Analytical-Numerical Approach to the Skin and Proximity Effect in Lines with Round Parallel Wires
Abstract
1. Introduction
2. Methodology
2.1. Problem Description
2.2. Approximate Analytical Solution
2.3. Improving the Solution
2.4. Numerical Implementation
- Select a set of filaments representing the wires and calculate matrices ;
- For assumed currents in all wires, calculate vectors as the first approximation of the proximity effect;
- Calculate vectors For to obtain presumed accuracy or to consider the presumed number of corrections ;
- Use vectors to represent the correction of current density in wire as follows:
- Repeat steps 2–4 for other currents in wires if necessary.
2.5. Power Losses and Resistance
3. Results and Discussion
3.1. Analyzed Configurations
3.2. Comparison with Literature
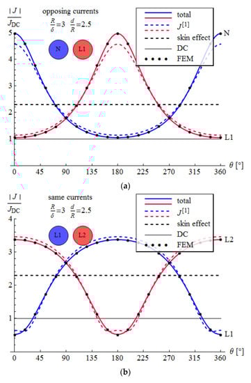
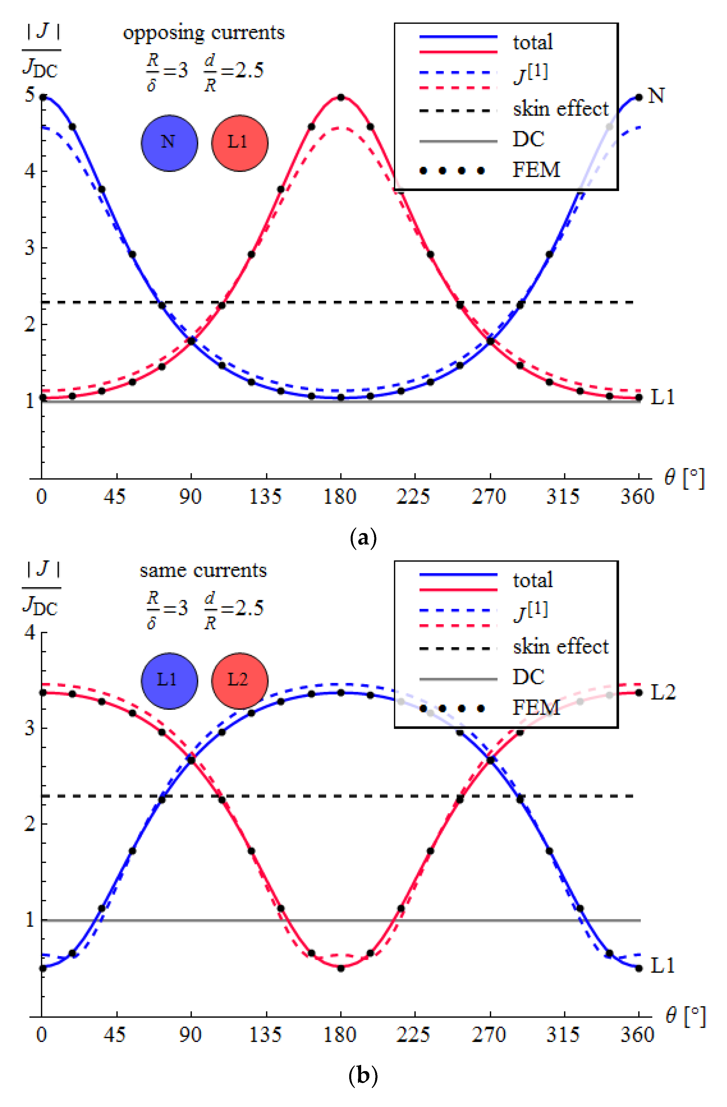
3.3. Current Density Distribution
3.4. The Effect of Wire Discretization
3.5. The Effect of Skin Depth
3.6. The Effect of Spacing between Wires
3.7. Power Losses
4. Conclusions
Author Contributions
Funding
Conflicts of Interest
Appendix A
References
- Maxwell, J.C. A Treatise of Electricity and Magnetism; McMillan and Co.: London, UK, 1873; Volume II, p. 689. [Google Scholar]
- Coufal, O. Current density in a group of long parallel conductors. Phys. Scr. 2019, 94, 125504. [Google Scholar] [CrossRef]
- Carson, J.R. Wave propagation over parallel wires: The proximity effect. Phil. Mag. 1922, 41, 607–633. [Google Scholar] [CrossRef][Green Version]
- Arnold, A.H.M. Proximity effect in solid and hollow round conductors. J. Inst. Electr. Eng. Part Ii Power Eng. 1951, 88, 349–359. [Google Scholar]
- Hussein, A.M.; Bringer, P.P. Boundary matching method as applied to systems of multiconductors. IEEE Trans. Magn. 1987, 23, 3299–3301. [Google Scholar] [CrossRef]
- Ahmed, M.T.; Lavers, J.D.; Burke, P.E. Skin and proximity effect calculation using the method of fundamental solutions (MFS). IEEE Trans. Magn. 1998, 24, 2667–2669. [Google Scholar] [CrossRef]
- Machado, V.M.; Pedro, M.E.; Faria, J.A.B.; van Dommelen, D. Magnetic field analysis of three-conductor bundles in flat and triangular configurations with the inclusion of proximity and skin effects. Electr. Power Syst. Res. 2011, 81, 2005–2014. [Google Scholar] [CrossRef]
- Riba, J.R.; Capelli, F. Calculation of the inductance of conductive nonmagnetic conductors by means of finite element method simulations. Int. J. Electr. Educ. 2018, 1–23. [Google Scholar] [CrossRef]
- Cirino, A.W.; de Paula, H.; Mesquita, R.C.; Saraiva, E. Cable parameter determination focusing on proximity effect inclusion using finite element analysis. In Proceedings of the 2009 Brazilian Power Electronics Conference, Bonito (MS), Brasil, 27 September–1 October 2009; pp. 402–409. [Google Scholar] [CrossRef]
- Riba, J.R. Calculation of AC to DC resistance ratio of conductive nonmagnetic straight conductors by applying FEM simulations. Eur. J. Phys. 2015, 36, 055019. [Google Scholar] [CrossRef][Green Version]
- Riba, J.R. Analysis of formulas to calculate the AC resistance of different conductors’ configurations. Electr. Power Syst. Res. 2015, 127, 93–100. [Google Scholar] [CrossRef]
- Jabłoński, P. Mathematica implementation of BEM model for magnetic field analysis in parallel conductors with time-harmonic currents. Pozn. Univ. Technol. Acad. J. Electr. Eng. 2012, 69, 65–72. [Google Scholar]
- Bourmanne, P.; Delincé, F.; Genon, A.; Legros, W.; Nicolet, A. Skin effect and proximity effect in multiconductor systems with applied currents and voltages. J. Appl. Phys. 1991, 69, 5035. [Google Scholar] [CrossRef]
- Rolicz, P. Skin effect in a system of two rectangular conductors carrying identical currents. Electr. Eng. 2000, 82, 285–290. [Google Scholar] [CrossRef]
- Rolicz, P. Eddy currents generated in a system of two cylindrical conductors by a transverse alternating magnetic field. Electr. Power Syst. Res. 2009, 79, 295–300. [Google Scholar] [CrossRef]
- Manneback, C. An integral equation for skin effect in parallel conductors. J. Math. Phys. 1922, 1, 123–146. [Google Scholar] [CrossRef]
- Smith, G. Proximity effect in systems of parallel conductors. J. Appl. Phys. 1972, 43, 2196. [Google Scholar] [CrossRef]
- Dlabač, T.; Filipović, D. Integral equation approach for proximity effect in a two-wire line with round conductors. Tech. Vjesn. 2015, 22, 1065–1068. [Google Scholar]
- Pałka, R.; Ziółkowski, M. Analysis of current density distribution in bar placed in slot. Arch. Für Elektrotechnik 1981, 64, 143–146. [Google Scholar] [CrossRef]
- Piątek, Z.; Baron, B.; Jabłoński, P.; Kusiak, D.; Szczegielniak, T. Numerical method of computing impedances in shielded and unshielded three-phase rectangular busbar systems. Prog. Electromagn. Res. B 2013, 51, 135–156. [Google Scholar] [CrossRef]
- Coufal, O. Faraday’s law of electromagnetic induction in two parallel conductors. Int. J. Appl. Electromag. Mech. 2017, 54, 263–280. [Google Scholar] [CrossRef]
- Piątek, Z. The method of calculation of eddy currents induced by the sinusoidal current of the parallel conductor in the cylindrical conductor. Zn Pol. Śl. Elektr. 1981, 75, 137–150. [Google Scholar]
- Piątek, Z. Impedances of Tubular High Current Busducts; Wyd. Pol. Częst.: Czestochowa, Poland, 2008. [Google Scholar]
- Pagnetti, A.; Xemard, A.; Pladian, F.; Nucci, C.A. An improved method for the calculation of the internal impedances of solid and hollow conductors with inclusion of proximity effect. IEEE Trans. Power Deliv. 2012, 27, 2063–2072. [Google Scholar] [CrossRef]
- Jabłoński, P.; Szczegielniak, T.; Kusiak, D.; Piątek, Z. Analytical-numerical solution for the skin and proximity effects in two parallel round conductors. Energies 2019, 12, 3584. [Google Scholar] [CrossRef]



















| Resistance per Unit of Length [μΩ/m] | ||||
|---|---|---|---|---|
| [2] | FEM | This Work | ||
| 1 | 0.935 | 177.1 | 177 | 177 |
| 0.5 | 1.32 | 94.63 | 94.7 | 94.6 |
| 0.2 | 2.09 | 48.72 | 48.8 | 48.5 |
| 0.1 | 2.96 | 33.11 | 33.2 | 32.9 |
| 0.01 | 9.35 | 9.630 | 9.72 | 9.52 |
| 0.001 | 29.6 | 2.849 | 3.06 | 2.92 |
Publisher’s Note: MDPI stays neutral with regard to jurisdictional claims in published maps and institutional affiliations. |
© 2020 by the authors. Licensee MDPI, Basel, Switzerland. This article is an open access article distributed under the terms and conditions of the Creative Commons Attribution (CC BY) license (http://creativecommons.org/licenses/by/4.0/).
Share and Cite
Jabłoński, P.; Kusiak, D.; Szczegielniak, T. Analytical-Numerical Approach to the Skin and Proximity Effect in Lines with Round Parallel Wires. Energies 2020, 13, 6716. https://doi.org/10.3390/en13246716
Jabłoński P, Kusiak D, Szczegielniak T. Analytical-Numerical Approach to the Skin and Proximity Effect in Lines with Round Parallel Wires. Energies. 2020; 13(24):6716. https://doi.org/10.3390/en13246716
Chicago/Turabian StyleJabłoński, Paweł, Dariusz Kusiak, and Tomasz Szczegielniak. 2020. "Analytical-Numerical Approach to the Skin and Proximity Effect in Lines with Round Parallel Wires" Energies 13, no. 24: 6716. https://doi.org/10.3390/en13246716
APA StyleJabłoński, P., Kusiak, D., & Szczegielniak, T. (2020). Analytical-Numerical Approach to the Skin and Proximity Effect in Lines with Round Parallel Wires. Energies, 13(24), 6716. https://doi.org/10.3390/en13246716

