Ab-Initio Molecular Dynamics Simulation of the Electrolysis of Nucleobases
Abstract
:1. Introduction
2. Results and Discussion
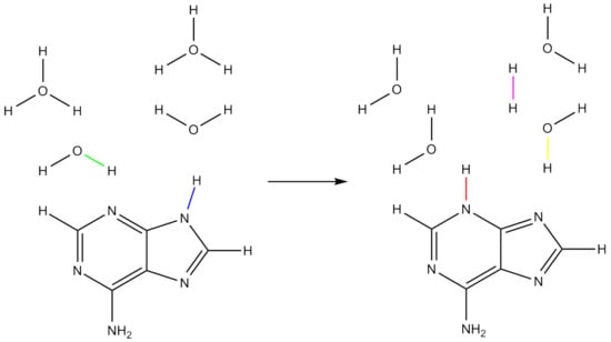
2.1. Adenine
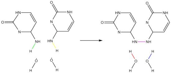
2.2. Cytosine
2.3. Guanine
2.4. Thymine
2.5. Energetics
3. Conclusions
4. Methods
Supplementary Materials
Author Contributions
Funding
Institutional Review Board Statement
Informed Consent Statement
Data Availability Statement
Acknowledgments
Conflicts of Interest
References
- Frank, I. Ab-initio molecular dynamics simulation of the electrolysis of waste water. ChemistrySelect 2019, 4, 4376. [Google Scholar] [CrossRef]
- Smith, D.L.; Elving, P.J. Electrochemical Reduction of Purine, Adenine and Related Compounds: Polarography and Macroscale Electrolysis. J. Am. Chem. Soc. 1962, 84, 1412. [Google Scholar] [CrossRef]
- Smith, D.L.; Elving, P.J. Electrochemical Reduction of Pyrimidine, Cytosine and Related Compounds: Polarography and Macroscale Electrolysis. J. Am. Chem. Soc. 1962, 84, 2741. [Google Scholar] [CrossRef]
- Spacek, J.; Fojta, M.; Wang, J. Electrochemical Reduction and Oxidation of Six Natural 2’-Deoxynucleosides at a Pyrolytic Graphite Electrode in the Presence or Absence of Ambient Oxygen. Electroanalysis 2019, 31, 2057. [Google Scholar] [CrossRef]
- Suprun, E.V. Direct electrochemistry of proteins and nucleic acids: The focus on 3D structure. Electrochem. Commun. 2021, 125, 106983. [Google Scholar]
- Hofbauer, F.; Frank, I. Electrolysis of Water in the Diffusion Layer: First-Principles Molecular Dynamics Simulation. Chem. Eur. J. 2012, 18, 277. [Google Scholar] [CrossRef]
- Kiakojouri, A.; Nadimi, E.; Frank, I. Ab-Initio Molecular Dynamics Simulation of Condensed-Phase Reactivity: The Electrolysis of Amino Acids and Peptides. Molecules 2020, 25, 5414. [Google Scholar]
- Blumberger, J.; Bernasconi, L.; Tavernelli, I.; Vuilleumier, R.; Sprik, M. Electronic structure and solvation of copper and silver ions: A theoretical picture of a model aqueous redox reaction. J. Am. Chem. Soc. 2004, 126, 3928. [Google Scholar] [CrossRef]
- Blumberger, J.; Tateyama, Y.; Sprik, M. Ab initio molecular dynamics simulation of redox reactions in solution. Comput. Phys. Commun. 2005, 169, 256. [Google Scholar] [CrossRef]
- Zhang, C.; Sayer, T.; Hutter, J.; Sprik, M. Modeling electrochemical systems with finite field molecular dynamics. J. Phys. Energy 2020, 2, 032005. [Google Scholar]
- Frank, I.; Hutter, J.; Marx, D.; Parrinello, M. Molecular dynamics in low-spin excited states. J. Chem. Phys. 1998, 108, 4060. [Google Scholar] [CrossRef]
- Car, R.; Parrinello, M. Unified Approach for Molecular Dynamics and Density-Functional Theory. Phys. Rev. Lett. 1985, 55, 2471–2474. [Google Scholar] [CrossRef] [PubMed] [Green Version]
- Hutter, J. CPMD; Copyright IBM Corp 1990–2015, Copyright MPI für Festkörperforschung Stuttgart 1997–2001. Version 4.1; Available online: http://www.cpmd.org/ (accessed on 24 June 2021).
- Becke, A. Density-Functional Exchange-Energy Approximation with Correct Asymptotic Behavior. Phys. Rev. A 1988, 38, 3098–3100. [Google Scholar] [CrossRef] [PubMed]
- Becke, A. A New Mixing of Hartree-Fock and Local-Density Functional Theories. J. Chem. Phys. 1993, 98, 1372–1377. [Google Scholar] [CrossRef]
- Grimme, S. Semiempirical hybrid density functional with perturbative second-order correlation. J. Chem. Phys. 2006, 124, 034108. [Google Scholar] [CrossRef] [PubMed] [Green Version]
- Neese, F.; Schwabe, T.; Grimme, S. Analytic derivatives for perturbatively corrected ”double hybrid” density functionals: Theory, implementation, and applications. J. Chem. Phys. 2007, 126, 124115. [Google Scholar] [CrossRef]
- Levine, I.N. Quantum Chemistry, 5th ed.; Prentice Hall: Upper Saddle River, NJ, USA, 2000. [Google Scholar]
- Li, J.; Gershow, M.; Stein, D.; Brandin, E.; Golovchenko, J.A. DNA molecules and configurations in a solid-state nanopore microscope. Nat. Mater. 2003, 2, 611. [Google Scholar] [CrossRef]
- Schneider, G.F.; Kowalczyk, S.W.; Calado, V.E.; Pandraud, G.; Zandbergen, H.W.; Vandersypen, L.M.K.; Dekker, C. DNA Translocation through Graphene Nanopores. Nano Lett. 2010, 10, 3163. [Google Scholar] [CrossRef] [Green Version]
- Marx, D.; Hutter, J. Ab Initio Molecular Dynamics: Basic Theory and Advanced Methods; Cambridge University Press: Cambridge, UK, 2009. [Google Scholar]
- Grimme, S. Accurate Description of van der Waals Complexes by Density Functional Theory Including Empirical Corrections. J. Comput. Chem. 2004, 25, 1463. [Google Scholar] [CrossRef]
- Troullier, N.; Martins, J.L. Efficient Pseudopotentials for Plane-Wave Calculations. Phys. Rev. B 1991, 43, 1993. [Google Scholar] [CrossRef]
- Boero, M.; Parrinello, M.; Terakura, K.; Weiss, H. Car-Parrinello study of Ziegler-Natta heterogeneous catalysis: Stability and destabilization problems of the active site models. Mol. Phys. 2002, 100, 2935–2940. [Google Scholar] [CrossRef]
- Gunnarsson, O.; Lundqvist, B.I. Exchange and correlation in atoms, molecules, and solids by the spin-density-functional formalism. Phys. Rev. B 1976, 13, 4274. [Google Scholar] [CrossRef]
- Frisch, M.J.; Trucks, G.W.; Schlegel, H.B.; Scuseria, G.E.; Robb, M.A.; Cheeseman, J.R.; Scalmani, G.; Barone, V.; Petersson, G.A.; Nakatsuji, H.; et al. Gaussian∼16 Revision A.03; Gaussian Inc.: Wallingford, UK, 2016. [Google Scholar]
- Grimme, S. Semiempirical GGA-type density functional constructed with a long-range dispersion correction. J. Comput. Chem. 2006, 27, 1787–1799. [Google Scholar] [CrossRef]












| Reaction | HF | MP2 | CCSD | BLYP | B3LYP | B2PLYP |
|---|---|---|---|---|---|---|
| 1 + 2 OH → 1d + 2 OH | 11.2 | 8.4 | 9.7 | 7.4 | 8.4 | 8.5 |
| 2 + 2 OH → 2f + 2 HO | −38.7 | −101.0 | - | −91.6 | −88.4 | −91.1 |
| 3 + 2 OH → 3e + 2 HO | −17.0 | −68.4 | - | −67.3 | −58.8 | −61.2 |
| 4 + 2 OH → 4f + HO | −64.9 | −105.2 | - | −113.5 | −110.7 | −111.7 |
Publisher’s Note: MDPI stays neutral with regard to jurisdictional claims in published maps and institutional affiliations. |
© 2021 by the authors. Licensee MDPI, Basel, Switzerland. This article is an open access article distributed under the terms and conditions of the Creative Commons Attribution (CC BY) license (https://creativecommons.org/licenses/by/4.0/).
Share and Cite
Frank, I.; Nadimi, E. Ab-Initio Molecular Dynamics Simulation of the Electrolysis of Nucleobases. Energies 2021, 14, 5021. https://doi.org/10.3390/en14165021
Frank I, Nadimi E. Ab-Initio Molecular Dynamics Simulation of the Electrolysis of Nucleobases. Energies. 2021; 14(16):5021. https://doi.org/10.3390/en14165021
Chicago/Turabian StyleFrank, Irmgard, and Ebrahim Nadimi. 2021. "Ab-Initio Molecular Dynamics Simulation of the Electrolysis of Nucleobases" Energies 14, no. 16: 5021. https://doi.org/10.3390/en14165021
APA StyleFrank, I., & Nadimi, E. (2021). Ab-Initio Molecular Dynamics Simulation of the Electrolysis of Nucleobases. Energies, 14(16), 5021. https://doi.org/10.3390/en14165021

