Research on Temperature Monitoring Method of Cable on 10 kV Railway Power Transmission Lines Based on Distributed Temperature Sensor
Abstract
:1. Introduction
2. Proposed Scheme
2.1. On-Line Monitoring
2.2. Fault Location
3. Numerical Simulation
3.1. Structure and Thermal Parameters of the Cable
3.2. The Temperature Field of the Cable under Arc Discharge
3.3. The Temperature Field of the Cable under Poor Crimping
3.4. The Temperature Field of the Cable under Traction Return Fault
4. Experiments
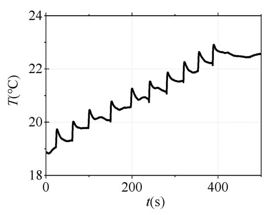
4.1. Temperature Rise Test of Cable Shield under Impulse Current
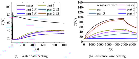
4.2. Heat Transfer Test of Cable Joint
4.3. Experiment on Measurement Effect of the Optical Fiber Deployed Outside the Cable
5. Conclusions and the Further Research Plan
- For the long-term heating cases caused by poor crimping, traction return flowing through the shield by mistake, etc., the heating power is too small, but the process is accumulative. After processes like the comparison among the temperature of three phases and the multilevel partition judgment, the errors can be considerably eliminated. The sensing fiber is expected to be able to detect the long-term heating fault of the cable with a considerable sensible area.
- For the transient heating cases caused by the breakdown of cable insulation, although the heating power is large, the transient thermal effect caused by the short-circuit current is not enough to be perceived by the sensing fiber due to the current short-circuit current level of 10 kV RPTL and the protection time of circuit breaker action, and it is strongly related to the location of optical fiber. To enhance the comprehensiveness of the SCADA system, as a recommendation, the fault location method oriented for cables should be supplemented, for example, by the impedance method, traveling wave method etc.
- According to the current application of DTS, whether the sensing fiber can sense the heating fault of the cable or not is related to the size, the power level and the duration of the heating process. Due to the limited spatial resolution of the DTS and the deploying effectiveness, there may be some false negatives caused by insufficient heating power. The effects of other factors such as spatial resolution, ambient temperature and surface contact coefficient on the overall system sensitivity need to be further studied.
Author Contributions
Funding
Institutional Review Board Statement
Informed Consent Statement
Data Availability Statement
Conflicts of Interest
References
- Sundararajan, R.; Nowlin, R.W. Effect of altitude on the flashover voltage of contaminated insulators. In Proceedings of the Conference on Electrical Insulation and Dielectric Phenomena—CEIDP ‘96, Millbrae, CA, USA, 23 October 1996; pp. 433–436. [Google Scholar]
- Zhao, X.; Zhang, S.; Lin, C.S.; Yang, Z.; Li, Z.; Han, T. Characterization of Electrical Treeing in XLPE versus Temperature Gradients. In Proceedings of the 2020 IEEE 3rd International Conference on Dielectrics (ICD), Valencia, Spain, 5–31 July 2020; pp. 25–28. [Google Scholar]
- Ismail, M.M.; Hassan, M.M. Distance relay protection for short and long transmission line. In Proceedings of the International Conference on Modelling, Identification and Control (ICMIC 2013), Cairo, Egypt, 31 August–2 September 2013; pp. 204–211. [Google Scholar]
- Eboule, P.S.P.; Hasan, A.N.; Twala, B. The Use of Multilayer Perceptron to Classify and Locate Power Transmission Line Faults. In Artificial Intelligence and Evolutionary Computations in Engineering Systems; Dash, S.S., Naidu, P.C.B., Bayindir, R., Das, S., Eds.; Springer: Berlin/Heidelberg, Germany, 2018; pp. 51–58. [Google Scholar]
- Cheng, Y.; Zhao, L.; Wu, X.; Ni, H.; Ding, P.; Li, X.; Zhou, X. Statistical Analysis of Partial Discharge Faults of HV Cables. In Proceedings of the 2020 IEEE Electrical Insulation Conference (EIC), Knoxville, TN, USA, 22 June–3 July 2020; pp. 422–425. [Google Scholar]
- Wang, K.; Li, Z.; Zhang, B. A novel method of power cable fault monitoring. In Proceedings of the 2016 IEEE PES Asia-Pacific Power and Energy Engineering Conference (APPEEC), Xi’an, China, 25–28 October 2016; pp. 738–742. [Google Scholar]
- Bragatto, T.; Cerretti, A.; D’Orazio, L. Thermal Effects of Ground Faults on MV Joints and Cables. Energies 2019, 12, 3496. [Google Scholar] [CrossRef] [Green Version]
- Enescu, D.; Colella, P.; Russo, A. Thermal Assessment of Power Cables and Impacts on Cable Current Rating: An Overview. Energies 2020, 13, 5319. [Google Scholar] [CrossRef]
- Ocłoń, P.; Pobędza, J.; Walczak, P.; Cisek, P.; Vallati, A. Experimental Validation of a Heat Transfer Model in Underground Power Cable Systems. Energies 2020, 13, 1747. [Google Scholar] [CrossRef] [Green Version]
- Liu, G.; Lei, M.; Ruan, B.; Zhou, F.; Li, Y.; Liu, Y. Model Research of Real-time Calculation for Single-core Cable Temperature Considering Axial Heat Transfer. High Volt. Eng. 2012, 38, 1877–1883. [Google Scholar]
- Thiyagarajan, K.; Kodagoda, S.; Ranasinghe, R.; Vitanage, D.; Iori, G. Robust Sensing Suite for Measuring Temporal Dynamics of Surface Temperature in Sewers. Sci. Rep. 2018, 8, 16020. [Google Scholar] [CrossRef] [PubMed] [Green Version]
- Selim, F.; Bedir, I.; Desuoki, H.E. Power cable inspections using Matlab graphical user interface aided by thermal imaging. In Proceedings of the Malaysian Conference in Software Engineering, Johor Bahru, Malaysia, 13–14 December 2011; pp. 263–268. [Google Scholar]
- Wu, J.Z.; Lin, J.J.; Gao, Z.J.; Lin, H.H.; Li, Q.Q.; Zhang, C.C. A Hybrid Fourier-wavelet Denoising Method for Infrared Image of Porcelain Sleeve Cable Terminal Using GSM Model for Wavelet Coefficients. In Proceedings of the International Conference on Power System Technology (POWERCON), Guangzhou, China, 6–8 November 2018; pp. 1919–1923. [Google Scholar]
- Wang, Z.; Cao, M.; Wang, D.; Zhang, S.Q.; Li, C.; Li, Y.N.; Li, X.L. On-Line Monitoring of Cable Trench and Cable Pit by Using Metal Armored FBG Temperature Sensors. Int. J. Smart Grid Clean Energy 2013, 2, 119–124. [Google Scholar] [CrossRef] [Green Version]
- Loranger, S.; Gagné, M.; Lambin-Iezzi, V.; Kashyap, R. Rayleigh scatter based order of magnitude increase in distributed temperature and strain sensing by simple UV exposure of optical fibre. Sci. Rep. 2015, 5, 11177. [Google Scholar] [CrossRef] [PubMed]
- Parker, T.R.; Farhadiroushan, M.; Handerek, V.A.; Roger, A.J. A fully distributed simultaneous strain and temperature sensor using spontaneous Brillouin backscatter. IEEE Photonics Technol. Lett. 1997, 9, 979–981. [Google Scholar] [CrossRef]
- Chen, Y.; Wang, S.; Hao, Y.; Yao, K.; Li, H.; Jia, F.; Shi, Q.; Yue, D.; Cheng, Y. The 500 kV Oil-filled Submarine Cable Temperature Monitoring System Based on BOTDA Distributed Optical Fiber Sensing Technology. In Proceedings of the International Conference on Sensing, Measurement & Data Analytics in the Era of Artificial Intelligence (ICSMD), Xi’an, China, 15–17 October 2020; pp. 180–183. [Google Scholar]
- Amira, Z.; Bouyahi, M.; Ezzedine, T. Measurement of Temperature through Raman Scattering. Procedia Comput. Sci. 2015, 73, 350–357. [Google Scholar] [CrossRef] [Green Version]
- Rui, Y.; Hird, R.; Yin, M.; Soga, K. Detecting changes in sediment overburden using distributed temperature sensing: An experimental and numerical study. Mar. Geophys. Res. 2018, 40, 261–277. [Google Scholar] [CrossRef] [Green Version]
- Lee, C.H.; Kwon, J.J.; Byoun, J.H.; Wee, D.Y.; Nam, S.H.; Lee, J.H.; Sohn, K.I.; Cho, J.T.; Kim, J.Y. Medium voltage optical fiber composite power cable system for Smart Grid. In Proceedings of the 22nd International Conference and Exhibition on Electricity Distribution (CIRED 2013), Stockholm, Sweden, 10–13 June 2013; pp. 1–4. [Google Scholar]
- Luo, J.; Hao, Y.; Ye, Q.; Hao, Y.; Li, L. Development of Optical Fiber Sensors Based on Brillouin Scattering and FBG for On-Line Monitoring in Overhead Transmission Lines. J. Lightwave Technol. 2013, 31, 1559–1565. [Google Scholar] [CrossRef]
- Barrias, A.; Casas, J.R.; Villalba, S. A Review of Distributed Optical Fiber Sensors for Civil Engineering Applications. Sensors 2016, 16, 748. [Google Scholar] [CrossRef] [PubMed] [Green Version]
- Xie, K.; Zhao, Y.; Zhang, H.; Zhao, Z.; Lu, Z.; Chai, Q.; Zhang, J. Practice of optical fiber sensing technologies in power transmission lines and towers. In Proceedings of the 2018 International Conference on Power System Technology (POWERCON), Guangzhou, China, 6–8 November 2018; pp. 3912–3918. [Google Scholar]
- Shi, Y.; Feng, H.; An, Y.; Feng, X.; Zeng, Z. Research on wavelet analysis for pipeline pre-warning system based on phase-sensitive optical time domain reflectometry. In Proceedings of the 2014 IEEE/ASME International Conference on Advanced Intelligent Mechatronics, Besacon, France, 8–11 July 2014; pp. 1177–1182. [Google Scholar]
- Li, Q.; Zhang, C.; Li, C. Fiber-Optic Distributed Sensor Based on Phase-Sensitive OTDR and Wavelet Packet Transform for Multiple Disturbances Location. Optic 2014, 125, 7235–7238. [Google Scholar] [CrossRef]















| Layer | Density (kg/m3) | Thermal Resistance Factor (K·m/W) | Specific Heat Capacity (J/kg·K) | External Diameter (mm) |
|---|---|---|---|---|
| Conductor | 8900 | 1/400 | 390 | 8.35 |
| Insulation layer | 920 | 3.5 | 2200 | 18.6 |
| Metal sheild | 8900 | 1/400 | 390 | 20.2 |
| Wrapping tape | 1400 | 6 | 1400 | 20.85 |
| Inner sheath | 940 | 2.5 | 2301 | 22.95 |
| Armor layer | 2200 | 1/17 | 500 | 23.75 |
| Outer sheath | 1550 | 1.58 | 2553 | 26.75 |
Publisher’s Note: MDPI stays neutral with regard to jurisdictional claims in published maps and institutional affiliations. |
© 2021 by the authors. Licensee MDPI, Basel, Switzerland. This article is an open access article distributed under the terms and conditions of the Creative Commons Attribution (CC BY) license (https://creativecommons.org/licenses/by/4.0/).
Share and Cite
Chen, K.; Yue, Y.; Tang, Y. Research on Temperature Monitoring Method of Cable on 10 kV Railway Power Transmission Lines Based on Distributed Temperature Sensor. Energies 2021, 14, 3705. https://doi.org/10.3390/en14123705
Chen K, Yue Y, Tang Y. Research on Temperature Monitoring Method of Cable on 10 kV Railway Power Transmission Lines Based on Distributed Temperature Sensor. Energies. 2021; 14(12):3705. https://doi.org/10.3390/en14123705
Chicago/Turabian StyleChen, Kai, Yi Yue, and Yuejin Tang. 2021. "Research on Temperature Monitoring Method of Cable on 10 kV Railway Power Transmission Lines Based on Distributed Temperature Sensor" Energies 14, no. 12: 3705. https://doi.org/10.3390/en14123705
APA StyleChen, K., Yue, Y., & Tang, Y. (2021). Research on Temperature Monitoring Method of Cable on 10 kV Railway Power Transmission Lines Based on Distributed Temperature Sensor. Energies, 14(12), 3705. https://doi.org/10.3390/en14123705

