), 6059. https://doi.org/10.3390/en14196059

