Optimization Design for Receiving Coil with Novel Structure Based on Mutual Coupling Model in Wireless Power Transmission for Capsule Endoscope
Abstract
1. Introduction
2. Methods
2.1. Novel Structure of Receiving Coil
2.2. Model of Mutual Inductance and Receiving Power
2.3. Optimization Design for Receiving Coil
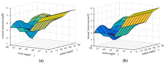
3. Experimental Validation
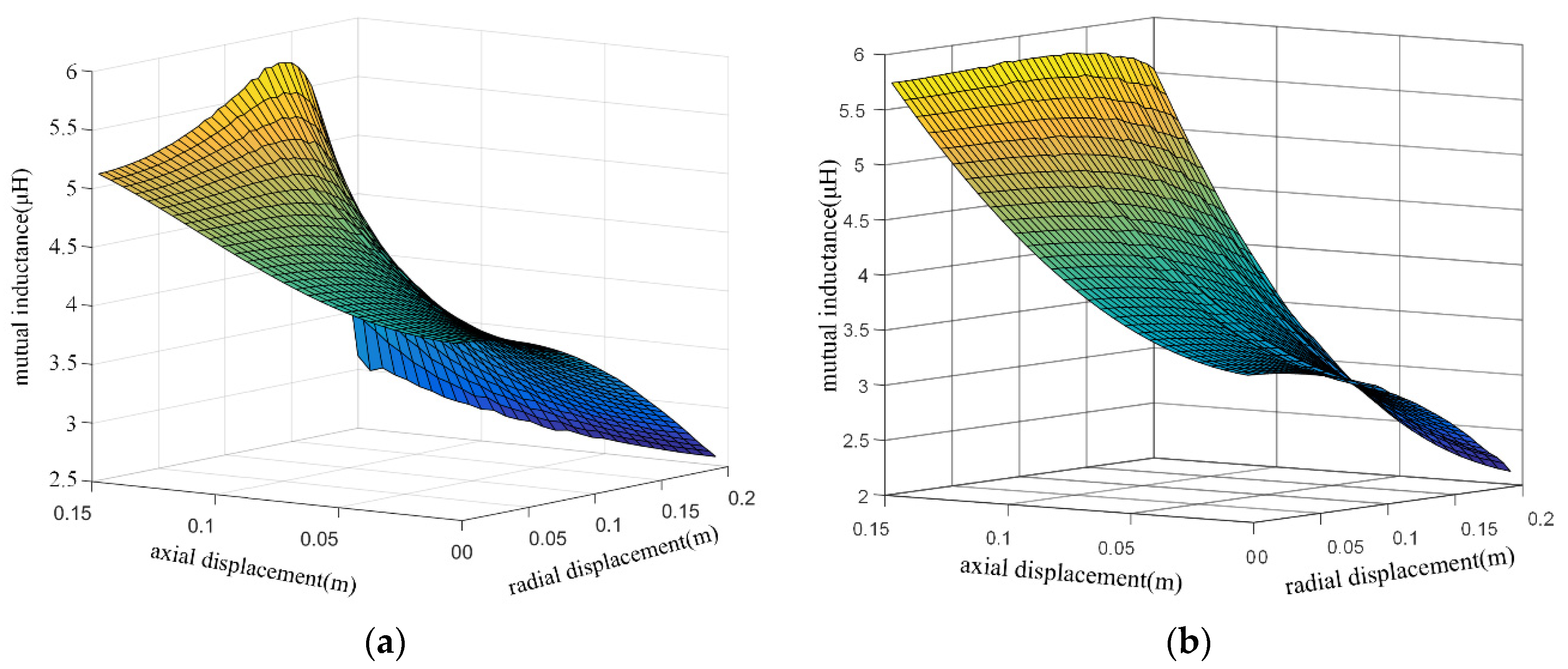
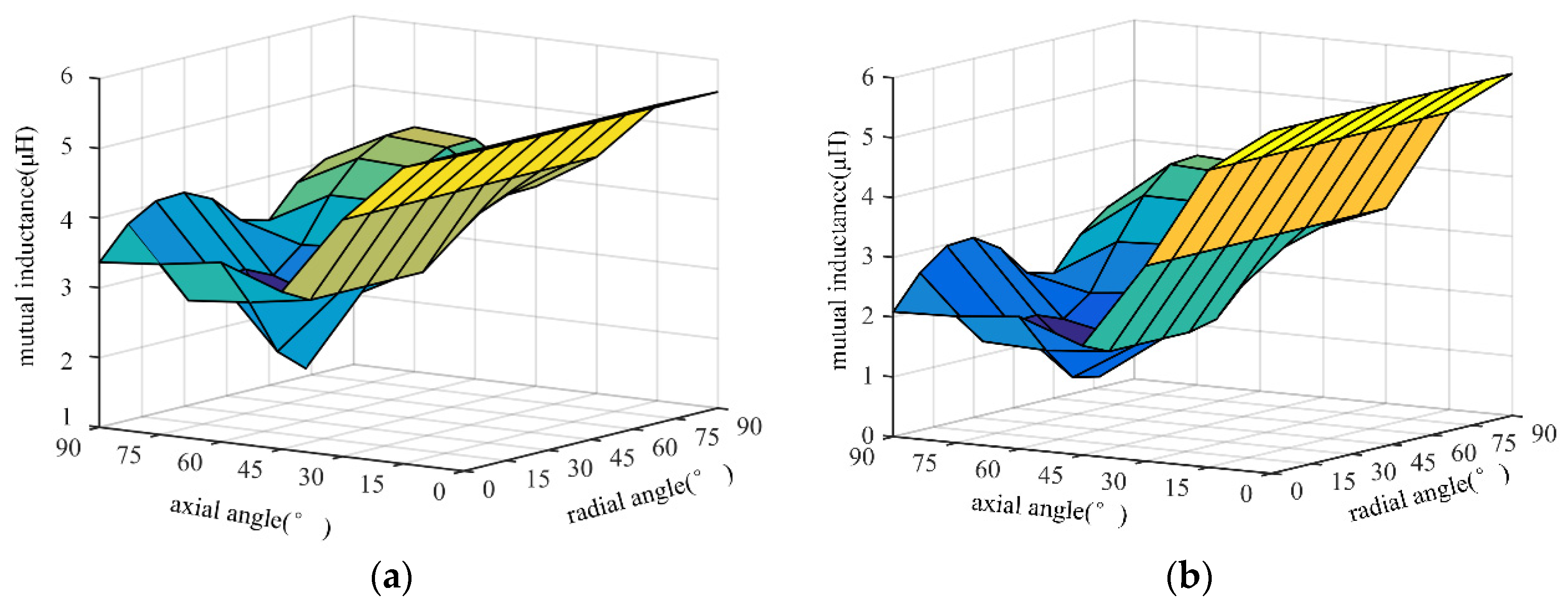
3.1. Measurement for Mutual Inductancew with Positional or Directional Misalignment
3.2. Imaging in Live Pig’s Gastro-Intestine by Capsule Endoscope
3.3. Effect of Biological Tissues on Mutual Coupling and Wireless Power Transmission
4. Discussion
4.1. Comparison of the Proposed Mutual Inductance Model with Existing Methods
4.2. Comparison of the Novel Receiving Coil with Existing Coils
5. Conclusions
Author Contributions
Ethical Approval
Funding
Conflicts of Interest
Abbreviations
| WCE | wireless capsule endoscope |
| GI | gastrointestinal |
| WPT | wireless power transmission |
| TC | transmitting coil |
| RC | receiving coil |
| FEM | finite element method |
References
- Wang, J.; Leach, M.; Lim, E.G.; Wang, Z.; Pei, R.; Huang, Y. An Implantable and Conformal Antenna for Wireless Capsule Endoscopy. IEEE Antennas Wirel. Propag. Lett. 2018, 17, 1153–1157. [Google Scholar] [CrossRef]
- Xu, Z.; Shi, L.; Wang, Y.; Zhang, J.; Huang, L.; Zhang, C.; Liu, S.; Zhao, P.; Liu, H.; Zhu, L.; et al. Pathological findings of COVID-19 associated with acute respiratory distress syndrome. Lancet Respir. Med. 2020, 8, 420–422. [Google Scholar] [CrossRef]
- Khan, T.H.; Shrestha, R.; Wahid, K.A.; Babyn, P. Design of a smart-device and FPGA based wireless capsule endoscopic system. Sens. Actuators A Phys. 2015, 221, 77–87. [Google Scholar] [CrossRef]
- Gao, J.; Yan, G. A Novel Power Management Circuit Using a Super-Capacitor Array for Wireless Powered Capsule Robot. IEEE/ASME Trans. Mechatron. 2017, 22, 1444–1455. [Google Scholar] [CrossRef]
- Liu, G.; Yan, G.; Zhu, B.; Lu, L. Design of a video capsule endoscopy system with low-power ASIC for monitoring gastrointestinal tract. Med. Biol. Eng. Comput. 2016, 54, 1779–1791. [Google Scholar] [CrossRef]
- Zhang, H.; Gao, S.-P.; Ngo, T.; Wu, W.; Guo, Y.-X. Wireless Power Transfer Antenna Alignment Using Intermodulation for Two-Tone Powered Implantable Medical Devices. IEEE Trans. Microw. Theory Tech. 2019, 67, 1708–1716. [Google Scholar] [CrossRef]
- Son, D.; Gilbert, H.; Sitti, M. Magnetically Actuated Soft Capsule Endoscope for Fine-Needle Biopsy. Soft Robot. 2019, 7, 10–21. [Google Scholar] [CrossRef]
- Basar, M.R.; Ahmad, M.Y.; Cho, J.; Ibrahim, F. An improved resonant wireless power transfer system with optimum coil configuration for capsule endoscopy. Sens. Actuators A-Phys. 2016, 249, 207–216. [Google Scholar] [CrossRef]
- Bouattour, G.; Elhawy, M.; Naifar, S.; Viehweger, C.; Ben Jmaa Derbel, H.; Kanoun, O. Multiplexed Supply of a MISO Wireless Power Transfer System for Battery-Free Wireless Sensors. Energies 2020, 13, 1244. [Google Scholar] [CrossRef]
- Geng, Y.; Pahlavan, K. Design, Implementation, and Fundamental Limits of Image and RF Based Wireless Capsule Endoscopy Hybrid Localization. IEEE Trans. Mobile Comput. 2016, 15, 1951–1964. [Google Scholar] [CrossRef]
- Han, C.; Zhang, B.; Fang, Z.; Qiu, D.; Chen, Y.; Xiao, W. Dual-Side Independent Switched Capacitor Control for Wireless Power Transfer with Coplanar Coils. Energies 2018, 11, 1472. [Google Scholar] [CrossRef]
- Shang, J.; Yu, Y. An Ultrawideband Capsule Antenna for Biomedical Applications. IEEE Antennas Wirel. Propag. Lett. 2019, 18, 2548–2551. [Google Scholar] [CrossRef]
- He, S.; Yan, G.-Z.; Ke, Q.; Wang, Z.-W.; Chen, W.-W. A wirelessly powered expanding-extending robotic capsule endoscope for human intestine. Int. J. Precis. Eng. Manuf. 2015, 16, 1075–1084. [Google Scholar] [CrossRef]
- Zhou, X.; Chen, B.; Luo, Y.; Zhu, R. Analytical Calculation of Mutual Inductance of Finite-Length Coaxial Helical Filaments and Tape Coils. Energies 2019, 12, 566. [Google Scholar] [CrossRef]
- Hui, Q.; Jin, K.; Zhu, X. Directional Radiation Technique for Maximum Receiving Power in Microwave Power Transmission System. IEEE Trans. Ind. Electron. 2019, 1, 6376–6386. [Google Scholar] [CrossRef]
- Shao, G.; Guo, Y. Hybrid Wireless Positioning and Charging With Switched Field Helmholtz Coils for Wireless Capsule Endoscopy. IEEE Trans. Microw. Theory Tech. 2020, 68, 904–913. [Google Scholar] [CrossRef]
- Khan, S.R.; Desmulliez, M.P. Towards a Miniaturized 3D Receiver WPT System for Capsule Endoscopy. Micromachines 2019, 10, 545. [Google Scholar] [CrossRef]
- Gao, J.; Yan, G. Design and Implementation of a Clamper-Based and Motor-Driven Capsule Robot Powered by Wireless Power Transmission. IEEE Access 2019, 7, 138151–138161. [Google Scholar] [CrossRef]
- Nam, S.J.; Lim, Y.J.; Nam, J.H.; Lee, H.S.; Hwang, Y.; Park, J.; Chun, H.J. 3D reconstruction of small bowel lesions using stereo camera-based capsule endoscopy. Sci. Rep. 2020, 10, 6025. [Google Scholar] [CrossRef]
- Cavlu, V.; Brennan, P. Determining the Position and Orientation of In-Body Medical Instruments Using Near-Field Magnetic Field Mapping. IEEE J. Electromagn. RF Microw. Med. Biol. 2020, 4, 10–16. [Google Scholar] [CrossRef]
- Yin, W.; Lu, M.; Tang, J.; Zhao, Q.; Zhang, Z.; Li, K.; Han, Y.; Peyton, A. Custom edge-element FEM solver and its application to eddy-current simulation of realistic 2M-element human brain phantom. Bioelectromagnetics 2018, 39, 604–616. [Google Scholar] [CrossRef] [PubMed]
- Feng, Y.J.; Chen, X.Y.; Chen, Y.; Li, M.Y.; Zeng, L.; Xie, Q. Numerical Calculation and Experimental Verification of Inductance and Critical Current Characteristics in a Solenoidal SMES Magnet. IEEE Trans. Appl. Supercond. 2019, 29, 1–5. [Google Scholar] [CrossRef]
- Liu, G.; Yan, G.; Xu, W.; Kuang, S. Dual-head wireless powered video capsule based on new type of receiving coils. J. Med. Eng. Technol. 2015, 39, 246–25224. [Google Scholar] [CrossRef] [PubMed]
- Ke, Q.; Luo, W.; Yan, G.; Yang, K. Analytical Model and Optimized Design of Power Transmitting Coil for Inductively Coupled Endoscope Robot. IEEE Trans. Biomed. Eng. 2016, 63, 694–706. [Google Scholar] [CrossRef] [PubMed]
- Tavakkoli, H.; Abbaspour-Sani, E.; Khalilzadegan, A.; Abazari, A.M.; Rezazadeh, G. Mutual inductance calculation between two coaxial planar spiral coils with an arbitrary number of sides. Microelectron. J. 2019, 85, 98–108. [Google Scholar] [CrossRef]
- Rezmerita, G.; Bobaru, L.; Stanculescu, M.; Iordache, M.; Niculae, D. A self and mutual inductance calculation resonators with finite element analysis. In Proceedings of the 2017 International Conference on Modern Power Systems (MPS), Cluj-Napoca, Romania, 6–9 June 2017; pp. 1–4. [Google Scholar]
- Basar, M.R.; Ahmad, M.Y.; Cho, J.; Ibrahim, F. An Improved Wearable Resonant Wireless Power Transfer System for Biomedical Capsule Endoscope. IEEE Trans. Ind. Electron. 2018, 65, 7772–7781. [Google Scholar] [CrossRef]
- Na, K.; Jang, H.; Ma, H.; Bien, F. Tracking Optimal Efficiency of Magnetic Resonance Wireless Power Transfer System for Biomedical Capsule Endoscopy. IEEE Trans. Microw. Theory Tech. 2015, 63, 295–304. [Google Scholar] [CrossRef]










| Modules | Power Demand/mW |
|---|---|
| Light source (Everlight) | 30 |
| CMOS imaging (OV6930) | 65 |
| Rectifier, regulator, and control circuits | 90 |
| Data transmission | 195 |
| Ref. [25], Analytic | Ref. [26], FEM | Proposed Model | ||||
|---|---|---|---|---|---|---|
| Acc | Time | Acc | Time | Acc | Time | |
| (0, 0, 0); (0, 0) | 90.85% | 6.79 s | 97.39% | 1686.97 s | 95.93% | 2.312 s |
| (0, 0.03, 0); (0, 0) | 90.38% | 7.35 s | 98.28% | 1938.94 s | 95.21% | 2.186 s |
| (0, 0.06, 0); (0, 0) | 90.53% | 7.51 s | 97.94% | 1962.33 s | 95.62% | 2.458 s |
| (0, 0.10, 0); (0, 0) | 90.02% | 7.85 s | 97.15% | 2004.81 s | 95.81% | 2.767 s |
| (0, 0, 0.03); (0, 0) | 89.28% | 6.98 s | 97.04% | 1972.89 s | 95.03% | 2.382 s |
| (0, 0, 0.06); (0, 0) | 90.68% | 8.35 s | 96.28% | 2012.45 s | 94.78% | 2.653 s |
| (0, 0, 0.09); (0, 0) | 91.26% | 10.15 s | 97.12% | 1983.93 s | 94.54% | 2.581 s |
| (0, 0.03, 0.03); (0, 0) | 90.38% | 8.81 s | 97.83% | 2139.50 s | 93.82% | 3.419 s |
| (0, 0.06, 0.06); (0, 0) | 88.27% | 14.57 s | 96.26% | 2080.58 s | 94.16% | 3.156 s |
| (0, 0.10, 0.06); (0, 0) | 90.06% | 16.89 s | 96.52% | 2339.71 s | 93.98% | 3.324 s |
| (0, 0.10, 0.06); (0,15) | - | 95.56% | 3317.68 s | 94.28% | 5.218 s | |
| (0, 0.10, 0.06); (0,45) | - | 95.26% | 3382.57 s | 93.54% | 4.972 s | |
| (0, 0.10, 0.06); (0,75) | - | 96.34% | 3658.35 s | 93.68% | 5.193 s | |
| (0, 0.10, 0.06); (15, 0) | - | 95.11% | 3427.90 s | 94.38% | 5.622 s | |
| (0, 0.10, 0.06); (45, 0) | - | 95.42% | 3520.03 s | 93.73% | 5.493 s | |
| (0, 0.10, 0.06); (75, 0) | - | 97.83% | 3486.15 s | 94.13% | 5.368 s | |
| (0, 0.10, 0.06); (15,15) | - | 96.17% | 3862.42 s | 93.56% | 6.129 s | |
| (0, 0.10, 0.06); (45,15) | - | 95.21% | 3917.52 s | 94.03% | 6.217 s | |
| (0, 0.10, 0.06); (45,45) | - | 95.78% | 3885.83 s | 93.56% | 6.861 s | |
| WPT Systems | Size of RC (mm) | Size of WCE (mm) | Frequency (kHz) | Receiving Power (mW) | Min. of | Max. of |
|---|---|---|---|---|---|---|
| Ref. [24] | 9.5 × 10.0 | 12.5 × 26.0 | 220 | 508 | 0.0024 | 0.0062 |
| Ref. [28] | 9.0 × 6.5 | 10.5 × 27.8 | 16,470 | 26 | 0.0006 | 0.0028 |
| Ref. [27] | 12 × 12 × 12 | 13.0 × 27.9 | 250 | 570 | 0.0039 | 0.0110 |
| This study | 12 × 17.3 | 12.6 × 24.1 | 220 | 394 | 0.0054 | 0.0125 |
Publisher’s Note: MDPI stays neutral with regard to jurisdictional claims in published maps and institutional affiliations. |
© 2020 by the authors. Licensee MDPI, Basel, Switzerland. This article is an open access article distributed under the terms and conditions of the Creative Commons Attribution (CC BY) license (http://creativecommons.org/licenses/by/4.0/).
Share and Cite
Kuang, S.; Yan, G.; Wang, Z. Optimization Design for Receiving Coil with Novel Structure Based on Mutual Coupling Model in Wireless Power Transmission for Capsule Endoscope. Energies 2020, 13, 6460. https://doi.org/10.3390/en13236460
Kuang S, Yan G, Wang Z. Optimization Design for Receiving Coil with Novel Structure Based on Mutual Coupling Model in Wireless Power Transmission for Capsule Endoscope. Energies. 2020; 13(23):6460. https://doi.org/10.3390/en13236460
Chicago/Turabian StyleKuang, Shuai, Guozheng Yan, and Zhiwu Wang. 2020. "Optimization Design for Receiving Coil with Novel Structure Based on Mutual Coupling Model in Wireless Power Transmission for Capsule Endoscope" Energies 13, no. 23: 6460. https://doi.org/10.3390/en13236460
APA StyleKuang, S., Yan, G., & Wang, Z. (2020). Optimization Design for Receiving Coil with Novel Structure Based on Mutual Coupling Model in Wireless Power Transmission for Capsule Endoscope. Energies, 13(23), 6460. https://doi.org/10.3390/en13236460

