Next Article in Journal
Biofuels for Maritime Transportation: A Spatial, Techno-Economic, and Logistic Analysis in Brazil, Europe, South Africa, and the USA
Next Article in Special Issue
Economic Analysis of Hydrogen Household Energy Systems Including Incentives on Energy Communities and Externalities: A Case Study in Italy
Previous Article in Journal
Development and Application of a Big Data Analysis-Based Procedure to Identify Concerns about Renewable Energy
Previous Article in Special Issue
Investigating the Effects of Ultrasonic Frequency and Membrane Technology on Biodiesel Production from Chicken Waste
 
 
Font Type:
Arial Georgia Verdana
Font Size:
Aa Aa Aa
Line Spacing:
Column Width:
Background:
Review

Comprehensive Review on Fuel Cell Technology for Stationary Applications as Sustainable and Efficient Poly-Generation Energy Systems

by
Viviana Cigolotti
1,*,
Matteo Genovese
2 and
Petronilla Fragiacomo
2
1
Laboratory for Energy Storage, Batteries and Hydrogen Production and Utilization Technologies, Department of Energy Technologies and Renewable Sources, ENEA—Italian National Agency for New Technologies, Energy and Sustainable Economic Development, Research Centre of Portici, 80055 Naples, Italy
2
Department of Mechanical, Energy and Management Engineering, University of Calabria, Arcavacata di Rende, 87036 Cosenza, Italy
*
Author to whom correspondence should be addressed.
Energies 2021, 14(16), 4963; https://doi.org/10.3390/en14164963
Submission received: 6 July 2021 / Revised: 3 August 2021 / Accepted: 6 August 2021 / Published: 13 August 2021
(This article belongs to the Special Issue Environmental Aspects and Impacts of Hydrogen Technologies)

Abstract

:
Fuel cell technologies have several applications in stationary power production, such as units for primary power generation, grid stabilization, systems adopted to generate backup power, and combined-heat-and-power configurations (CHP). The main sectors where stationary fuel cells have been employed are (a) micro-CHP, (b) large stationary applications, (c) UPS, and IPS. The fuel cell size for stationary applications is strongly related to the power needed from the load. Since this sector ranges from simple backup systems to large facilities, the stationary fuel cell market includes few kWs and less (micro-generation) to larger sizes of MWs. The design parameters for the stationary fuel cell system differ for fuel cell technology (PEM, AFC, PAFC, MCFC, and SOFC), as well as the fuel type and supply. This paper aims to present a comprehensive review of two main trends of research on fuel-cell-based poly-generation systems: tracking the market trends and performance analysis. In deeper detail, the present review will list a potential breakdown of the current costs of PEM/SOFC production for building applications over a range of production scales and at representative specifications, as well as broken down by component/material. Inherent to the technical performance, a concise estimation of FC system durability, efficiency, production, maintenance, and capital cost will be presented.

1. Introduction

Climate emergency and the unhealthfulness caused by air pollution are serious challenges being addressed by governments, industry, and the whole scientific community. Actions aiming to improve energy efficiency are surely key drivers for achieving climate mitigation goals and sustainable development targets [1]. Among the United Nations Sustainable Development Goals (SDGs), energy and climate actions are treated as key targets [2]. It is, therefore, necessary to change the energy model followed so far, to find an alternative and less aggressive environmental impact way for energy generation and reduce energy waste by using available resources more efficiently.
Among the several options that the scientific community is recognizing as key elements to address climate changes [3] and fossil fuel dependence [4], fuel cell (FC) technologies are worldwide recognized as the best options to decarbonize the stationary power production sectors [5], including primary power generation units, backup power systems, and combined-heat-and-power configurations (CHP) [6].
Fuel cell technologies are capable of providing very high efficiency, minimum pollution, and high reliability [7,8]. The technology is applied in industries ranging from a distributed generation for power companies [9,10,11], to residential and industrial co-generation [12], portable generation [13], and vehicles [14]. The fuel cells are receiving considerable attention as they constitute, thanks to their ability to optimally use hydrogen [15], the key technology for the development of this energy carrier [16,17]. The design parameters for the stationary fuel cell system differ for fuel cell technology (PEM, AFC, PAFC, MCFC, and SOFC), as well as the fuel choice and supply [18].
The main sectors where stationary fuel cells have been employed are (a) micro-CHP, (b) large stationary applications, (c) uninterruptible power supply (UPS), and integrated power supply (IPS). The fuel cell size for stationary applications is strongly related to the power needed from the load. Since this sector ranges from simple backup systems to large facilities, the stationary fuel cell market includes few kWs and even fewer (micro-generation) and larger sizes of MWs.
Several aspects of fuel cell technology are widely investigated in the literature, in terms of system integration with hybrid systems, improved materials, or actions to foster the performance of such units. However, given the important pace of installations and the existence of an early market for this technology, it is indeed important to track and investigate the performance of such systems, providing and reporting some interesting data on the state of the art of the performance, as well as on some forecasts in the upcoming years.
As a novelty, to address this research gap, the present paper aims to provide a comprehensive review of fuel cell technology, analyzing the technical performance of stationary fuel cells, both for micro-CHP and for large applications, as well as the financial state of the art and the 2030 forecast.
A specific focus is given to the investigation of country-level data on current sales and stock of stationary fuel cells, both for micro-CHP and for large applications, as well as their performance, focusing on literature and state-of-the-art investigation on the actual know-how inherent in the development of new systems based on fuel cell technology and the use of small and medium-sized plants with low environmental impact for the production of electricity and heat.

2. The Key Role of Fuel Cell Technology

Hydrogen, intended as an energy carrier, can provide and release energy via different methods and through several systems:
  • Hydrogen injection and burned via direct combustion;
  • Hydrogen oxidation via catalytic combustion, with no-flame production;
  • Production of water as steam, when pure hydrogen is combined with oxygen at high temperature;
  • Hydrogen as reactant gas in a fuel cell operation.
In terms of flexibility of applications, potentials, and integration with several energy systems, hydrogen adopted as reactant and reductant gas in fuel-cell-based energy systems is generally the most efficient and cleanest technology for releasing energy from hydrogen [19]. In a fuel cell, gaseous hydrogen and gaseous oxygen are combined in a catalyzed electrochemical reaction, producing electricity, water, and heat. This process can achieve higher efficiencies, both electrical and thermal, than those of internal combustion engines while being pollution-free [20].
In more detail, a fuel cell is an electrochemical device that uses hydrogen as chemical input and reductant, reacting with an oxidant to produce electrons, protons, heat, and water [21]. Fuel cell operation is based upon the redox reaction, shown in Equation (1), where both reduction (at the cathode) and oxidation (at the anode) takes place, producing an ideal electromagnetic force, in standard condition, of 1.229 V [22].
2 H 2 +   O 2 2 H 2 O
The system provides then electricity via an electrical circuit with a DC load. Problems arise when fuel cells are manufactured. More in detail, the electrochemical reaction needs a consistent area of contact, while normally fuel cells have a very small area of contact between the electrolyte, the sites of the electrode, and the flows of reactant gases [23,24]. Moreover, the geometric distances between the electrodes introduce resistances in the fuel cell operation, reducing the production of electricity. Therefore, to address these problems, fuel cells have been manufactured with improved design and new approaches to tackle these issues [25,26,27]. Among the common solutions, there is the adoption of porous electrodes and a thin electrolyte, to reduce the electrical resistances [28]. The porous structure allows interaction among gas, ions, and electrolyte molecules to occur more effectively, improving the electrochemistry of the cell [29]. In this way, the contact area is maximized, guaranteeing better performance, efficiency, and current production [30].
By considering a hydrogen/oxygen fuel cell operation, hydrogen flows and reacts at the anode (negative electrode), while oxygen flows and reacts at the cathode (positive electrode). Through an electrochemical reaction, hydrogen is split into an electron and a proton [31], producing electricity for a given load, and generating the harmless byproduct of water.
Currently, there is a lot of active research aiming to address and face several challenges that are preventing the final commercial rollout of such technologies. Some of these challenges are mainly related to the high initial manufacturing cost [21,32], the lack of a reliable infrastructure to deliver fuels to the cells (fuel supply infrastructure), and the as-yet immature perception and lack of familiarity in industrial settings [33]. A more enhanced industrial engagement will occur over time as fuel cell technology becomes more commonplace as a form of energy generation. In fact, fuel-cell-based systems are emerging technologies [34,35]; thus, R&D actions in collaboration with industrial realities are key steps to support the expected commercial rollout [36,37].
Additionally, there is the need to have several policy changes that can account for this technology, i.e., standardization [38,39], safety codes and analysis [40,41,42], and regulations and best practices for hydrogen production [43], distribution [44,45], and dispensing [46,47].
As mentioned above, the major disadvantage of the fuel cell is that the technology currently presents a more expensive capital expenditure than other forms of power conversion [48,49]. Once this barrier is overcome [50,51], thanks to the economy of scale and the adoption of cost-reduction actions, it is worldwide recognized that fuel cells will eventually become a dominant and efficient solution for energy conversion. Indeed, these technologies have an efficient operation, almost zero acoustic emissions and, if powered with green hydrogen, and zero polluting emissions [20]. Sound pollution is extremely important in on-site applications [52] and mobility [53,54]. By considering the current state of the art, fuel cells operate with an electric efficiency of about 40–50% and overall efficiency in cogeneration assets (production of combined heat and power) of more than 80% [55,56]. Their performance is indeed higher if compared to CHP internal combustion engines. Fuel cells have no moving parts, such as pistons, and for specific fuel cell types, most of the components are entirely made of solids, which simplifies the manufacturing process. Depending on the fuel cell type and the supplied fuel, the emissions can vary, but falling below the existing standards of emissions. Generally, a fuel cell system emits “<1 ppm of NOx, 4 ppm of CO, and <1 ppm of reactive organic gases” [57]. All of these features make fuel cell technology an attractive and efficient solution in different energy sectors [58].
There are several types of fuel cells, according to the technology adopted and on the operating parameters, as shown in Figure 1, and the final application depends on the fuel cell chosen type and configuration [59].
Given the fuel cell feature to be modular and assembled in stacks, such technologies can provide power in a wide range, between 1 Watt and several MWs, as shown in Figure 2. If low-power applications are considered, fuel cells can conceptually be adopted in phones, personal computers, or personal electronic equipment [60,61]. For high target power, between 1 kW and 100 kW, fuel cells find application in mobility as the main component of the vehicle power train [62,63], or as an auxiliary power unit [64]. For power generation of about 1 MW–10 MW, fuel cells can be adopted as distributed power generators (grid quality-AC) [65].
One of the main end-user fuel cell installations and applications will be in residential buildings for combined-heat-and-power production [66], and also in automotive and sustainable mobility, above all in heavy-duty and public transportation [67]. Thanks to their performance, modularity, and flexibility, they have a higher power-to-area ratio than batteries, and the unit can, therefore, be smaller while generating the required target power, allowing a more compact installation.

3. World Situation

According to market experts, such as 6Wresearch [68], the global market of stationary fuel cells is going to achieve high levels of growth in the coming years (2025).
In 2018, the world fuel cell market was characterized by a marked growth in Fuel Cell Shipments [69]: the overall shipment units increased to 57,500, with a total power of 240 MW. Compared to the situation in 2017, the market registered a 5% increase in shipments and an 8% increase in installed power. A better picture is noticeable if the 2018 market is compared to the 2012 situation: fuel cell shipments in 2012 were 125 MW, which means in 2018 the market has lived an increase of 92% than 2012 [70].
The value of the market has been estimated to be USD 1.8 billion in 2018, and a current study reported that such a market is projected to increase to USD 2.2 billion at the end of 2019 [70,71].
According to “Research and Market, 2019” [72,73], the stationary fuel cell market will grow up to USD 5.08 billion by 2030, with a CAGR increase of 3.9%. The total installed capacity is forecasted to grow from 220 to 612 MW, and the market will be led by the US in North America and Japan (and China soon) in Asia.
As reported in the “Solid Oxide Fuel Cell-Global Market Outlook (2017–2026)” [74], SOFC technology had an important market share in 2017, accounting for USD 389.21 million, and it is forecasted to increase up to USD 1356.51 million by 2026, with a CAGR of 14.9%. In North America, this expected to grow with a CARG of more than 13% by 2023, in Europe and Asia-Pacific of 15%, 13% in South America, and MEA [75]. With a lower market share, but with an important trend, Direct Methanol Fuel Cells has been valued at USD 137 million in 2018, expecting to grow up to USD 367 million by 2025 [76,77].
Supportive government policies, the economy of scale, and technology improvements are the main drivers of this important growth.
Several prototypes, experimental projects, and proof-of-concept studies are being executed and validated, allowing a deeper understanding of the technology’s performance to be obtained in real operating conditions. The fuel cell equipment adopted and installed up to 2018 is reported to have a rated power mostly following within the range of 0.5 kW–400 kW [78,79].
Within these projects, related to fuel cell systems applied to stationary applications, different configurations and end-user applications have been tested, namely as “back-up power supplies, power generation for remote locations, stand-alone power stations for one or more consumers, distributed generation for buildings and cogeneration” [80].
Depending on the fuel cell type, fuel cell companies are consolidated in different countries, and depending on the size of applications, if large-scale fuel cell stationary installations or micro-CHP fuel-cell-based installations, the predominant market, in terms of fuel cell adoption, can differ. Most of the big players are located in Europe, Japan, and the USA. For large-scale stationary applications, three main technologies (MCFC, SOFC, PAFC) are manufactured and mostly adopted within the US, with a specific reference to bigger sizes for large-scale fuel cell stationary installations. Japan and Europe have lower installations of large-scale fuel cell stationary installations, which are commonly based on PAFC and MCFC technology, while in South Korea, PAFC and MCFC are the most installed technologies.
For the residential micro-CHP applications, Europe and Japan are leading the market, thanks to ad hoc-aimed subsidies and programs, as shown in Table 1, and several manufactures involved in the market, as shown in Table 2.
Europe has installed more than 4100 fuel cell units for combined heat and power applications [90], thanks to three main projects and actions [91]: Callux, PACE, and ene.field. The three programs have been key actions for the technology rolling out. Only in the ene.field program, 603 PEMFC micro-CHP units have been installed, and there have been 403 installations of SOFC. In Germany, an incentive program [92,93], namely KfW, is supporting the micro-CHP early market, at different levels: 5700EUR as a fixed amount for a new fuel cell, and other additional amount and flat-rate supplement. For every 100 watts of electrical power started, another EUR 450 are added, up to EUR 6750. When used in CHP mode, a subsidy is paid for each kilowatt-hour of electricity produced: EUR 0.04 per kilowatt-hour for electricity that is consumed and EUR 0.08 for electricity that is fed into the grid [94]. The program aims to provide funding for the installations of about 60,000 CHP units by 2022 [95]. The current cost of fuel cells in Europe for micro combined heat and power production is about EUR 10,000/kW [96], with more than 2000 micro-CHP fuel-cell-based adopted on the field, and another 2800 planned by 2021 [97]. The largest stationary fuel cell power plant currently operating in Europe is 1.4 MW.
Japan is the main leader in fuel-cell-based micro combined heat and power unit installations, with the ENEFARM program. They have been able to decrease the price per sale to USD 7000/unit for PEM, and USD 8800/unit for SOFC [69]. The overall installations can be counted for 360,000 units in 2020 [98]; almost 62% of them are PEMFCs and 38% are SOFCs. The program supported also subsides 50% of the cost—USD 730/unit for SOFC. However, there are no more subsidies for PEMFC, since the commercial price is now competitive without additional financial support.
Asia has been the more active area for installing fuel cell units, above all for commercial micro-CHP applications. This is particularly applicable to Japan in the last five years, which has seen an increase of almost 30% in 2018 (55,500 installed units) compared to 2014.
Most of the USA market is based on SOFC (300 MW installed), with subsidies between 600 and 1200 EUR/kW (NG or Biogas), and a price per sale of 10,000 USD/kW. PEMFC large installations in the USA are still not common (10 MW) compared to other technologies. Europe counts 1.8 MWs of SOFC systems and 1.5 MWs of PEMFC, with EUR 34 million available under the Horizon 2020 program for stationary fuel cells. Korea has 1.5 MWs of the PEMFC systems installed, which may be because the Hyundai NEXO Stack is also used in stationary applications. Subsidies for demonstration projects are helping these innovative technologies to spread. Japan has 2.5 MW of PEMFC installed, and research and development are considered key actions since USD 300–400 million are available for R&D on Stationary FC. For other fuel cell technologies, MCFC tech is the main tech applied to large stationary applications, as shown in Table 3, whose data were retrieved from [99].
Table 4 shows the main big players in the fuel cell industry around the world, grouped for main geographical areas: Canada, Europe, Japan, Korea, and USA. The remaining worldwide areas are grouped in the category Rest of the World (RoW).
Emerging countries, such as China, are planning important investments in fuel cell deployment [100,101]. China is supporting the rollout of a large number of fuel cell-powered vehicles as well as hydrogen refueling stations [102,103], providing funding for an equivalent amount of 5 USD billion [104]. CHP units have been recently recognized by the Chinese “Ministry of Science and Technology (MOST)” [105] as a hydrogen end-user application that can foster the transition towards the hydrogen economy, also accelerating the market penetration of hydrogen fuel cell vehicles. Moreover, fuel cell technologies adopted in stationary applications will support the Chinese industrial sector decarbonization [106,107]. Thanks to the positive role that will be played by fuel-cell-based systems in China, the Chinese market has become very attractive; both international and national companies (see examples listed in Table 5) have started to set the pace for fuel cell pilot projects and fuel cell deployment.

4. Fuel Cell Installations

Figure 3 summarizes the shipments per fuel cell type [110]. While PEMFC seems to have a steady decreasing trend until 2018, in 2019 and 2020, PEMFC installations increased, thanks also to a new demand required by the mobility sector. The market is showing how big efforts are ongoing to strengthen the market for SOFC, since their performance is better and they possess high modularity and flexibility, leading to a wide range of applications. DMFCs are used for mobile and stationary applications, while AFC and MCFC had very few installations. However, their resulting size was bigger (MWs), as highlighted in Figure 4. MCFC had a high level of research interest until 2014 [111,112,113,114], but the trend is now decreasing. MCFC installations in 2018 [69] were slightly more than 25 MWs, while in 2020, they decreased down to 8.8 MWs. Even if PEMFC installations decreased until 2018, their size installation presents an increasing trend, a signal of their technology maturity. AFC installations are infrequent, while Korea has the leadership on PAFC installations. The PEM fuel cell is indeed used in several applications (both stationary and mobile applications), and it contributes to the highest number of installations. SOFCs (more shipments at lower size) and PAFCs (low shipments at higher size) had a slow implementation in 2014, but their trend is increasing.

5. Niche Applications

Other niche applications based on fuel cell technologies are BUP and UPS, as well as hydrogen boilers using catalytic burners/hydrogen gas turbines. For the latter, few references and available performances have been found, since the market is probably still too small.
Hydrogen Europe [96,115] has drafted a roadmap for new hydrogen technologies and R&D actions, since they could reveal themselves as the best options when CHP installations are not economically viable. For UPS, in the IEA Hydrogen and Fuel Cells roadmap [78], small uninterruptible power systems for backup power are considered key factors for autonomous power systems for either stationary or portable off-grid applications, but few commercial applications have been found. Larger uninterruptible power supplies have been installed, as described in the report [79], up to around 5 MW for uninterruptible power, in California, reflecting the importance of such installations for data centers, banks, hospitals, and similar organizations. It is estimated that 3000 of these systems have been deployed up to 2019 [116].
The mobile telecommunication industry is an example of a sector that needs backup and off-grid power, with an estimated 7 million stations worldwide, increasing every year by 100,000. For these applications, fuel cells can offer more reliable and stable operations, given their resilience to harsh environmental conditions rather than batteries, without the need to add extreme cooling equipment and withstand severe environmental conditions without affecting their performance.
Recent research trends pursue the possibility of blending green hydrogen up to a volume of 20% into natural gas pipelines. Current levels are about 5%, assuring between 32 and 58 kg of avoided carbon dioxide emissions per year and per household. In other cases, some countries are allowing, under certain circumstances, injections of up to 9–10% in volume [117]. In view of the 100% hydrogen scenario, pure hydrogen fuel-cell-based CHPs can become a competitive and viable from a financial point of view, most likely by 2030 when hydrogen cost is forecasted to drop to 1.9 USD/kg [117], with a system-specific cost of 2700 USD per household. Another option for hydrogen feeding and application is for hydrogen-fired combined-cycle gas turbines, already tested in Italy and Japan, providing electricity and heat [79].

6. Breakdown of the Current Costs

The main sectors where stationary fuel cells have been employed are micro-CHP and large stationary applications. With particular attention to the building sector, fuel cells were suitable for micro-cogeneration: these energy systems inherently produced both electricity and heat from only one source of fuel, which could be innovative and more efficient, even if more expensive, such as hydrogen, but these systems can also operate by adopting traditional fuels, such as biogas, methane and natural gas, after being properly reformed.
The design parameters for the stationary fuel cell system differ for fuel cell technology (PEM, AFC, PAFC, MCFC, SOFC), as well as the fuel choice and supply.
For building applications and micro-cogeneration, PEMFC systems are the most common fuel cell type used and installed, being more mature than other technologies, and guaranteeing high efficiency, covering the peak energy demand during the day, and also covering the energy needs at night. PEM fuel cell operation can benefit from its low-temperature requirement, a solid membrane electrolyte installation, which strongly reduces maintenance cost, degradation phenomena, and corrosion, and a quick start-up. On the other hand, low temperatures lead to the adoption of expensive catalysts, since the system is, thus, very sensitive to the presence of carbon impurities, mostly common when these systems run with reformed fuels.
As a rising technology, SOFC systems are gaining more credit [118]. A SOFC fuel cell can operate at higher temperatures, reducing the catalyst’s strict requirements, allowing a greater carbon monoxide level to be tolerated, thus simplifying the system in terms of the needed purification system at the reformer level [119]. This fuel flexibility can surely represent a key driver to support the transition towards the hydrogen economy, also allowing greater levels of efficiency to be achieved. The operation of SOFC fuel cells in a reversible mode (SOE) has also been investigated [120,121], and is capable of producing hydrogen when required. On the other hand, fuel cell operation with very high temperatures requires a longer start-up time, and a limited number of shut-down procedures; more severe conditions are caused by the thermal stress on the stack components, which consequently can lead to corrosion and breakdown of components in the stack itself.
It is indeed noticeable how these systems present potential solutions for cogeneration applications for buildings and districts. Currently, the units which have been installed in buildings provided for the energy needs of a small district system, composed of collective houses or apartments. In order to decrease the cost and to produce systems with lower power capacities, governments and states promoted financial programs to sustain the transition of these technologies, from research and development, towards early market adoption. Japan and Europe are taking the lead to provide and support applications for FC-based micro-cogeneration units. Japan is the leader in CHP installations with the ENEFARM program, which is responsible for the installation of more than 314,000 units. They have been able to decrease the price per sale to USD 7000/unit for PEM, and USD 8800/unit for SOFC [69,122]. In Europe, just within the ene.field program, 603 PEMFC micro-CHP units have been installed, and 403 SOFC.
Within these European Projects, Nielson et al. [123] investigated the reliability, performance, and availability for 67 units, employing failure analysis, reporting interesting results, as shown in Figure 5, whose data was retrieved from [90,91,123].
The analysis showed how “45% experienced no failures in the first year of operation and availability of 100%”, followed by 19% with one failure, with an availability of 98.2%, and finally 24% with two failures (98.3% of availability), and 13% with more than three failures”. However, 86.9% were available for the overall operation. The authors have marked how “90% of the micro-CHP systems were available for at least 95% of the time”, claiming that most numbers of the occurred failures registered short periods of downtime. Hence, great performance has been achieved, under the circumstance that the project has involved the installations of such systems from 10 different companies, which have provided components and products with different levels of readiness and maturity.
It is noticeable how most of the failures did not occur at the stack level, whose downtime occurs for the 1% for PEMFC, and 2% for SOFC, as shown in Figure 5. The balance of the plant presented the most sensitive operation, accounting for 64% of the total failures for the PEMFC installations, and 55% for SOFC. The reformer systems have also accounted for important rates.
The Battelle Memorial Institute, with the funding and support of the United States Department of Energy (DOE) and Fuel Cell Technology-Based Office, prepared a comprehensive report [124] evaluating a breakdown analysis of the costs at a component level for four different sizes of combined heat and power systems (PEMFC and SOFCS), from 1 kW to 25 kW, to define the potential and hypothetical market for these technologies, in the absence of a commercially developed market analysis. The analysis received the support of important companies and research centers, such as Ballard, Hydrogenics, Watt Fuel Cell, Panasonic, and the National Renewable Energy Laboratory. Both technologies have been analyzed by considering a natural gas adoption operation instead of a direct hydrogen feeding.
To take into account the transition towards large-scale production, the analysis has included the cost variations by considering from production volumes of 100 units per year up to 50,000 units per year.
Figure 6 shows a re-arrangement of the above-mentioned analysis [124], for the PEM stack, summarizing the breakdown only for 1000 units produced per year and 50,000 units produced per year. Large-scale production will surely benefit the specific cost reduction: for 1 kW size, the total stack cost can be reduced by more than 50%, dropping from 1052.34 USD/kW to 460.09 USD/kW. The economy of scale effect is more visible for lower sizes; for 5 kW, the reduction was 27%. For every investigated scenario, the MEA presents the highest rate and share on the overall cost. The bipolar plate rates have almost an equal share coming from the anode and cathode sides (anode bipolar plates are slightly more expensive), while the anode/cooling gaskets contribute more than the cathode gasket to the overall gasket rate.
Similarly, the SOFC ceramic cell costs [124], shown in Figure 7, can be drastically reduced with a larger production scale, from 8482.51 USD/kW for the smallest investigated size of 1 kW, to 1183.04 USD/kW, when the annual production increases up to 50,000 units per year. For lower production rates, glass-ceramic sealing and laser weld account for the highest cost distribution rates, followed by the endplates and the ceramic cell itself. For higher production volumes, the highest contribution to the overall cost is given by the ceramic cells, while the other components and processes benefit more from the economy of scale.
As for the PACE/ene.field projects, the Battelle Memorial Institute has identified the balance of plant-related components as the main contributors to the final cost. If for a PEMFC system the stack cost ranges from 9.2 to 14.7% of the total system cost for an annual production volume of 1000 units, the components related to the balance of plant account for 64.5–71.8%. Among all, the fuel processing area is the most expensive component area, with a share between 27 and 32% of the BOP cost distribution, followed by the AC and DC power components. Fuel processing is, hence, composed of a reformer, steam generator, and several reactors, such as the water gas shift and PrOx reactors.
With a similar trend, SOFC BOP cost shares the highest rate (44.6–56.5%) for lower sizes, but for bigger installations, between 10 and 25 kW, the highest rate belongs to the CHP hardware components. Thanks to their higher temperatures and fuel flexibility, the fuel processing-related costs for the SOFC systems were significantly lower, benefiting from the natural process within the SOFC, the internal reforming, reducing the need for an external over-designed reformer. The presented results are in accordance with the more recent European Project deliverables for the micro-CHP system: “at large-scale production, micro-CHP units can become economically competitive. The analysis found that fuel cell micro-CHP could become competitive with competing heating technologies at 5000–10,000 units per manufacturer, in markets with attractive energy prices” [123].
It can be concluded that the balance of plant components, reformers, and stack were the key elements of potential failures and cost reduction.

7. System Durability and Performance

The fuel cell size for stationary applications is strongly related to the power needed from the load. Since this sector ranges from simple backup systems to large facilities, the stationary fuel cell market includes few kWs and less (micro-generation) to larger sizes of MWs.
PEMFC, above all in their high-temperature configuration up to 100 °C (HT-PEMFC) and SOFC systems, are mostly used for micro-cogeneration applications, mostly related to residential users, while SOFC, PAFC, and MCFC provide multi-energy services for large commercial and industrial applications.
Within a demonstration project in Europe [123], small PEMFC and SOFC systems have been installed and tested, and their performance is listed in Table 6.
It is interesting how the real-life data and the on-field operation have presented a marked difference for SOFC systems than the optimal conditions tested in the laboratory: the average thermal efficiency was 46% (with a standard deviation between 30 and 59%) rather than 53%, while the electrical efficiency 37% (with a standard deviation between 28 and 47%) instead of 42%. On the other hand, the on-field operation of the PEMFC installed systems perfectly matched the laboratory data: 57% as the average value for the thermal efficiency (with a standard deviation between 48 and 66%) and electrical efficiency of 37% (with a standard deviation between 28 and 39%) [90]. The values listed in Table 5 are averaged, and they most probably differ among each other since real operating units differ in real operating conditions, gas supply composition, and ambient and environmental conditions, which can be controlled in a laboratory but are exposed to unpredictable variations in real operating conditions.
A summary of the investigated references to analyze the system durability is shown in Table 7, while the system performance is presented in Table 8.
A 2015 study from the Fuel Cell and Hydrogen Joint Undertaking [131] outlined a potential analysis for several stationary fuel cell sizes and applications in Europe, in view of their commercialization. The main results are listed in Table 9.
According to the different applications, the fuel cell systems have been categorized in different sizes. A micro-CHP system, as already discussed, is mostly installed by adopting PEMFCs or SOFCs, fed by natural gas, biogas, or pure hydrogen. The installed capacity is usually 1 kWel by contemporary producing 1.45 kWth of thermal power. These applications can reach 88% (36% of electrical efficiency and 52% of thermal efficiency), growing with increasing development to 95% (42% electrical and 53% thermal), by being set both with a generic operating strategy and heat-driven operation. The capital cost reaches EUR 34,000 per installed kW capacity, and the stack replacement will account for operational cost up to 20% of the CAPEX cost, considering 10 years of life span with two replacements, improving to 15 years without replacement.
Similarly, mini-CHP (5 kWel and 4 kWth) and commercial CHP (50 kWel and 40 kWth) systems usually operate by adopting the SOFC system, with a CAPEX cost, respectively, of 18.4 and 16.5 kEUR/kW. Prime power applications, up to 1 MWel, operate in power-driven or load-following mode, achieving an electrical efficiency of up to 48% growing to 51% with increasing development over the years. The other two categories can be derived as follows: CHP for Natural Gas (up to 4 MWel and 1.1 MWth) and CHP Biogas for industrial applications (up to 400 kWel and 315 kWth).
These aforementioned data refer to 2015–2016. During the same period, in its Technology Roadmap Hydrogen and Fuel Cells [79], the International Energy Agency, provided similar data on fuel cell micro-CHP systems, considering commercial systems (up to 25 kW) with a cost slightly less than 10,000 USD/kW for the stack, and an electrical efficiency around 42%, and about 18,000–19,000 per kW for home systems. The reported lifetime ranged between 60,000 and 90,000 h.
In June 2018, in the addendum to the Multi-Annual Work Plan, for 2014–2020 [96], the Fuel Cell and Hydrogen Joint Undertaking provided more data on CHP applications with fuel cell technologies. According to their analysis on the state of the art for residential micro-CHP for single-family homes and small buildings (0.3–5 kW), the 2017 CAPEX was 13,000 EUR/kW, decreasing since 2012, whose value was 16,000 EUR/kW. Maintenance costs drastically decreased, from 40 to 20 EURCt/kWh, as well as the installation volume per unit, from 330 L/kW to 240 L/kW. Hydrogen Europe, in their draft of the Strategic Research & Innovation Agenda [97], re-elaborated those data and other forecasts up to 2030, for capital expenditure and maintenance costs, as shown in Figure 8 and Figure 9.
Micro-CHP systems, up to 5 kW, will decrease their investment cost, dropping to 3500 EUR /kW in 2030 and increasing the lifetime, in terms of years of operation, from 12 to 15, as well as the stack durability, from 40,000 h to 80,000 h. The availability of the plant is high in current situations, up to 97%, and it will increase to 98% in the future. The system’s reliability will be strengthened even more, from 30,000 h up to 100,000, also decreasing maintenance costs, which will drop to 2.5 EUR Ct/kWh in 2030. Electrical and thermal efficiency will be improved; several programs are aiming to the performance improvements in terms of efficiency; according to the prevision, electrical efficiencies will raise to 65%, with a specific reference to SOFC technology, and 39% for PEMFC, while the thermal efficiency will maintain the upper bound (55%) and increase the lower bound from 25 to 35%.
For PEM fuel cells, the focus is on disruptive solutions, through ‘game-changer’ MEA and stack. The balance of plant components, reformer, and stacks was the key element of potential failures; thus, research on them is a key enabler for cost reduction, followed by the improvement for higher power density and stack tightness [132,133,134].
The other technology for deeply decarbonizing the stationary sector is represented by the SOFC systems. Being more flexible in the fuel feeding than the PEM fuel cell, the main issues here occur within the system operation, start-up and shut-down operations, high-temperature corrosion, materials degradation, better temperature distribution, and homogeneity during the transition phases. Feeding with biogas or low-quality biomass could also enable faster market penetration and cost reduction at the operation level.
The possibility of reverse mode (SOFC/SOE) and co-electrolysis operation represent also incredible potential for a carbon-free energy sector, even if the TRL of these technologies is still too low, and applied research actions are recommended.
The DOE, in the United States, is also pushing forward the scaling-up process, with the Programme H2@Scale, and important achievements have been reached in the fuel cell sector [135]. More research activities can be found in one of the latest volumes of the Fuel Cells Bulletin Journal [136].
For medium-size CHP systems, between 5 and 20 kW, little progress was made between 2012 and 2017: the CAPEX cost dropped from 6000–10,000 to 4500–8500 EUR/kW. More improvements are expected; in 2030, the specific investment cost is expected to be within the range of 1500–4000 EUR/kW. The lifetime of these systems will surely increase, from a minimum of 6 years to 20 years, with a stack-durability more than doubled (from 30,000 h to 80,000 h). As for the micro-CHP systems, mid-size fuel cell systems’ reliability will be strengthened even more, up to 80,000 h, also decreasing the maintenance costs, which will drop to 1.2 EUR Ct/kWh in 2030. The tolerated hydrogen content in natural gas volume percentage is also expected to grow up to 100%, reducing the cost of the components involved in the balance of plant, such as the reformer. The land use and the footprint are expected to decrease in 2030, from 0.15–0.08 square meters per kW of installed capacity to 0.06.
Concerning the large-scale fuel cell systems, converting hydrogen and renewable methane into power in various applications (0.4–30 MW), data belonging to 2012 showed a capital expenditure cost of 3000–4000 EUR/kW, while it decreased to 3000–3500 EUR/kW in 2017. The current picture presents a value between 2000 and 3500 EUR/kW, and the economy of scale is expected to make the cost drop to 1200–1750 EUR/kW. Research and development actions are aiming to bring down the maintenance costs, too, from 5 to 2 EURCt/kWh, with reliability up to 75,000 h and a stack durability of 60,000 h. Since most of these systems are adopting high-temperature fuel cells, the current start-up phase and shut-down characteristics are close to 4 h for a ramp of 0–100%. An improvement is also expected in this aspect, with the aim being to achieve 100% start-up phase and shut-down characteristics in 1 min.
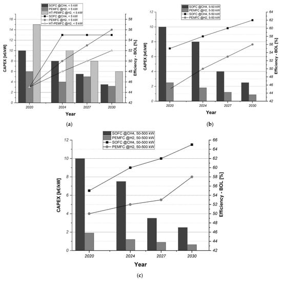
Recently, Hydrogen Europe released the Strategic Research and Innovation Agenda [96], also including fuel cell stationary applications. PEMFC and SOFC systems are identified as the most mature technologies that will find a prominent role in the future, with a drastic reduction in capital expenditure costs and an important increase in nominal efficiency. The retrieved trends are shown in Figure 10. Particularly, Figure 10a presents the CAPEX forecasts by considering the state of the art for PEMFCs powered by hydrogen, high-temperature (HT) PEMFCs powered by hydrogen, and SOFCs powered by methane (CH4), for sizes less than 5 kWel, and thus applicable for micro-CHP systems. Micro- and mini-SOFCs have a higher CAPEX than low-temperature fuel cell systems, but also present a higher efficiency value, up to 55% instead of 52% of the PEMFC expected nominal efficiency. The efficiency values are reported by considering the nominal operation at the beginning of life (BOL). HT-PEMFCs, considering the state of the art, present the highest capital investment per kWel, but in view of 2030, thanks to the related research actions aiming to improve the system efficiency, HT-PEMFCs are expected to have the highest electrical efficiency.
For higher sizes, Figure 10b,c show the CAPEX levels and the efficiency values for sizes between 5and 50 kWel, and 50 and 500 kWel, by conserving the state of the art, and the forecasts for 2024, 2027, and 2030. For these sizes, HT-PEMFCs are not considered, since they are mostly used only for mini- and micro-CHP systems. Besides, the forecasted performance of SOFC systems is very prominent and attractive, achieving very high values up to 62% for 5–50 kW and up to 65% for 50–500 kW of installed sizes. PEMFCs are also expected to have higher performance and lower capital expenditures.

8. Conclusions

The present paper analyzed the country-level data on current sales and stock of stationary fuel cells, both for micro-CHP and for large-scale applications.
The analysis highlighted how PEMFC and SOFC fuel cells share the most predominant rates in the market. For the micro-CHP market, Japan and Europe are leading the market and the R&D activities, thanks to ad hoc subsidies and programs. For larger stationary applications, the USA is leading the pictures, with a cumulated installed capacity of 500 MW. MCFCs present a high share in the American fuel cell markets among the operating multi-MWs fuel cell plants. PAFCs are most predominant in Korea since it is the home country of most of the PAFC manufacturers.
The paper has also analyzed the technical performance of stationary fuel cells, both for micro-CHP and for large applications, as well as the financial state of the art and the 2030 forecast. The analysis of the micro-CHP systems, adopting PEMFC and SOFC, has shown how the balance of plant presented the most sensitive operation, accounting for 64% of the total failures for the PEMFC installations, and 55% for SOFC.
Micro-CHP systems, up to 5 kW, will decrease their investment cost, dropping to 3500 EUR/kW in 2030 and increasing the lifetime, in terms of years of operation, from 12 to 15, as well as the stack durability, from 40,000 h to 80,000 h.
Bigger sizes have also been investigated. Mini-CHP (5 kWel and 4 kWth) and commercial CHP (50 kWel and 40 kWth) systems usually operate by adopting the SOFC system, with a CAPEX cost, respectively, of 18.4 and 16.5 kEUR/kW.
Prime power applications, up to 1 MWel, operate in power-driven or load-following mode, achieving an electrical efficiency of up to 48% growing to 51% with increasing development. The current picture presents a value between 2000 and 3500 EUR/kW, and the economy of scale is expected to make the cost drop to 1200–1750 EUR/kW.
Finally, some potential for cost reductions and durability improvements have been presented, showing how cost reduction can be achieved with the economy of scale, but research and prototyping are still needed for bigger sizes (MW) to guarantee robustness and manufacturability for the next-generation fuel cells, to build a valuable supply chain and to increase the technology maturity and readiness level.

Author Contributions

All the authors equally contribute to the research activity, numerical simulations, and manuscript preparation. All authors have read and agreed to the published version of the manuscript.

Funding

The research was supported by the grant PON RI 2014–2020 for Innovative Industrial PhD (CUP H25D18000120006 and Code DOT1305040), funded by the European Union and the Italian Ministry of Education, University and Research (MIUR).

Institutional Review Board Statement

Not applicable.

Informed Consent Statement

Not applicable.

Data Availability Statement

No new data were created or analyzed in this study. Data sharing is not applicable to this article.

Acknowledgments

This review has been prepared within the Technology Collaboration Programme on Advanced Fuel Cells (AFC TCP). The presented paper intends to give an overview of the status and perspectives of FC technology for stationary applications and was prepared using available sources. AFC TCP does not claim that the data provided are complete. AFC TCP functions within a framework created by the International Energy Agency (IEA). The review does not necessarily represent the views or policies of the IEA Secretariat or of its individual member countries.

Conflicts of Interest

The authors declare no conflict of interest. The funders had no role in the design of the study; in the collection, analyses, or interpretation of data; in the writing of the manuscript, or in the decision to publish the results.

Nomenclature

AFCAlkaline Fuel Cell
APUAuxiliary Power Unit
BOPBalance of Plant
BUPBack-Up Power
CAPEXCapital Expenditure
CH4Methane
CHPCombined Heat and Power
DMFCDirect Methanol Fuel Cell
DOEDepartment of Energy
H2Hydrogen
HT-PEMFCHigh Temperature Polymeric Membrane Fuel Cell
IEAInternational Energy Agency
IPSIntegrated Power Supply
MCFCMolten Carbonate Fuel Cell
MEAMembrane Electrode Assembly
MWMegaWatt
OPEXOperational Expenditure
PAFCPhosphoric Acid Fuel Cell
PEMPolymeric Membrane Fuel Cell
R&DResearch and Development
RoWRest of the World
SDGUnited Nations Sustainable Development Goal
SOFCSolid Oxide Fuel Cell
TSCTotal Stack Cost
UPSUninterruptible Power Supply
USAUnited States of America

References

  1. Kılkış, Ş.; Krajačić, G.; Duić, N.; Montorsi, L.; Wang, Q.; Rosen, M.A.; Ahmad Al-Nimr, M. Research frontiers in sustainable development of energy, water and environment systems in a time of climate crisis. Energy Convers. Manag. 2019, 199, 111938. [Google Scholar] [CrossRef]
  2. Santika, W.G.; Anisuzzaman, M.; Bahri, P.A.; Shafiullah, G.M.; Rupf, G.V.; Urmee, T. From goals to joules: A quantitative approach of interlinkages between energy and the sustainable development goals. Energy Res. Soc. Sci. 2019, 50, 201–214. [Google Scholar] [CrossRef]
  3. Maroufmashat, A.; Fowler, M. Transition of future energy system infrastructure; through power-to-gas pathways. Energies 2017, 10, 1089. [Google Scholar] [CrossRef] [Green Version]
  4. Kilkiş, B.; Kilkiş, Ş. Hydrogen economy model for nearly net-zero cities with exergy rationale and energy-water nexus. Energies 2018, 11, 1226. [Google Scholar] [CrossRef] [Green Version]
  5. Wołowicz, M.; Kolasiński, P.; Badyda, K. Modern small and microcogeneration systems—A review. Energies 2021, 14, 785. [Google Scholar] [CrossRef]
  6. Sharaf, O.Z.; Orhan, M.F. An overview of fuel cell technology: Fundamentals and applications. Renew. Sustain. Energy Rev. 2014, 32, 810–853. [Google Scholar] [CrossRef]
  7. Alaswad, A.; Omran, A.; Sodre, J.R.; Wilberforce, T.; Pignatelli, G.; Dassisti, M.; Baroutaji, A.; Olabi, A.G. Technical and commercial challenges of proton-exchange membrane (Pem) fuel cells. Energies 2021, 14, 144. [Google Scholar] [CrossRef]
  8. Shigeta, N.; Hosseini, S.E. Sustainable development of the automobile industry in the united states, europe, and japan with special focus on the vehicles’ power sources. Energies 2021, 14, 78. [Google Scholar] [CrossRef]
  9. Ahmed, K.; Farrok, O.; Rahman, M.M.; Ali, M.S.; Haque, M.M.; Azad, A.K. Proton exchange membrane hydrogen fuel cell as the grid connected power generator. Energies 2020, 13, 6679. [Google Scholar] [CrossRef]
  10. Kang, H.S.; Kim, M.H.; Shin, Y.H. Thermodynamic modeling and performance analysis of a combined power generation system based on HT-PEMFC and ORC. Energies 2020, 13, 6163. [Google Scholar] [CrossRef]
  11. Popel’, O.S.; Tarasenko, A.B.; Filippov, S.P. Fuel cell based power-generating installations: State of the art and future prospects. Therm. Eng. 2018, 65, 859–874. [Google Scholar] [CrossRef]
  12. Al-Bonsrulah, H.A.Z.; Alshukri, M.J.; Mikhaeel, L.M.; Al-Sawaf, N.N.; Nesrine, K.; Reddy, M.V.; Zaghib, K. Design and simulation studies of hybrid power systems based on photovoltaic, wind, electrolyzer, and pem fuel cells. Energies 2021, 14, 2643. [Google Scholar] [CrossRef]
  13. Chou, C.J.; Jiang, S.B.; Yeh, T.L.; Tsai, L.D.; Kang, K.Y.; Liu, C.J. A portable direct methanol fuel cell power station for long-term internet of things applications. Energies 2020, 13, 3547. [Google Scholar] [CrossRef]
  14. Un-Noor, F.; Padmanaban, S.; Mihet-Popa, L.; Mollah, M.N.; Hossain, E. A comprehensive study of key electric vehicle (EV) components, technologies, challenges, impacts, and future direction of development. Energies 2017, 10, 1217. [Google Scholar] [CrossRef] [Green Version]
  15. Valencia, G.; Benavides, A.; Cárdenas, Y. Economic and environmental multiobjective optimization of a wind-solar-fuel cell hybrid energy system in the Colombian Caribbean region. Energies 2019, 12, 2119. [Google Scholar] [CrossRef] [Green Version]
  16. Cerniauskas, S.; Grube, T.; Praktiknjo, A.; Stolten, D.; Robinius, M. Future hydrogen markets for transportation and industry: The impact of CO2 taxes. Energies 2019, 12, 4707. [Google Scholar] [CrossRef] [Green Version]
  17. Boait, P.J.; Greenough, R. Can fuel cell micro-CHP justify the hydrogen gas grid? Operating experience from a UK domestic retrofit. Energy Build. 2019, 194, 75–84. [Google Scholar] [CrossRef]
  18. Herrmann, A.; Mädlow, A.; Krause, H. Key performance indicators evaluation of a domestic hydrogen fuel cell CHP. Int. J. Hydrogen Energy 2019, 44, 19061–19066. [Google Scholar] [CrossRef]
  19. Ellamla, H.R.; Staffell, I.; Bujlo, P.; Pollet, B.G.; Pasupathi, S. Current status of fuel cell based combined heat and power systems for residential sector. J. Power Sources 2015, 293, 312–328. [Google Scholar] [CrossRef]
  20. Larminie, J.; Dicks, A. Fuel Cell Systems Explained, 2nd ed.; John Wiley: New York, NY, USA, 2013; ISBN 9781118878330. [Google Scholar]
  21. Wang, Y.; Ruiz Diaz, D.F.; Chen, K.S.; Wang, Z.; Adroher, X.C. Materials, technological status, and fundamentals of PEM fuel cells—A review. Mater. Today 2020, 32, 178–203. [Google Scholar] [CrossRef]
  22. Jayakumar, A. A comprehensive assessment on the durability of gas diffusion electrode materials in PEM fuel cell stack. Front. Energy 2019, 13, 325–338. [Google Scholar] [CrossRef]
  23. Dwivedi, S. Solid oxide fuel cell: Materials for anode, cathode and electrolyte. Int. J. Hydrogen Energy 2020, 45, 23988–24013. [Google Scholar] [CrossRef]
  24. Hussain, S.; Yangping, L. Review of solid oxide fuel cell materials: Cathode, anode, and electrolyte. Energy Transit. 2020, 4, 113–126. [Google Scholar] [CrossRef]
  25. Wang, G.; Huang, F.; Yu, Y.; Wen, S.; Tu, Z. Degradation behavior of a proton exchange membrane fuel cell stack under dynamic cycles between idling and rated condition. Int. J. Hydrogen Energy 2018, 43, 4471–4481. [Google Scholar] [CrossRef]
  26. Cecen, A.; Wargo, E.A.; Hanna, A.C.; Turner, D.M.; Kalidindi, S.R.; Kumbur, E.C. Microstructure analysis tools for quantification of key structural properties of fuel cell materials. ECS Trans. 2019, 41, 679–687. [Google Scholar] [CrossRef]
  27. Su, H.; Hu, Y.H. Recent advances in graphene-based materials for fuel cell applications. Energy Sci. Eng. 2020, 9, 958–983. [Google Scholar] [CrossRef]
  28. Taherian, R. A review of composite and metallic bipolar plates in proton exchange membrane fuel cell: Materials, fabrication, and material selection. J. Power Sources 2014, 265, 370–390. [Google Scholar] [CrossRef]
  29. Dhand, A. Advances in materials for fuel cell technologies—A Review. Int. J. Res. Appl. Sci. Eng. Technol. 2017, 5, 1672–1682. [Google Scholar] [CrossRef]
  30. Sarfraz, A.; Raza, A.H.; Mirzaeian, M.; Abbas, Q.; Raza, R. Electrode materials for fuel cells. In Reference Module in Materials Science and Materials Engineering; Elsevier: Amsterdam, The Netherlands, 2020; ISBN 9780128035818. [Google Scholar] [CrossRef]
  31. Jayakumar, A. An assessment on polymer electrolyte membrane fuel cell stack components. In Applied Physical Chemistry with Multidisciplinary Approaches, 1st ed.; Apple Academic Press: Boca Raton, FL, USA, 2018; ISBN 9781315169415. [Google Scholar] [CrossRef]
  32. Ferriday, T.B.; Middleton, P.H. Alkaline fuel cell technology—A review. Int. J. Hydrogen Energy 2021, 46, 18489–18510. [Google Scholar] [CrossRef]
  33. Patrick, J.W. Handbook of fuel cells. Fundamentals technology and applications. Fuel 2004, 83, 623. [Google Scholar] [CrossRef]
  34. Arshad, A.; Ali, H.M.; Habib, A.; Bashir, M.A.; Jabbal, M.; Yan, Y. Energy and exergy analysis of fuel cells: A review. Therm. Sci. Eng. Prog. 2019, 9, 308–321. [Google Scholar] [CrossRef]
  35. Wang, Y.; Seo, B.; Wang, B.; Zamel, N.; Jiao, K.; Adroher, X.C. Fundamentals, materials, and machine learning of polymer electrolyte membrane fuel cell technology. Energy AI 2020, 1, 100014. [Google Scholar] [CrossRef]
  36. Abdelkareem, M.A.; Elsaid, K.; Wilberforce, T.; Kamil, M.; Sayed, E.T.; Olabi, A. Environmental aspects of fuel cells: A review. Sci. Total Environ. 2021, 752, 141803. [Google Scholar] [CrossRef]
  37. Chen, Q.; Zhang, G.; Zhang, X.; Sun, C.; Jiao, K.; Wang, Y. Thermal management of polymer electrolyte membrane fuel cells: A review of cooling methods, material properties, and durability. Appl. Energy 2021, 286, 116496. [Google Scholar] [CrossRef]
  38. Fuster, B.; Houssin-Agbomson, D.; Jallais, S.; Vyazmina, E.; Dang-Nhu, G.; Bernard-Michel, G.; Kuznetsov, M.; Molkov, V.; Chernyavskiy, B.; Shentsov, V.; et al. Guidelines and recommendations for indoor use of fuel cells and hydrogen systems. Int. J. Hydrogen Energy 2017, 42, 7600–7607. [Google Scholar] [CrossRef] [Green Version]
  39. Van den Peter, B.; van Mierlo, J.; Jean-Marc, T.; Julien, M.; Gaston, M.; Frédéric, V. Evolutions in hydrogen and fuel cell standardization: The HarmonHy experience. World Electr. Veh. J. 2007, 1, 148–154. [Google Scholar] [CrossRef] [Green Version]
  40. Tolias, I.C.; Giannissi, S.G.; Venetsanos, A.G.; Keenan, J.; Shentsov, V.; Makarov, D.; Coldrick, S.; Kotchourko, A.; Ren, K.; Jedicke, O.; et al. Best practice guidelines in numerical simulations and CFD benchmarking for hydrogen safety applications. Int. J. Hydrogen Energy 2019, 44, 9050–9062. [Google Scholar] [CrossRef]
  41. Jallais, S.; Houssin, D.; Shentsov, E.V.; Molkov, V.; Makarov, D.; Melideo, D.; Palmisano, V.; Weidner, E.; Kinderen, D.; Venetzanos, A.; et al. Pre-Normative Research on Safe Indoor Use of Fuel Cells and Hydrogen Systems: Hyindoor Final Report. European Project “Hyindoor”, Final Report 2015. Available online: https://cordis.europa.eu/docs/results/278/278534/final1-final-report-hyindoor-vfinal-a.pdf (accessed on 10 August 2021).
  42. Haloua, F.; Bacquart, T.; Arrhenius, K.; Delobelle, B.; Ent, H. Metrology for hydrogen energy applications: A project to address normative requirements. Meas. Sci. Technol. 2018, 29, 034001. [Google Scholar] [CrossRef]
  43. Guandalini, G.; Campanari, S.; Valenti, G. Comparative assessment and safety issues in state-of-the-art hydrogen production technologies. Int. J. Hydrogen Energy 2016, 41, 18901–18920. [Google Scholar] [CrossRef]
  44. Reddi, K.; Elgowainy, A.; Rustagi, N.; Gupta, E. Impact of hydrogen refueling configurations and market parameters on the refueling cost of hydrogen. Int. J. Hydrog. Energy 2017, 42, 21855–21865. [Google Scholar] [CrossRef]
  45. Reddi, K.; Mintz, M.; Elgowainy, A.; Sutherland, E. Challenges and opportunities of hydrogen delivery via pipeline, tube-trailer, LIQUID tanker and methanation-natural gas grid. In Hydrogen Science and Engineering: Materials, Processes, Systems and Technology; Wiley-VCH Verlag GmbH & Co. KGaA: Weinheim, Germany, 2016; ISBN 9783527674268. [Google Scholar] [CrossRef]
  46. Genovese, M.; Blekhman, D.; Xie, C.; Dray, M.; Fragiacomo, P. Assuring pulsation-free flow in a directly pressurized fuel delivery at a retail hydrogen station. Int. J. Hydrogen Energy 2018, 43, 16623–16637. [Google Scholar] [CrossRef]
  47. Genovese, M.; Blekhman, D.; Dray, M.; Fragiacomo, P. Hydrogen Losses in fueling station operation. J. Clean. Prod. 2020, 248, 119266. [Google Scholar] [CrossRef]
  48. Wang, J. Barriers of scaling-up fuel cells: Cost, durability and reliability. Energy 2015, 80, 509–521. [Google Scholar] [CrossRef]
  49. James, B. 2018 Cost projections of PEM fuel cell systems for automobiles and medium-duty vehicles. In Proceedings of the Fuel Cell Technologies Office, Department of Energy, USA, Online Webinar, 27 April 2018. [Google Scholar]
  50. Wang, J.; Wang, H.; Fan, Y. Techno-economic challenges of fuel cell commercialization. Engineering 2018, 4, 352–360. [Google Scholar] [CrossRef]
  51. Whiston, M.M.; Azevedo, I.L.; Litster, S.; Whitefoot, K.S.; Samaras, C.; Whitacre, J.F. Expert assessments of the cost and expected future performance of proton exchange membrane fuel cells for vehicles. Proc. Natl. Acad. Sci. USA 2019, 116, 4899–4904. [Google Scholar] [CrossRef] [Green Version]
  52. Kwan, T.H.; Katsushi, F.; Shen, Y.; Yin, S.; Zhang, Y.; Kase, K.; Yao, Q. Comprehensive review of integrating fuel cells to other energy systems for enhanced performance and enabling polygeneration. Renew. Sustain. Energy Rev. 2020, 128, 109897. [Google Scholar] [CrossRef]
  53. Apostolou, D.; Casero, P.; Gil, V.; Xydis, G. Integration of a light mobility urban scale hydrogen refuelling station for cycling purposes in the transportation market. Int. J. Hydrogen Energy 2021, 46, 5756–5762. [Google Scholar] [CrossRef]
  54. Tanç, B.; Arat, H.T.; Baltacıoğlu, E.; Aydın, K. Overview of the next quarter century vision of hydrogen fuel cell electric vehicles. Int. J. Hydrogen Energy 2019, 44, 10120–10128. [Google Scholar] [CrossRef]
  55. Isa, N.M.; Tan, C.W.; Yatim, A.H.M. A comprehensive review of cogeneration system in a microgrid: A perspective from architecture and operating system. Renew. Sustain. Energy Rev. 2018, 81, 2236–2263. [Google Scholar] [CrossRef]
  56. Fragiacomo, P.; De Lorenzo, G.; Corigliano, O. Performance analysis of an intermediate temperature solid oxide electrolyzer test bench under a CO2-H2O feed stream. Energies 2018, 11, 2276. [Google Scholar] [CrossRef] [Green Version]
  57. Department of Energy, USA. Fuel cell Handbook, 6th ed.; Online Version; 2002; EG&G Technical Services, Inc., Science Applications International Corporation Under Contract No. DE-AM26-99FT40575; Available online: http://courses.washington.edu/mengr430/au07/handouts/f_c_6.pdf (accessed on 10 August 2021).
  58. Lyu, Y.; Xie, J.; Wang, D.; Wang, J. Review of cell performance in solid oxide fuel cells. J. Mater. Sci. 2020, 55, 7184–7207. [Google Scholar] [CrossRef]
  59. Wilberforce, T.; Alaswad, A.; Palumbo, A.; Dassisti, M.; Olabi, A.G. Advances in stationary and portable fuel cell applications. Int. J. Hydrogen Energy 2016, 41, 16509–16522. [Google Scholar] [CrossRef] [Green Version]
  60. Kim, S.H.; Miesse, C.M.; Lee, H.B.; Chang, I.W.; Hwang, Y.S.; Jang, J.H.; Cha, S.W. Ultra compact direct hydrogen fuel cell prototype using a metal hydride hydrogen storage tank for a mobile phone. Appl. Energy 2014, 134, 382–391. [Google Scholar] [CrossRef]
  61. Ramírez-Salgado, J.; Domínguez-Aguilar, M.A. Market survey of fuel cells in Mexico: Niche for low power portable systems. J. Power Sources 2009, 186, 455–463. [Google Scholar] [CrossRef]
  62. Piraino, F.; Fragiacomo, P. A multi-method control strategy for numerically testing a fuel cell-battery-supercapacitor tramway. Energy Convers. Manag. 2020, 225, 113481. [Google Scholar] [CrossRef]
  63. Fragiacomo, P.; Piraino, F. Fuel cell hybrid powertrains for use in Southern Italian railways. Int. J. Hydrogen Energy 2019, 44, 27930–27946. [Google Scholar] [CrossRef]
  64. Agostini, A.; Belmonte, N.; Masala, A.; Hu, J.; Rizzi, P.; Fichtner, M.; Moretto, P.; Luetto, C.; Sgroi, M.; Baricco, M. Role of hydrogen tanks in the life cycle assessment of fuel cell-based auxiliary power units. Appl. Energy 2018, 215, 1–12. [Google Scholar] [CrossRef]
  65. Xiang, Y.; Cai, H.; Liu, J.; Zhang, X. Techno-economic design of energy systems for airport electrification: A hydrogen-solar-storage integrated microgrid solution. Appl. Energy 2021, 283, 116374. [Google Scholar] [CrossRef]
  66. Dodds, P.E.; Staffell, I.; Hawkes, A.D.; Li, F.; Grünewald, P.; McDowall, W.; Ekins, P. Hydrogen and fuel cell technologies for heating: A review. Int. J. Hydrogen Energy 2015, 40, 2065–2083. [Google Scholar] [CrossRef] [Green Version]
  67. Acar, C.; Dincer, I. The potential role of hydrogen as a sustainable transportation fuel to combat global warming. Int. J. Hydrogen Energy 2020, 45, 3396–3406. [Google Scholar] [CrossRef]
  68. 6Wresearch Global Stationary Fuel Cell Market. 2019. Available online: https://www.6wresearch.com/industry-report/global-stationary-fuel-cell-market (accessed on 1 May 2021).
  69. Hart, D.; Lehner, F.; Jones, S.; Lewis, J.; Klippenstein, M. The Fuel Cell Industry Review 2018; E4tech: London, UK, 2018. [Google Scholar]
  70. David, A. Office of I.U.S. Manufacturers among Leading Suppliers in Growing Stationary Fuel Cell Market; U.S. International Trade Commission (USITC) Executive Briefings on Trade, August 2019. Available online: https://www.usitc.gov/publications/332/executive_briefings/ebot_fuel_cells.pdf (accessed on 1 May 2021).
  71. Stationary Fuel Cell Systems Market Forecast, Trend Analysis & Competition Tracking—Global Market Insights 2018 to 2027. 2018. Available online: https://www.factmr.com/report/2456/stationary-fuel-cell-systems-market (accessed on 1 May 2021).
  72. Research and Market. Research and Markets, 2019. 2019. Available online: https://www.researchandmarkets.com/ (accessed on 1 May 2021).
  73. Stationary fuel cells market, 2019–2030—Global market projected to reach $5.1 bn by 2030. Focus Catal. 2020, 2020, 2. [CrossRef]
  74. Global solid oxide fuel cell market 2016–2026: Integration technologies are providing growth opportunities. Focus Catal. 2019, 2019, 2. [CrossRef]
  75. Europe solid oxide fuel cells market, competition forecast and opportunities report, 2013–2023 featuring LG fuel cell systems, fuel cell energy, SOLID power Group & Hexis AG. Focus Catal. 2019, 2019, 2–3. [CrossRef]
  76. Global direct methanol fuel cells market will reach $367 M by 2025: Zion Market Research. Focus Catal. 2019, 2019, 3. [CrossRef]
  77. Zion Market Research Zion Market Research. 2019. Available online: https://www.zionmarketresearch.com/ (accessed on 1 May 2021).
  78. IEA. International Energy Agency Technology Roadmap Hydrogen and Fuel Cells; International Energy Agency: Paris, France, 2015. [Google Scholar]
  79. IEA. International Energy Agency the Future of Hydrogen; International Energy Agency: Paris, France, 2019. [Google Scholar]
  80. Felseghi, R.A.; Carcadea, E.; Raboaca, M.S.; Trufin, C.N.; Filote, C. Hydrogen fuel cell technology for the sustainable future of stationary applications. Energies 2019, 12, 4593. [Google Scholar] [CrossRef] [Green Version]
  81. SenerTech SenerTec Dachs 0.8. Available online: https://www.senertec.de/dachs-0-8/ (accessed on 1 July 2021).
  82. Remeha Remeha eLecta 300. Available online: https://www.remeha.de/fachpartner/produkte/neubau-modernisierung/hybridsystem-waerme-strom/electa-300 (accessed on 1 July 2021).
  83. Bosch Buderus GCB and SOLIDpower BlueGEN Fuel Cell. Available online: https://www.buderus.de/de/produkte/catalogue/alle-produkte/153116_brennstoffzelle-bluegen-bg-15 (accessed on 1 July 2021).
  84. SOLIDpower SOLIDpower Bluegen. Available online: https://www.solidpower.com/en/ (accessed on 1 July 2021).
  85. Sunfire Sunfire-Home 750. Available online: https://home.sunfire.de/files/sunfire/images/content/Produkte_Technologie/factsheets/Sunfire-Factsheet-Home-de.pdf (accessed on 1 July 2021).
  86. Viessmann Vitovalor PT2. Available online: https://www.viessmann.co.uk/products/combined-heat-and-power/fuel-cell/vitovalor (accessed on 1 July 2021).
  87. Panasonic Panasonic FC. Available online: https://panasonic.biz/appliance/FC/lineup/house01.htm (accessed on 1 July 2021).
  88. AISIN AISIN ENE-FARM. Available online: https://www.aisin.com/jp/product/energy/cogene/enefarm/products/ (accessed on 1 July 2021).
  89. KYOCERA KYOCERA, ENE-FARM. Available online: https://www.kyocera.co.jp/news/2019/1005_ssfv.html (accessed on 1 July 2021).
  90. Nielsen, E.R.; Prag, C.B. Learning Points from Demonstration of 1000 Fuel Cell Based Micro-CHP Units. 2017, Volume 38. Available online: https://orbit.dtu.dk/en/publications/learning-points-from-demonstration-of-1000-fuel-cell-based-micro- (accessed on 1 May 2021).
  91. Fuel Cell and Hydrogen Joint Undertaking. PACE Pathway to a Competitive European Fuel Cell micro CHP Market Programme Review Days 2018. 2018. Available online: https://www.fch.europa.eu/sites/default/files/documents/ga2011/2_Session%202_PACE%20%28ID%204811647%29.pdf (accessed on 1 May 2021).
  92. PACE Project. Best Practices: KfW 433 Programme Driving the Fuel Cell Micro-Cogeneration Sector Closer to Mass Market Uptake in Germany. 2018. Available online: https://pace-energy.eu/best-practices-kfw-433-programme-driving-fuel-cell-micro-cogeneration-sector-closer-mass-market-uptake-germany/#IT (accessed on 1 May 2021).
  93. Brennstoffzellen, A. Brennstoffzellen Branchenführer Deutschland 2018 Fuel Cell Industry Guide Germany 2018. 2018. Available online: https://bz.vdma.org/documents/266669/26136325/VDMA%20AG%20BZ%20Branchenf%C3%BChrer%20D%202018_1524652028283.pdf/efaeb2d9-90b1-3010-d58f-c9fa9f84fb10 (accessed on 10 August 2021).
  94. Brennstoffzelle: Strom und Wärme Maximal Effizient. 2020. Available online: https://www.erdgas.info/fileadmin/Public/PDF/Heizung/Heizungstechnik/brennstoffzellen-broschuere.pdf (accessed on 1 May 2021).
  95. Fuel Cell and Hydrogen Joint Undertaking. Multi-Annual Work Plan; Fuel Cell and Hydrogen Joint Undertaking; Publications Office of the European Union: Luxemburg, 2018; ISBN 1496312627865. [Google Scholar]
  96. Hydrogen Europe. Strategic Research & Innovation Agenda, Final Draft. 2020. Available online: https://www.hydrogeneurope.eu/wp-content/uploads/2021/04/20201027-SRIA-CHE-final-draft.pdf (accessed on 1 May 2021).
  97. Hydrogen Europe. Technology Roadmaps Full Pack. 2018. Available online: https://www.ammoniaenergy.org/wp-content/uploads/2021/04/SS19_HE_08_2019.pdf (accessed on 1 May 2021).
  98. Japan LP Gas Association Home-use Fuel Cell(ENE-FARM). Available online: https://www.j-lpgas.gr.jp/en/appliances/ (accessed on 1 July 2021).
  99. Weidner Ronnefeld, E.; Ortiz Cebolla, R.; Davies, J. Global Deployment of Large Capacity Stationary Fuel Cells—Drivers of, and Barriers to, Stationary Fuel Cell Deployment; EUR 29693 EN; Publications Office of the European Union: Luxembourg, 2019; ISBN 978-92-76-00842-2. [Google Scholar] [CrossRef]
  100. Lu, Y.; Cai, Y.; Souamy, L.; Song, X.; Zhang, L.; Wang, J. Solid oxide fuel cell technology for sustainable development in China: An over-view. Int. J. Hydrogen Energy 2018, 43, 12870–12891. [Google Scholar] [CrossRef]
  101. Hu, M. The Current Status of Hydrog. and Fuel Cell Development in China. J. Electrochem. Energy Convers. Storage 2020, 17, 1–21. [Google Scholar] [CrossRef]
  102. Holland Innovation Network China. Overview of Hydrogen and Fuel Cell Developments in China. Holland Innovation Network China Bente Verheul 2019. Available online: https://www.google.com/url?sa=t&rct=j&q=&esrc=s&source=web&cd=&ved=2ahUKEwjAkLjys6PyAhVZIMUKHYe_D_cQFnoECAMQAw&url=https%3A%2F%2Fwww.nederlandwereldwijd.nl%2Fbinaries%2Fnederlandwereldwijd%2Fdocumenten%2Fpublicaties%2F2019%2F03%2F01%2Fwaterstof-in-china%2FHolland%2BInnovation%2BNetwork%2Bin%2BChina%2B-%2BHydrogen%2Bdevelopments.%2BJanuary%2B2019.pdf&usg=AOvVaw3c4xSwWYaczsntIsBLPCDO (accessed on 1 July 2021).
  103. Luo, Z.; Hu, Y.; Xu, H.; Gao, D.; Li, W. Cost-economic analysis of hydrogen for China’s fuel cell transportation field. Energies 2020, 13, 6522. [Google Scholar] [CrossRef]
  104. Hydrogen Council. Hydrogen Insights: A Perspective on Hydrogen Investment, Market Development and Cost Competitiveness; Hydrogen Council and MC Kinsey Company, 2021. Available online: https://hydrogencouncil.com/wp-content/uploads/2021/02/Hydrogen-Insights-2021-Report.pdf (accessed on 1 May 2021).
  105. Navigating Opportunity in the China Stationary Fuel Cell Market. Available online: https://www.integralnewenergy.com/?p=31479 (accessed on 22 July 2021).
  106. Policy Landscape and Industry Prospects of Hydrog. Fuel Cell Cogeneration Technologies in China. Available online: https://www.integralnewenergy.com/?p=30987 (accessed on 22 July 2021).
  107. National Science and Technology Management Information System. The Ministry of Science and Technology (MST) Issued a Notice on the Application Guidelines for 2020 Projects of the National Key RESEARCH and Development Program “Manufacturing Basic Technology and Key Components” and Other Key Projects. Available online: https://service.most.gov.cn (accessed on 22 July 2021).
  108. ResearchAndMarkets Global and China Fuel Cell Industry Report. 2020. Available online: https://www.researchandmarkets.com/reports/5146334/global-and-china-fuel-cell-industry-report-2020?utm_source=CI&utm_medium=PressRelease&utm_code=cmspr7&utm_campaign=1446952+-+Global+and+China+Fuel+Cell+Market+Report+2020%3A+Advances+and+Tendencies+in+China+and+Beyond+Featuring+Leading+Foreign+and+Chinese+Suppliers&utm_exec=chdo54prd (accessed on 1 May 2021).
  109. ResearchAndMarkets Global and China Fuel Cell Market Report 2020: Advances and Tendencies in China and Beyond Featuring Leading Foreign and Chinese Suppliers. Available online: https://www.prnewswire.com/news-releases/global-and-china-fuel-cell-market-report-2020-advances-and-tendencies-in-china-and-beyond-featuring-leading-foreign-and-chinese-suppliers-301149372.html (accessed on 1 May 2021).
  110. E4tech. The Fuel Cell Industry Review 2020; E4tech: London, UK, 2021. [Google Scholar]
  111. Bargigli, S.; Cigolotti, V.; Pierini, D.; Moreno, A.; Iacobone, F.; Ulgiati, S. Cogeneration of heat and electricity: A comparison of gas turbine, internal combustion engine, and MCFC/GT hybrid system alternatives. J. Fuel Cell Sci. Technol. 2010, 7, 011019. [Google Scholar] [CrossRef]
  112. Cigolotti, V.; McPhail, S.; Moreno, A. Nonconventional fuels for high-temperature fuel cells: Status and issues. J. Fuel Cell Sci. Technol. 2009, 6, 021311. [Google Scholar] [CrossRef]
  113. Cigolotti, V.; Massi, E.; Moreno, A.; Polettini, A.; Reale, F. Biofuels as opportunity for MCFC niche market application. Int. J. Hydrogen Energy 2008, 33, 2999–3003. [Google Scholar] [CrossRef]
  114. Di Giulio, N.; Bosio, B.; Cigolotti, V.; Nam, S.W. Experimental and theoretical analysis of H2S effects on MCFCs. Int. J. Hydrogen Energy 2012, 37, 19329–19336. [Google Scholar] [CrossRef]
  115. Hydrogen Europe. Clean Hydrogen for Europe. Available online: https://hydrogeneurope.eu/clean-hydrogen-europe (accessed on 1 August 2020).
  116. Hart, D.; Lehner, F.; Jones, S.; Lewis, J. The Fuel Cell Industry Review 2019; E4tech: London, UK, 2019. [Google Scholar]
  117. Hydrogen Council. Path to Hydrogen Competitiveness: A Cost Perspective; Hydrogen Council, 2020. Available online: https://hydrogencouncil.com/en/ (accessed on 1 May 2021).
  118. Facci, A.L.; Cigolotti, V.; Jannelli, E.; Ubertini, S. Technical and economic assessment of a SOFC-based energy system for combined cooling, heating and power. Appl. Energy 2017, 192, 563–574. [Google Scholar] [CrossRef]
  119. McPhail, S.J.; Cigolotti, V.; Moreno, A. Fuel Cells in the Waste-to-Energy Chain; Springer: London, UK, 2012. [Google Scholar] [CrossRef]
  120. Fragiacomo, P.; Corigliano, O.; De Lorenzo, G. Design of an SOFC/SOE experimental station: Planning of simulation tests. Energy Procedia 2018, 148, 535–542. [Google Scholar] [CrossRef]
  121. Fragiacomo, P.; De Lorenzo, G.; Corigliano, O. Design of an SOFC/SOE station: Experimental test campaigns. Energy Procedia 2018, 148, 543–550. [Google Scholar] [CrossRef]
  122. Japan Hydrogen & Fuel Cell Demonstration Project Home Page. Available online: http://www.jhfc.jp/e/index.html (accessed on 2 January 2019).
  123. Nielsen, E.R.; Prag, C.B.; Bachmann, T.M.; Carnicelli, F.; Boyd, E.; Walker, I.; Ruf, L.; Stephens, A. Status on Demonstration of Fuel Cell Based Micro-CHP Units in Europe. Fuel Cells 2019. [Google Scholar] [CrossRef]
  124. Battelle Memorial Institute. Manufacturing Cost Analysis: 1, 5, 10 and 25 kW Fuel Cell Systems for Primary Power and Combined Heat and Power Applications; Battelle Memorial Institute: Columbus, OH, USA, 2017; Prepared for: U.S. Department of Energy DOE Contract No. DE-EE0005250. [Google Scholar]
  125. Slater, J.D.; Chronopoulos, T.; Panesar, R.S.; Fitzgerald, F.D.; Garcia, M. Review and techno-economic assessment of fuel cell technologies with CO2 capture. Int. J. Greenh. Gas. Control. 2019, 91, 102818. [Google Scholar] [CrossRef]
  126. Ramadhani, F.; Hussain, M.A.; Mokhlis, H. A comprehensive review and technical guideline for optimal design and operations of fuel cell-based cogeneration systems. Processes 2019, 7, 950. [Google Scholar] [CrossRef] [Green Version]
  127. Staffell, I.; Scamman, D.; Velazquez Abad, A.; Balcombe, P.; Dodds, P.E.; Ekins, P.; Shah, N.; Ward, K.R. The role of hydrogen and fuel cells in the global energy system. Energy Environ. Sci. 2019, 12, 463–491. [Google Scholar] [CrossRef] [Green Version]
  128. Amaha, S.; Ogasawara, K.; Kawabata, Y.; Yakabe, H.; Co, T.G. Fuel Cell Break Through. 2016, pp. 1–11. Available online: https://docplayer.net/63924247-Fuel-cell-break-through.html (accessed on 10 August 2021).
  129. Arsalis, A. A comprehensive review of fuel cell-based micro-combined-heat-and-power systems. Renew. Sustain. Energy Rev. 2019, 105, 391–414. [Google Scholar] [CrossRef]
  130. Facci, A.L.; Ubertini, S. Analysis of a fuel cell combined heat and power plant under realistic smart management scenarios. Appl. Energy 2018, 216, 60–72. [Google Scholar] [CrossRef]
  131. FCH JU. Advancing Europe’s Energy Systems: Stationary Fuel Cells in Distributed Generation; Fuel Cell and Hydrogen Joint Undertaking; Publications Office of the European Union: Luxemburg, 2015; ISBN 9789292461348. [Google Scholar]
  132. Arsalis, A.; Nielsen, M.P.; Kær, S.K. Optimization of a high temperature PEMFC micro-CHP system by formulation and application of a process integration methodology. Fuel Cells 2013, 13, 238–248. [Google Scholar] [CrossRef]
  133. Arsalis, A.; Nielsen, M.P.; Kær, S.K. Application of an improved operational strategy on a PBI fuel cell-based residential system for Danish single-family households. Appl. Therm. Eng. 2013, 50, 704–713. [Google Scholar] [CrossRef]
  134. Arsalis, A.; Kær, S.K.; Nielsen, M.P. Modeling and optimization of a heat-pump-assisted high temperature proton exchange membrane fuel cell micro-combined-heat-and-power system for residential applications. Appl. Energy 2015, 147, 569–581. [Google Scholar] [CrossRef]
  135. U.S. Department of Energy. FY 2018 Progress Report for the DOE Hydrogen and Fuel Cells Program; Approved by Sunita Satyapal, Director of the Hydrogen and Fuel Cell Program, U.S. Department of Energy: Washington, DC, USA, 2019; DOE/GO-102019-5156 April 2019.
  136. Fuel cells bulletin research trends. Fuel Cells Bull. 2019, 2019, 16–17. [CrossRef]
Figure 1. Fuel cell technology overview.
Figure 1. Fuel cell technology overview.
Energies 14 04963 g001
Figure 2. Fuel cell technology power application range.
Figure 2. Fuel cell technology power application range.
Energies 14 04963 g002
Figure 3. Fuel cell shipments.
Figure 3. Fuel cell shipments.
Energies 14 04963 g003
Figure 4. Fuel cell size installations.
Figure 4. Fuel cell size installations.
Energies 14 04963 g004
Figure 5. Fuel cell failures for PEMFC (a) and SOFC units (b).
Figure 5. Fuel cell failures for PEMFC (a) and SOFC units (b).
Energies 14 04963 g005
Figure 6. PEM Fuel Cell Stack Potential Cost Breakdown.
Figure 6. PEM Fuel Cell Stack Potential Cost Breakdown.
Energies 14 04963 g006
Figure 7. SOFC Ceramic Cell Potential Cost Breakdown.
Figure 7. SOFC Ceramic Cell Potential Cost Breakdown.
Energies 14 04963 g007
Figure 8. Fuel cell capital expenditure forecast.
Figure 8. Fuel cell capital expenditure forecast.
Energies 14 04963 g008
Figure 9. Fuel Cell Maintenance Forecast.
Figure 9. Fuel Cell Maintenance Forecast.
Energies 14 04963 g009
Figure 10. European Scenario, CAPEX and Efficiency Forecasts for less than 5 kWel units (a), units with a size between 5 and 50 kWel (b), and between 50 and 500 kWel (c).
Figure 10. European Scenario, CAPEX and Efficiency Forecasts for less than 5 kWel units (a), units with a size between 5 and 50 kWel (b), and between 50 and 500 kWel (c).
Energies 14 04963 g010
Table 1. PEMFC and SOFC, micro-CHP installation.
Table 1. PEMFC and SOFC, micro-CHP installation.
Country/StateTechnologyCumulated Installed Capacity [MW] *Installations
[Thousands of Units]
Price per Sale [kEUR]
EuropePEMFC/SOFC7.5~1010
JapanPEMFC/SOFC270~3607–8.8
* Calculated by considering an average installation size of 0.75 kWel.
Table 2. PEMFC and SOFC, micro-CHP Performance.
Table 2. PEMFC and SOFC, micro-CHP Performance.
Country/StateManufacturerTechnologyElectrical Output [kW]Electric Efficiency [%]Total Efficiency [%]
EuropeSenerTec [81]PEMFC0.753892
Remeha [82]PEMFC0.753892
Bosch [83]SOFC1.560Up to 88
SOLIDpower [84]SOFC1.5Up to 57Up to 90
Sunfire [85]SOFC0.753888
Viessmann [86]PEMFC0.753792
JapanPanasonic [87]PEMFC0.74097
AISIN [88]SOFC0.75587
Kyocera [89]SOFC0.44780
Table 3. MCFC and PAFC, Large-scale Installations.
Table 3. MCFC and PAFC, Large-scale Installations.
Country/StateTechnologyCumulated Installed Capacity [MW]SubsidesPrice per Sale [EUR]
USAMCFC150600–1200 EUR/kW (NG or Biogas)8000–9000 USD/kW
EuropeMCFC1334 M Euro, Horizon 2020 for Stationary FCNA
KoreaMCFC150NANA
JapanMCFC6300–400 M USD for R&D on Stationary FCNA
RoWMCFCNANANA
USAPAFC50NANA
EuropePAFC134 M Euro, Horizon 2020 for Stationary FCNA
KoreaPAFC130up to 80% of the costs for demonstration projectsNA
JapanPAFC8300–400 M USD for R&D on Stationary FCNA
RoWPAFCNANANA
Table 4. Zoom-in on important big players around the world on fuel cells.
Table 4. Zoom-in on important big players around the world on fuel cells.
RegionCompanyField of InterestFC Type
CanadaHydrogenicsHydrogenPEMFC
EuropeHexisHydrogen, natural gas, city gas, biogasSOFC
EuropeSiemens Power Generation, Inc.H2 + CO, natural gas, jet fuel, diesel fuelSOFC
EuropeNedstackHydrogenPEMFC
EuropeMTU CFU SolutionWaste gas, LP gas natural gasMCFC
EuropeAnsaldo Fuel CellWaste gas, LP gas natural gasMCFC
EuropeSolidPowerNatural gas, bio-methaneSOFC
EuropeAFC EnergyDirect hydrogen or cracked ammoniaAFC
EuropeAFC EnergyDirect hydrogen or cracked ammoniaAAEMFC
EuropeEFOYMethanolDMFC
EuropeIntelligent EnergyHydrogenPEMFC
EuropeHelbio SANatural Gas, Biogas, Propane/LPG, EthanolPEMFC
EuropeH2PlanetHydrogenPEMFC
EuropeEFOYHydrogenPEMFC
EuropeSunfire Fuel CellLPG/Propane or natural gas, biogasSOFC
EuropeCeresPowerCity GasSOFC
JapanMitsubishi Hitachi Power SystemsCity gasSOFC
JapanPanasonicNatural GasPEMFC
JapanAisinNatural GasSOFC
JapanKyocerautility-supplied gas or liquid petroleum (LP) gasSOFC
JapanToshibaPetroleum gas, biogas, town gasPEMFC
JapanIshikawajima-Harima Heavy Industries (IHI)AmmoniaSOFC
JapanIshikawajima-Harima Heavy Industries (IHI)Waste gas, LP gas natural gasPEMFC, MCFC
JapanFuji ElectricCity gas, Biogas, Pure hydrogenPEMFC, PAFC
Rep. KOREAPosco EnergyLNG, Biogas, SNGMCFC
USATechnology Management, Inc. (TMI)Natural Gas, Biogas, Propane/LPG, EthanolSOFC
USAGenCellWaste gas, LP gas natural gasMCFC
USAPower InnovationsHydrogenPEMFC
USAAdaptive EnergyNatural Gas, PropaneSOFC
USAAltergyHydrogen-MethanolPEMFC
USAAtrex EnergyNatural Gas, PropaneSOFC
USABloom EnergyNatural Gas, Directed BiogasSOFC
USADoosan Fuel Cell AmericaNatural GasPAFC
USAFuelCell EnergyNatural GasMCFC
USAPlug PowerHydrogenPEMFC
USAWatt Fuel CellNatural GasSOFC
USAFuel Cell Technologies (FCT)Biogas, natural gas, methanolPEMFC, PAFC, DMFC
USABallard Power SystemsHydrogenPEMFC
USAFuelCell EnergyBiogas, natural gas, methanolMCFC-SOFC
USAUTC PowerNatural Gas, HydrogenPAFC-PEMFC
USAH-Power Corp.Natural gas, hydrogen, propanePEMFC
USAIdaTechNatural gas, propane, methanolPEMFC
Table 5. Fuel cell suppliers in the Chinese market. Data retrieved from [108,109].
Table 5. Fuel cell suppliers in the Chinese market. Data retrieved from [108,109].
International SupplierChinese Supplier
Plug PowerBeijing Sinohytec
Ballard PowerSunrise Power
NikolaVision Group
HYGSRe-Fire
FuelCellShanghai Shenli Technology
SFC PowerSinoSynergy Power
Arcola EnergyForesight Energy
Bloom EnergyWeichai Power
NuveraBroad-Ocean Motor
Table 6. PEM and SOFC System Performance.
Table 6. PEM and SOFC System Performance.
TechnologyPEMFC SystemSOFC System
Electric capacity (kW)0.3–50.7–2.5
Thermal capacity (kW)1.4–220.6–25
System efficiency (LHV) (%)85–9080–95
Electric efficiency (%)35–3835–60
Table 7. Fuel Cell Maintenance and Lifetime Expected.
Table 7. Fuel Cell Maintenance and Lifetime Expected.
FC TechnologyLifetime Expected [h]Degradation Rate [% Per Year]Ref.
SOFC/MCFC-0.6% reduction in power output per 1000 h operation[125]
PAFC40,000-[126]
PEMFC40,000–50,000-[126]
MCFC15,000-[126]
SOFC40,000-[126]
SOFC20,000–90,0001–2.5%[80,127]
PEMFC60,000–80,0001%[80,127]
MCFC20,0001.5[80,127]
PAFC80,000–130,0000.5%[80,127]
PEMFC70,000-[128]
AFC5000–8000-[78]
PEMFC60,000-[78]
PAFC30,000–60,000-[78]
MCFC20,000–30,000-[78]
SOFC90,000-[78]
Table 8. Fuel Cell Energy Performance.
Table 8. Fuel Cell Energy Performance.
FC TechnologyElectric Size [kW]Thermal Size [kW]Investment Cost [EUR]ApplicationsElectric Efficiency [%]CHP Efficiency [%]
SOFC [125]--3500 EUR/kWCommercial--
MCFC [125]--3500 EUR/kWCommercial--
PAFC [126]50–1000 kW (250 kWmodule typical)--Commercial40–4285–90
PEMFC [126]<1–100 kW--Commercial30–40.085–90
MCFC [126]1–1000 kW (250 kWmodule typical)--Commercial43–4785
SOFC [126]5–3000.0--Home/Commercial50–6090
PEMFC [129]0.5–5--Home35–4575–90
PEMFC [129]0.5–5--Home35–4575–90
SOFC [129]0.5–5--Home35–4575–90
AFC [129]0.5–5--Laboratory38–4469–77
SOFC [80,127]0.75–2500.75–250-Home/Commercial45–60%75–95%
PEMFC [80,127]0.75–20.75–2-Home35–3985–90
MCFC [80,127]>300>450-Commercial4790
PAFC [80,127]100–400110–450-Commercial4290
PEMFC [130]500--Commercial40-
PEMFC [130]1.00--Residential34-
PEMFC [130]440--Commercial43-
PEMFC [130]0.35-9000Residential33-
PEMFC [130]0.75-20,000–30,000Residential37–40-
PEMFC [131]1.5–5 Residential34-
PEMFC [130]0.70-20,000–30,000Residential35-
PEMFC [130]0.75-36,000Residential39-
PEMFC [130]0.70-24,500–28,500Residential--
PEMFC [128]0.70-11,800Residential3895
PEMFC [128]0.70--Residential38–3994–95
SOFC [128]0.70--Residential46.590
AFC [78]up to 250-200–700/kWCommercial50 (HHV)-
PEMFC [78]0.5–400-3000–4000/kWCommercial/Residential32–49 (HHV)-
PAFC [78]up to 11,000-4000–5000/kWCommercial30–40 (HHV)-
MCFC [78]kW to MW-4000–6000/kWCommercial>60 (HHV)-
SOFC [78]up to 200-3000–4000/kWCommercial/Residential50–70 (HHV)-
Table 9. Fuel cell system financial indicators.
Table 9. Fuel cell system financial indicators.
Micro-CHP (PEMFC, SOFC)Mini-CHP (SOFC)Commercial CHP (SOFC)Prime Power 1.0 MW (SOFC, PEMFC)CHP for Natural Gas (MCFC, SOFC, AFC)CHP Biogas for Industrial Applications (MCFC, SOFC)
OPEX [kEUR]0.50.8566080030
CAPEX [kEUR/kW]3418.416.54.3640285187
Installation, Control, Auxiliary [kEUR]6.1512.770.312001000700
Added system [kEUR]13.548.529025002200500
Stack [kEUR]11.543.9535.115002400900
Maintenance [kEUR]0.50.866080030
Stack Replacement [kEUR]6.724135.58502150790
Publisher’s Note: MDPI stays neutral with regard to jurisdictional claims in published maps and institutional affiliations.

Share and Cite

MDPI and ACS Style

Cigolotti, V.; Genovese, M.; Fragiacomo, P. Comprehensive Review on Fuel Cell Technology for Stationary Applications as Sustainable and Efficient Poly-Generation Energy Systems. Energies 2021, 14, 4963. https://doi.org/10.3390/en14164963

AMA Style

Cigolotti V, Genovese M, Fragiacomo P. Comprehensive Review on Fuel Cell Technology for Stationary Applications as Sustainable and Efficient Poly-Generation Energy Systems. Energies. 2021; 14(16):4963. https://doi.org/10.3390/en14164963

Chicago/Turabian Style

Cigolotti, Viviana, Matteo Genovese, and Petronilla Fragiacomo. 2021. "Comprehensive Review on Fuel Cell Technology for Stationary Applications as Sustainable and Efficient Poly-Generation Energy Systems" Energies 14, no. 16: 4963. https://doi.org/10.3390/en14164963

APA Style

Cigolotti, V., Genovese, M., & Fragiacomo, P. (2021). Comprehensive Review on Fuel Cell Technology for Stationary Applications as Sustainable and Efficient Poly-Generation Energy Systems. Energies, 14(16), 4963. https://doi.org/10.3390/en14164963

Note that from the first issue of 2016, this journal uses article numbers instead of page numbers. See further details here.

Article Metrics

Back to TopTop