The Synergy of Two Biofuel Additives on Combustion Process to Simultaneously Reduce NOx and PM Emissions
Abstract
:1. Introduction
2. Research Methodology
2.1. Characteristics of the Fuels Used
- (1)
- NitrON® is a detergent-dispersing package with a Nitrocet 50® additive, involved in the formation of free radicals in the region of low-temperature and indirect diesel oxidation B10 [32]. The main task of this component from the research point of view was to increase the cetane number of the fuel (from LC = 52.3 for the B10 fuel to LC = 58 after fuel upgrading). As a result, the use of this fuel additive package allowed reduction of the combustion rate in the kinetic phase. Nitrocet 50® is, in the chemical sense, 2-ethylhexyl nitrate (2-EHN) with the summary chemical formula: C8H17ONO2. The concentration of the NitrON® package in the refined fuel (fuel with an additive reducing the kinetic combustion rate—fuel marking: DFKA) was 1500 ppm, including 50 ppm of detergent-dispersing additives.
- (2)
- Reduxco® is a catalyst that is a reaction product of acetic acid, iron, n-butanol, n-propanol, and isopropanol [30]. Traces of iron compounds that were involved in the production technology of the Reduxco® catalyst are removed from the final product in such a way that the chemical composition of Reduxco® complies with Worldwide Fuel Charter, sixth edition, on gasoline and diesel fuel from 28 October 2019 [33]. Reduxco® catalyst in fuel, according to the manufacturer’s data, causes a decrease in the activation energy of the HC fuel oxidation reaction as well as the formation of additional OH groups, which together allow the combustion rate to increase and facilitate the afterburning of the already formed PM in the engine cylinder. In the current research, the concentration of the Reduxco® catalyst in the diesel fuel (fuel with an additive increasing the diffusion combustion rate—fuel designation: DFDA) was 1500 ppm.
- (3)
- The sum of the NitrON® package (1500 ppm) and the Reduxco® catalyst (1500 ppm), a test fuel denoted as DFΣ.
2.2. Measurement Stand
- (1)
- Energy parameters of the engine (fuel consumption, total efficiency of diesel engine)—AVL fuel balance, manufacturer: AVL, Graz, Austria
- (2)
- Composition of exhaust gases (concentration of CO, HC, NOx, smoke, and PM)—AVL bench emission system CEB II, AVL smoke meter, dilution tunnel (DT), manufacturer: AVL, Graz, Austria
- (3)
- Parameters of engine systems (e.g., start of fuel injection, temperature, and pressure of air after turbocharger, temperature of exhaust gases, and percent of exhaust gas recirculation [EGR])—VCDS Diagnostic System, manufacturer: Ross-Tech LLC, Lansdale, USA and external sensors
- (4)
- Parameters of indicator diagrams (e.g., start of self-combustion, maximum rate of combustion pressure, and maximum of combustion pressure)—AVL Indimeter 617D, manufacturer: AVL, Graz, Austria
- (5)
- Parameters of heat release diagrams (e.g., maximum of kinetic and diffusion heat release and end of combustion)-AVL software, manufacturer: AVL, Graz, Austria.
3. Research Results and Analysis
3.1. Energy Parameters
3.2. Exhaust Gas Composition
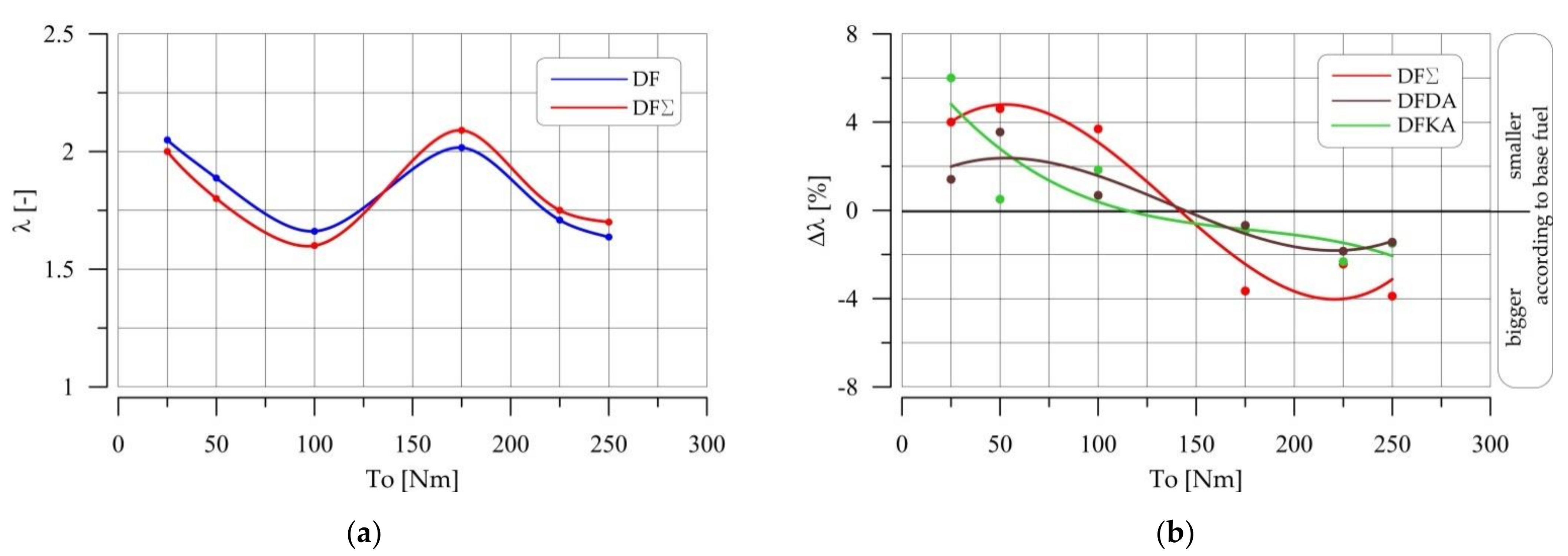
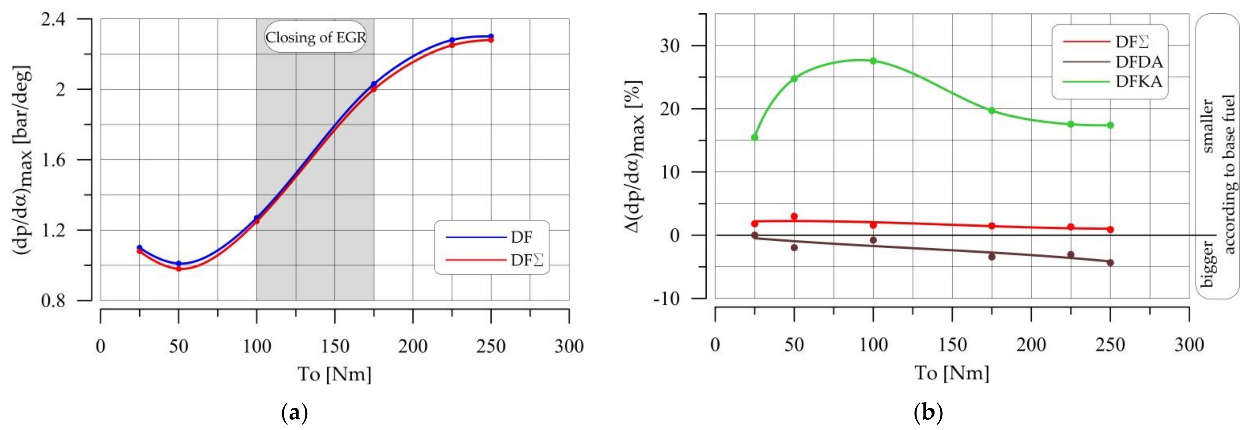
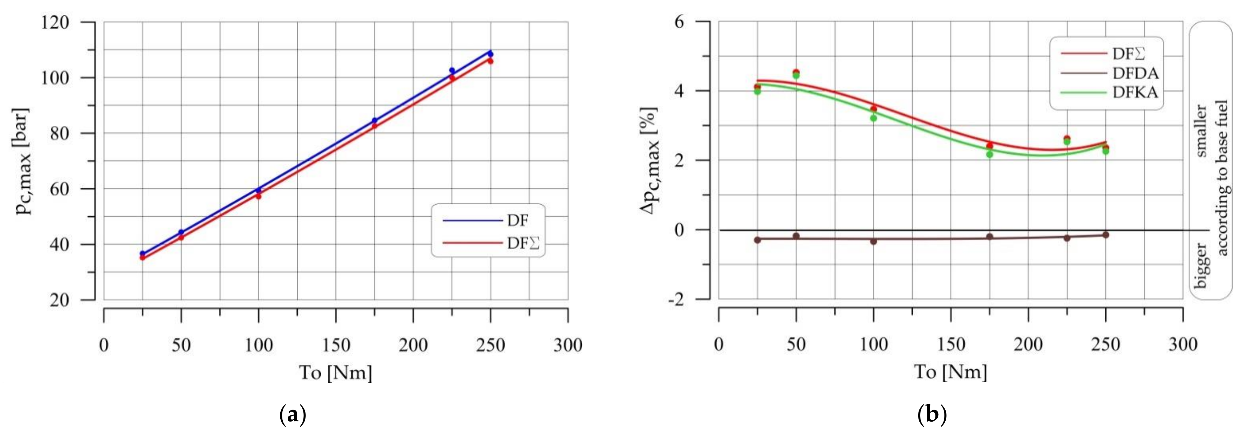
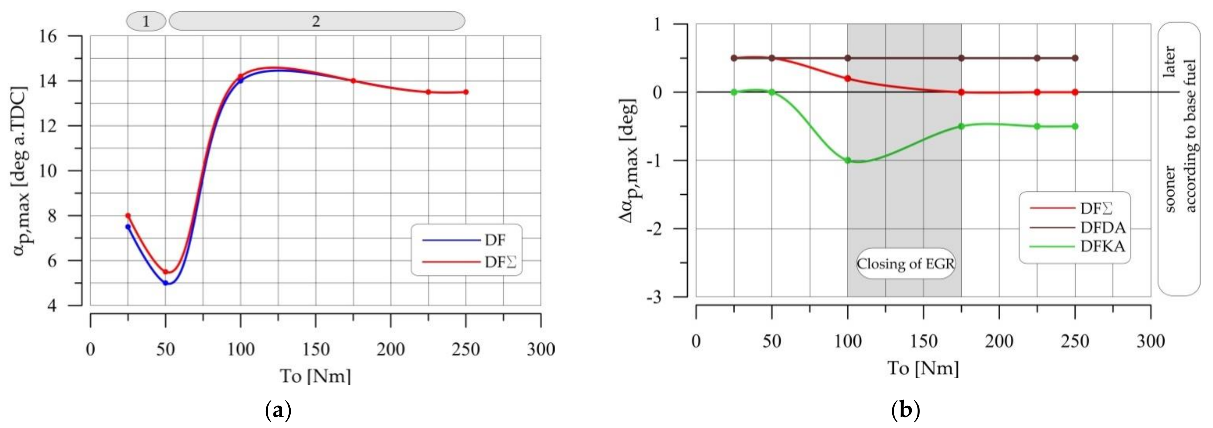
3.3. Indicator Charts
- start of fuel injection—αsi,
- start of fuel self-ignition—αsc,
- fuel self-ignition delay—τc,
- maximum rate of combustion pressure—(dp/dα)max,
- maximum combustion pressure—pc.max,
- and angle of occurrence of the maximum combustion pressure—αp.max.
3.4. Heat Release Rate
- shorten the kinetic combustion phase (αc,k) to reduce the emission of NOx,
- increase the maximum diffusion combustion rate (dQd/dα)max to reduce the emission of PM [26],
- increase the duration of the diffusion combustion phase (αc,d) to reduce the emission of PM [26],
- hasten the end of combustion process (αec) to increase the combustion efficiency value, and/or
- reduce the combustion duration (αc) to increase the combustion efficiency value.
- Nitrocet®—strong reduction of the maximum combustion rate in the kinetic phase, slight reduction of the maximum diffusion combustion rate as well as slightly earlier completion of the combustion process (resulting from earlier self-ignition and not from shortened combustion duration),
- Reduxco®—strong increase in the maximum combustion rate in the diffusion phase, slight increase in the maximum kinetic combustion rate, and significant reduction in the duration of combustion (resulting from a long-term increase in the combustion rate in the diffusion phase),
- Nitrocet® + Reduxco®—synergy of the impact of both additives to the fuel with an even more intense reduction of the maximum combustion rate in the kinetic phase, increase of the maximum diffusion combustion rate, and reduction of the duration and earlier termination of the combustion process.
- maximum kinetic heat release rate—(dQk/dα)max,
- maximum diffusion heat release rate—(dQd/dα)max,
- duration of kinetic combustion—(αc,k),
- duration of diffusion combustion—(αc,d),
- duration of combustion—(αc),
- the beginning of combustion—(αsc’), and
- end of combustion—(αec).
- reduction of the maximum rate of kinetic combustion (to reduce the NOx concentration in the exhaust gas),
- increase in the maximum rate of diffusion combustion (to reduce PM emissions and exhaust smoke),
- earlier ending of combustion (to bring the combustion process closer to the TDC of the piston; an increase in the value of ηo and a reduction in fuel consumption),
- shortening the duration of combustion (to reduce the outlet loss; increase the value of ηo and reduce fuel consumption).
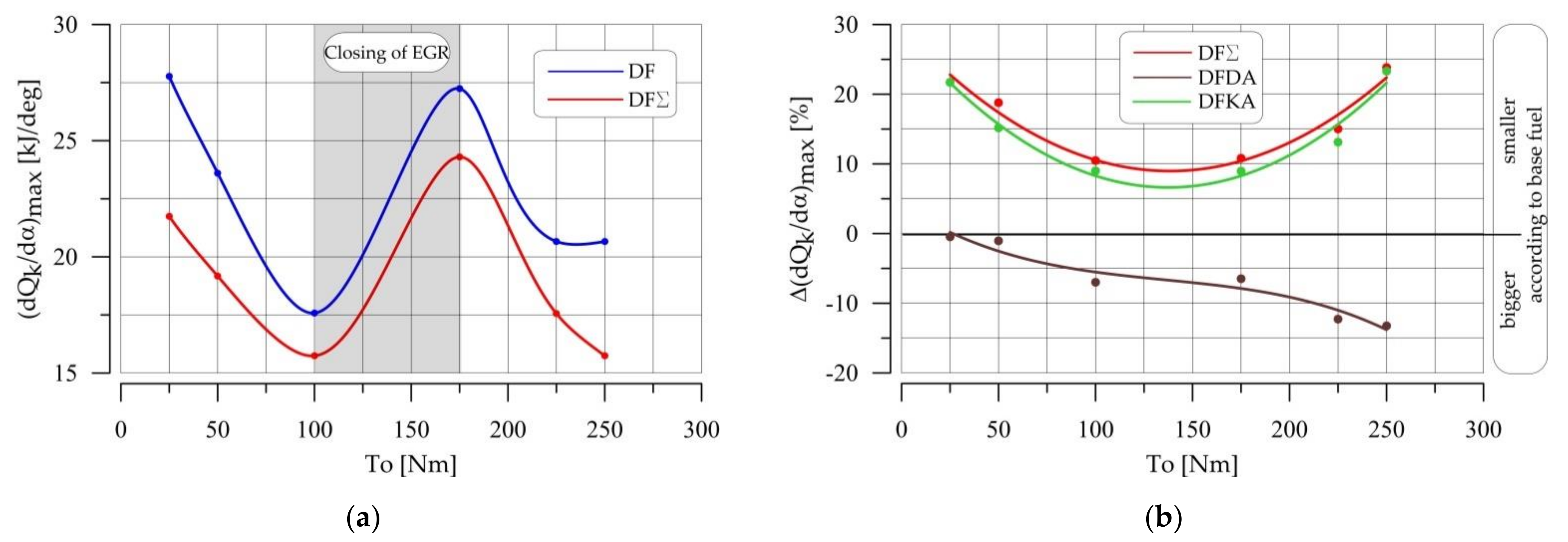
- A lower quantity of NOx particles was formed, even than for the combustion of the fuel with Nitrocet® additive (DFKA fuel), which resulted from the lowest maximum kinetic combustion speed (dQk/dα) among all tested fuels. It was related to the phase shift of the dQ/dα waveforms for DFKA and DFDA fuels. In physical terms, this was due to the much earlier onset of self-ignition in DFKA fuel than in DFDA fuel. As a result, the maximum amount of heat of combustion in the kinetic phase of DFKA fuel was reduced by the heat consumed at that time for evaporation of DFDA fuel, which had not yet self-ignited. The result was a reduction in (dQk/dα)max for DFKA fuel to a value even lower than for DFDA fuel, as shown in Figure 29.
- Thermal efficiency reached a higher value even than that of the combustion of DFKA and DFDA fuel, which resulted both from the earlier end of combustion (reduction of the outlet loss) and from the proximity of the combustion process to the piston TDC. This was because the combustion of DFKA fuel ended earlier, as it started earlier than that of the base fuel. The combustion of DFDA fuel also ended earlier, because the combustion rate of this fuel is higher; and, consequently, the dQ/dα course for DFΣ fuel, which is the resultant of the dQ/dα function for DFDA and DFKA fuels, was characterized by the earliest end of combustion.
- PM emission was lower, which was not due to having the highest value of (dQd/dα)max and the longest diffusion combustion duration (αc,d) in relation to the tested fuels; instead, it was related to generating the greatest amount of heat in the diffusion phase as this fuel (DFΣ) burned. Figure 29 shows that due to the overlapping of the dQ/dα values for DFKA and DFDA, an additional local extreme appeared in the case of the complex test fuel (DFΣ—red line in the diagram). This indicated the formation of additional heat and an increase in the amount of heat released in the diffusion phase (Qd), which caused the combustion of part of the previously formed PM and, as a result, reduction of PM emissions in the exhaust gas.
4. Summary and Final Conclusions
- Nitrocet®, used as a standalone fuel additive, caused earlier fuel self-ignition and, consequently, shortened the self-ignition delay, strongly reduced the kinetic combustion speed (leading to a several percent reduction of NOx concentration in the exhaust gases), and slightly reduced the diffusive combustion speed (leading to an increase in PM emissions and exhaust smoke of about 1%).
- Reduxco®, used as a standalone fuel additive, caused a slightly later self-ignition of the fuel and, consequently, extended the self-ignition delay and slightly increased the kinetic combustion speed, which increased the NOx concentration in the exhaust gas up to several percent. However, the main task of Reduxco® in this case was to strongly increase the diffusion rate of combustion, which resulted in the reduction of PM emissions and exhaust smoke from a few to over 30%.
- The simultaneous addition of Nitrocet® and Reduxco® in the complex fuel mainly caused:
- earlier fuel self-ignition and, consequently, shortening the self-ignition delay to an even greater extent than when Nitrocet® was the only additive,
- a strong reduction of the kinetic combustion rate, which led to a reduction in NOx concentration in the engine exhaust that was slightly more than that caused by the addition of Nitrocet® alone (from several to 20%),
- a significant increase in the amount of heat released in the diffusion phase of combustion, which resulted in a significant reduction in PM emissions and exhaust smoke (from 12 to almost 40%),
- bringing the combustion process closer to the piston TDC, which resulted in lower fuel consumption (from 2 to 5%),
- In the case of the complex test fuel, containing both Nitrocet® and Reduxco® additives, the effects of the favorable synergy phenomenon were observed in fuel consumption (thermal efficiency – ηt) and the NOx concentration and PM emission in the engine exhaust. The combined action of both these additives with the fuel had a more favorable effect than the use of each of these additives separately.
- The reason for the synergistic effect of the two tested fuel additives on the values of ηt, NOx and PM was the shift in the heat release rate (dQ/dα) for the fuel with the Nitrocet® additive compared to dQ/dα for the fuel with the addition of Reduxco®. This was mainly due to the much earlier self-ignition of the Nitrocet® fuel compared to the later self-ignition of the Reduxco® fuel. The moment the Nitrocet® fuel started to burn, the Reduxco® fuel was just evaporating. The latent heat reduced the amount of heat released in the kinetic phase of combustion (dQk/dα) of the Nitrocet® fuel, which additionally reduced dQk/dα of the fuel with both additives and led to a lower number of NOx formed and reduced NOx emissions in the engine exhaust.
- For the fuel with both additives (DFΣ), the heat development course Q(α) was characterized by a lower amount of heat released in the kinetic phase (even than for fuel with Nitrocet® only) and the lowest concentration of NOx in the exhaust gas. It was also characterized by a higher amount of heat released in the diffusion phase (even than for the fuel with Reduxco® alone), which explained the lowest PM emission in the exhaust gas at that time. The synergy also concerned the earlier end of fuel combustion with both tested additives, which allowed for the lowest emission of NOx and PM in the exhaust gas and the highest thermal efficiency in relation to all fuels used in the research.
Author Contributions
Funding
Institutional Review Board Statement
Informed Consent Statement
Data Availability Statement
Conflicts of Interest
Nomenclature
| dQk | (dQk/dα)max—the maximum rate of heat release in the kinetic phase of combustion |
| dQd | (dQd/dα)max—the maximum rate of heat release in the diffusive phase of combustion |
| —the maximum rate of heat release in the kinetic phase of combustion for fuel with an additive increasing diffusive combustion rate | |
| —the maximum rate of heat release in the kinetic combustion phase for fuel with an additive reducing kinetic combustion rate | |
| —the maximum rate of heat release in the kinetic combustion phase for the base (reference) fuel | |
| —the maximum rate of heat release in the kinetic phase of combustion for fuel with two additives | |
| —the maximum rate of heat release in the diffusive phase of combustion for fuel with an additive increasing the diffusive combustion rate | |
| —the maximum rate of heat release in the diffusive phase of combustion for fuel with an additive reducing the kinetic combustion rate | |
| —the maximum rate of heat release in the diffusive phase of combustion for the base (reference) fuel | |
| —the maximum rate of heat release in the diffusive phase of combustion for fuel with two additives | |
| (dp/dα)max | the maximum rate of pressure increase |
| KA | fuel additive that reduces the kinetic combustion rate |
| DA | fuel additive that increasing the diffusive combustion rate |
| Σ | the sum of additions KA + DA |
| DF | diesel fuel |
| DFKA | fuel with an additive that reduces the kinetic combustion rate (DF + KA) |
| DFDA | fuel with an additive that increases the diffusive combustion rate (DF + DA) |
| DFΣ | fuel with both additives (DF + KA + DA) |
| Qd | heat released in the diffusive phase |
| NOx | nitrogen oxides |
| PM | particulate matter |
| CO | carbon monoxide |
| HC | hydrocarbons |
| O2 | dioxide |
| CO2 | Carbon dioxide |
| Texh | exhaust gas temperature |
| TDC | top dead center |
| ηt | thermal efficiency |
| ηo | overall efficiency |
| τc | self-ignition delay |
| Gf | hourly fuel consumption |
| gf | specific fuel consumption |
| αsi | start of injection |
| αsc | start of combustion |
References
- Merkisz, J. Ekologiczne Problemy Silników Spalinowych; Wydawnictwo PP: Poznań, Poland, 1999; ISBN 83-7143-039-6. [Google Scholar]
- Jindal, S.; Nandwana, B.P.; Rathore, N.S.; Vashistha, V. Experimental investigation of the effect of compression ratio and injection pressure in a direct injection diesel engine running on Jatropha methyl ester. Appl. Therm. Eng. 2010, 30, 442–448. [Google Scholar] [CrossRef]
- Masjuki, H.; Kalam, M.; Syazly, M.; Mahlia, T.; Rahman, A.; Redzuan, M.; Varman, M.; Saidur, R.; Yau, Y. Experimental Evaluation of an Unmodified Diesel Engine using Biodiesel with Fuel Additive. In Proceedings of the Strategic Technology, The 1st International Forum on Strategic Technology “e-Vehicle Technology”, Ulsan, Korea, 18–20 October 2006; pp. 96–99. [Google Scholar]
- Kim, M.H.; Chung, W.I.; Chyun, I.B. Three-Dimensional Flow Characteristics and Engine Performance for the Geometry Modification of Intake Manifold in Multi-Cylinder Diesel Engine. In Proceedings of the Seoul 2000 FISITA World Automotive Congress, SAE Technical Paper 2000-05-0020. Seoul, Korea, 12–15 June 2000. [Google Scholar]
- Montajir, R.M.; Tsunemoto, H.; Ishitani, H.; Minami, T. Fuel Spray Behavior in a Small DI Diesel Engine: Effect of Combustion Chamber Geometry; SAE Technical Paper Series; SAE International: Warrendale, PA, USA, 2000. [Google Scholar] [CrossRef]
- Zeng, K.; Huang, Z.; Liu, B.; Liu, L.; Jiang, D.; Ren, Y.; Wang, J. Combustion characteristics of a direct-injection natural gas engine under various fuel injection timings. Appl. Therm. Eng. 2006, 26, 806–813. [Google Scholar] [CrossRef]
- Agarwal, A.K.; Srivastava, D.K.; Dhar, A.; Maurya, R.K.; Shukla, P.C.; Singh, A.P. Effect of fuel injection timing and pressure on combustion, emissions and performance characteristics of a single cylinder diesel engine. Fuel 2013, 111, 374–383. [Google Scholar] [CrossRef]
- Imtenan, S.; Rahman, S.A.; Masjuki, H.; Varman, M.; Kalam, M. Effect of dynamic injection pressure on performance, emission and combustion characteristics of a compression ignition engine. Renew. Sustain. Energy Rev. 2015, 52, 1205–1211. [Google Scholar] [CrossRef]
- Vedharaj, S.; Vallinayagam, R.; Yang, W.; Saravanan, C.; Lee, P. Optimization of combustion bowl geometry for the operation of kapok biodiesel—Diesel blends in a stationary diesel engine. Fuel 2015, 139, 561–567. [Google Scholar] [CrossRef]
- Millo, F.; Giacominetto, P.F.; Bernardi, M.G. Analysis of different exhaust gas recirculation architectures for passenger car Diesel engines. Appl. Energy 2012, 98, 79–91. [Google Scholar] [CrossRef]
- Asad, U.; Zheng, M. Exhaust gas recirculation for advanced diesel combustion cycles. Appl. Energy 2014, 123, 242–252. [Google Scholar] [CrossRef]
- Sayin Kul, B.; Kahraman, A. Energy and Exergy Analyses of a Diesel Engine Fuelled with Biodiesel-Diesel Blends Containing 5% Bioethanol. Entropy 2016, 18, 387. [Google Scholar] [CrossRef]
- Monsalve-Serrano, J.; Belgiorno, G.; Di Blasio, G.; Guzmán-Mendoza, M. 1D Simulation and Experimental Analysis on the Effects of the Injection Parameters in Methane-Diesel Dual-Fuel Combustion. Energies 2020, 13, 3734. [Google Scholar] [CrossRef]
- Belgiorno, G.; Dimitrakopoulos, N.; Di Blasio, G.; Beatrice, C.; Tuner, M.; Tunestal, P. Parametric Analysis of the Effect of Pilot Quantity, Combustion Phasing and EGR on Efficiencies of a Gasoline PPC Light-Duty Engine. In Proceedings of the 13th International Conference on Engines & Vehicles, Napoli, Italy, 10–14 September 2017; Volume 1, p. 1. [Google Scholar] [CrossRef]
- Rashedul, H.; Masjuki, H.; Kalam, M.; Ashraful, A.; Rahman, S.A.; Shahir, S. The effect of additives on properties, performance and emission of biodiesel fuelled compression ignition engine. Energy Convers. Manag. 2014, 88, 348–364. [Google Scholar] [CrossRef]
- Agarwal, A.K.; Das, L.M. Biodiesel Development and Characterization for Use as a Fuel in Compression Ignition Engines. J. Eng. Gas Turbines Power 2001, 123, 440–447. [Google Scholar] [CrossRef]
- Aldhaidhawi, M.; Chiriac, R.; Badescu, V. Ignition delay, combustion and emission characteristics of Diesel engine fueled with rapeseed biodiesel—A literature review. Renew. Sustain. Energy Rev. 2017, 73, 178–186. [Google Scholar] [CrossRef]
- Hwang, J.; Qi, D.; Jung, Y.; Bae, C. Effect of injection parameters on the combustion and emission characteristics in a common-rail direct injection diesel engine fueled with waste cooking oil biodiesel. Renew. Energy 2014, 63, 9–17. [Google Scholar] [CrossRef]
- Chadwell, C.J.; Dingle, P.J.G. Effect of Diesel and Water Co-Injection with Real-Time Control on Diesel Engine Performance and Emissions; SAE Technical Paper Series; SAE International: Warrendale, PA, USA, 2008. [Google Scholar] [CrossRef]
- Pidol, L.; Lecointe, B.; Starck, L.; Jeuland, N. Ethanol—biodiesel—diesel fuel blends: Performances and emissions in conventional diesel and advanced low temperature combustions. Fuel 2012, 93, 329–338. [Google Scholar] [CrossRef]
- Bose, P.K.; Maji, D. An experimental investigation on engine performance and emissions of a single cylinder diesel engine using hydrogen as inducted fuel and diesel as injected fuel with exhaust gas recirculation. Int. J. Hydrogen Energy 2009, 34, 4847–4854. [Google Scholar] [CrossRef]
- Choi, C.; Reitz, R. An experimental study on the effects of oxygenated fuel blends and multiple injection strategies on DI diesel engine emissions. Fuel 1999, 78, 1303–1317. [Google Scholar] [CrossRef]
- Soudagar, M.E.M.; Mujtaba, M.A.; Safaei, M.R.; Afzal, A.; Raju, V.D.; Ahmeda, W.; Banapurmath, N.R.; Hossainh, N.; Bashiri, S.; Badruddinjk, I.A.; et al. Effect of Sr@ZnO nanoparticles and Ricinus communis biodiesel-diesel fuel blends on modified CRDI diesel engine characteristics. Energy 2021, 215, 119094. [Google Scholar] [CrossRef]
- Gavhane, R.S.; Kate, A.M.; Pawar, A.; Safaei, M.R.; Soudagar, M.E.M.; Abbas, M.M.; Ali, H.M.; Banapurmath, N.R.; Goodarzi, M.; Badruddin, I.A.; et al. Effect of Zinc Oxide Nano-Additives and Soybean Biodiesel at Varying Loads and Compression Ratios on VCR Diesel Engine Characteristics. Symmetry 2020, 12, 1042. [Google Scholar] [CrossRef]
- Khan, H.; Soudagar, M.E.M.; Kumar, R.H.; Safaei, M.R.; Farooq, M.; Khidmatgar, A.; Banapurmath, N.R.; Farade, R.A.; Abbas, M.M.; Afzal, A.; et al. Effect of Nano-Graphene Oxide and n-Butanol Fuel Additives Blended with Diesel—Nigella sativa Biodiesel Fuel Emulsion on Diesel Engine Characteristics. Symmetry 2020, 12, 961. [Google Scholar] [CrossRef]
- Barrios, C.C.; Martin, C.; Domínguez-Sáez, A.; Álvarez, P.; Pujadas, M.; Casanova, J. Effects of the addition of oxygenated fuels as additives on combustion characteristics and particle number and size distribution emissions of a TDI diesel engine. Fuel 2014, 132, 93–100. [Google Scholar] [CrossRef]
- Razzaq, L.; Mujtaba, M.; Soudagar, M.E.M.; Ahmed, W.; Fayaz, H.; Bashir, S.; Fattah, I.R.; Ong, H.C.; Shahapurkar, K.; Afzal, A.; et al. Engine performance and emission characteristics of palm biodiesel blends with graphene oxide nanoplatelets and dimethyl carbonate additives. J. Environ. Manag. 2021, 282, 111917. [Google Scholar] [CrossRef]
- D’Silva, R.; Binu, K.; Bhat, T. Performance and Emission Characteristics of a C.I. Engine Fuelled with Diesel and TiO2 Nanoparticles as Fuel Additive. Mater. Today Proc. 2015, 2, 3728–3735. [Google Scholar] [CrossRef]
- Li, R.; Wang, Z.; Ni, P.; Zhao, Y.; Li, M.; Li, L. Effects of cetane number improvers on the performance of diesel engine fuelled with methanol/biodiesel blend. Fuel 2014, 128, 180–187. [Google Scholar] [CrossRef]
- Cisek, J.; Lesniak, S.; Mokretskyy, V.; Przybylski, W. The Influence of Reduxco Catalyst in the Diesel Fuel on Energy Parameters, Exhaust Gas Composition and Rate of Heat Release of a Diesel Engine; SAE Technical Paper Series; SAE Technical Paper 2020-01-2061; SAE International: Warrendale, PA, USA, 2020. [Google Scholar]
- Oil and Gas InstituteNational Research Institute. Analysis of the Impact of Self-Ignition Delay on the Rate of Kinetic Combustion as Well as the Composition and Opacity of Exhaust Gases as a Function of the Load of a Compression-Ignition Engine Powered by Three Fuels; Research Report, Contract No: M-04/277/2018/P; Cracow University of Technology: Cracow, Poland, 2018. [Google Scholar]
- Stanik, W.; Cisek, J. Influence of cetane-detergent additives into diesel fuel with RME content increased to 10% on the parameters of indicator diagrams and rate of heat release in a diesel engine. Combust. Eng. 2019, 179, 226–235. [Google Scholar] [CrossRef]
- Worldwide Fuel Charter Committee. Gasoline and Diesel Fuel, 6th ed.; Worldwide Fuel Charter: Brussels, Belgium, 2019. [Google Scholar]
- DAGAS Limited Company. Analysis of the Influence of a New Type of Fuel Catalyst on the Operating Parameters of a Compression Ignition Engine; Research Report, Contract No: M-04/105/2019/P; Cracow University of Technology: Cracow, Poland, 2019. [Google Scholar]
- DAGAS Limited Company. Determination of the Influence of a New Type of Fuel Catalyst on Coking of a Fuel Atomizer; Research Report, Contract No: M-04/139/2020/P; Cracow University of Technology: Cracow, Poland, 2020. [Google Scholar]
- DAGAS Limited Company. Analysis of the Synergy of the Impact of Reduxco and Nitrocet Additives for Diesel Fuel on the Course of the Combustion Process in the Cylinder of a Compression Ignition Engine; Research Report, Contract No: M-04/187/2020/P; Cracow University of Technology: Cracow, Poland, 2020. [Google Scholar]
- ISO. RIC Engines—Exhaust Emission Measurement, Part 1, Test Bed Measurement of Gaseous and Particulate Exhaust Emissions from RIC Engines; ISO nr CD 8178-1; ISO: Frankfurt am Main, Germany, 1992. [Google Scholar]
- Rychter, T.; Teodorczyk, A. Modelowanie Matematyczne Roboczego Cyklu Silnika Tłokowego; PWN: Warszawa, Poland, 1990. [Google Scholar]
- Mitianiec, W.; Jaroszewski, A. Modele Matematyczne Procesów Fizycznych w Silnikach Spalinowych Małej Mocy; Wydawnictwo Ossolineum: Wroclaw, Poland, 1993. [Google Scholar]
- AVL LIST Gmbh. Indimeter 617 D. System Description and Examples; AVL: Graz, Austria, 2000. [Google Scholar]
- Lodi, F.; Zare, A.; Arora, P.; Stevanovic, S.; Jafari, M.; Ristovski, Z.; Brown, R.J.; Bodisco, T. Combustion Analysis of a Diesel Engine during Warm up at Different Coolant and Lubricating Oil Temperatures. Energies 2020, 13, 3931. [Google Scholar] [CrossRef]
- Heywood, J.B. Internal Combustion Engine Fundamentals; McGraw-Hill Series in Mechanical Engineering; University of Michigan: Ann Arbor, MI, USA, 1988. [Google Scholar]
- Kowalewicz, A. Podstawy Procesów Spalania; Wydawnictwo Naukowo Techniczne: Warszawa, Poland, 2000; ISBN 83-204-2496-8. [Google Scholar]
- Purushothaman, K.; Nagarajan, G. Effect of injection pressure on heat release rate and emissions in CI engine using orange skin powder diesel solution. Energy Convers. Manag. 2009, 50, 962–969. [Google Scholar] [CrossRef]
- Muralidharan, K.; Vasudevan, D. Performance, emission and combustion characteristics of a variable compression ratio engine using methyl esters of waste cooking oil and diesel blends. Appl. Energy 2011, 88, 3959–3968. [Google Scholar] [CrossRef]
- Patel, N.; Singh, R. Optimization of NOx Emission from Soya Biodiesel Fuelled Diesel Engine using Cetane Improver (DTBP). Jordan J. Mech. Ind. Eng. 2014, 8, 213–217. [Google Scholar]





















—fuel vaporization phase,
—kinetic combustion phase,
—diffusion combustion phase.
—fuel vaporization phase,
—kinetic combustion phase,
—diffusion combustion phase.







| Attribute | Unit | B7 Fuel | B10 Fuel |
|---|---|---|---|
| Cetane number | - | 51.7 | 52.3 |
| Cetane index | - | 52.5 | 55.0 |
| Density at temperature 15 °C | kg/m3 | 825 | 830.4 |
| PAH content | %(m/m) | 2.3 | 1.1 |
| Sulfur content | mg/kg | 9.4 | 4.9 |
| Manganese content | mg/L | - | <0.5 |
| Flash-point | °C | 62 | 60.5 |
| Coking residue(with 10% distillation residue) | %(m/m) | 0.01 | 0.016 |
| Water content | mg/kg | 80 | 60 |
| Total impurity content | mg/kg | 12 | 20.5 |
| Cooper strip corrosion (corrosion rate) (3 h, 50 °C) | degree of corrosion | 1 | 1 |
| Oxidativestability (g/m3) | g/m3 | 4 | 8 |
| Oxidativestability [110 °C] (Rancimat) | h | 55.4 | 23.1 |
| Lubricity, wear scar diameter, [60 °C] | µm | 436 | 165 |
| Kinematic viscosity [40 °C] | mm2/s | 2.78 | 2.73 |
| Fractional composition | |||
| %(v/v) recovered at 250 °C %(v/v) recovered at 350 °C 95% (v/v) recovered at | %(v/v) %(v/v) °C | 39.0 93.8 354.7 | 36.8 93 355.9 |
| FAME content | %(v/v) | 7 | 9.9 |
| Ash residue | %(m/m) | 0.001 | <0.001 |
| Type of Engine | VW 1.9 TDI |
|---|---|
| type of fuel ignition | compression ignition |
| cylinder layout | in-line |
| the number of cylinders | 4 |
| piston diameter | 79.5 mm |
| piston stroke | 95.5 mm |
| engine displacement | 1896 cm3 |
| geometric compression ratio | 18 |
| cylinders work order | 1-3-4-2 |
| rated gross power | 85 kW |
| rated engine speed | 4000 rpm |
| maximum engine speed | 4450 rpm |
| maximum engine torque | 285 Nm |
| rot. speed of maximum torque | 2000 rpm |
| engine cool | 6.1 dm3 |
| engine oil system | 4.4 dm3 |
| oil pressure | 0.11–0.41 MPa |
| fuel system | unit injectors |
| max. pressure of fuel injection | 20 MPa |
Publisher’s Note: MDPI stays neutral with regard to jurisdictional claims in published maps and institutional affiliations. |
© 2021 by the authors. Licensee MDPI, Basel, Switzerland. This article is an open access article distributed under the terms and conditions of the Creative Commons Attribution (CC BY) license (https://creativecommons.org/licenses/by/4.0/).
Share and Cite
Cisek, J.; Lesniak, S.; Stanik, W.; Przybylski, W. The Synergy of Two Biofuel Additives on Combustion Process to Simultaneously Reduce NOx and PM Emissions. Energies 2021, 14, 2784. https://doi.org/10.3390/en14102784
Cisek J, Lesniak S, Stanik W, Przybylski W. The Synergy of Two Biofuel Additives on Combustion Process to Simultaneously Reduce NOx and PM Emissions. Energies. 2021; 14(10):2784. https://doi.org/10.3390/en14102784
Chicago/Turabian StyleCisek, Jerzy, Szymon Lesniak, Winicjusz Stanik, and Włodzimierz Przybylski. 2021. "The Synergy of Two Biofuel Additives on Combustion Process to Simultaneously Reduce NOx and PM Emissions" Energies 14, no. 10: 2784. https://doi.org/10.3390/en14102784
APA StyleCisek, J., Lesniak, S., Stanik, W., & Przybylski, W. (2021). The Synergy of Two Biofuel Additives on Combustion Process to Simultaneously Reduce NOx and PM Emissions. Energies, 14(10), 2784. https://doi.org/10.3390/en14102784

