Integration Design and Operation Strategy of Multi-Energy Hybrid System Including Renewable Energies, Batteries and Hydrogen
Abstract
1. Introduction
- (1)
- This paper presents a hybrid AC/DC bus structure utilizing a photovoltaic panel, battery and fuel cell that all generate DC power, with a DC load in the system. The distributed generation and load can be directly connected to the DC bus. Thus, the converters are reduced and the efficiency of the multi-energy integrated system is improved. Although an AC/DC hybrid structure has been mentioned in some studies, previous devices have still worked using AC power, and remained connected to an AC bus. Therefore, they have only been connected to a DC bus by a converter.
- (2)
- The objective of the system’s operation is to ensure sufficient hydrogen output and a reliable power supply. The main role of the hydrogen energy subsystem is not to provide supplementary energy for the regulating power system. Hydrogen is directly transported to the hydrogen station through the pipeline to the fuel cell bus. In addition, hydrogen is added to the natural gas pipeline at a certain ratio as a mixed fuel.
- (3)
- Due to the uncertainty of renewable energy and the fluctuations of loads, a control method based on an expert strategy is proposed and verified using multiple scenarios. The working states are monitored for the operation strategy, such as the state of charge and the hydrogen storage level. The eight operation scenarios fully reflect the randomness of the entire system.
- (4)
- The physical equipment platform of a multi-energy system is built that contains a wind turbine, photovoltaic panel, PEM electrolyzer, PEM fuel cell, hydrogen storage tank, battery, load and central controller. The working characteristic of each unit is tested, such as the fuel cell. The effectiveness of the operation strategy is verified by means of a physical platform rather than the software simulation.
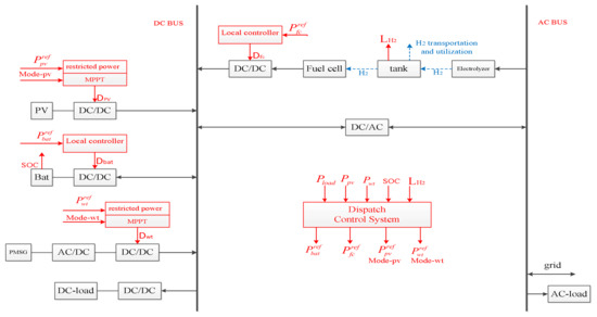
2. Architecture of Multi-Energy Integrated System
3. Unit Characteristics of the Multi-Energy System
3.1. Wind Turbine
3.2. Photovoltaic Panel
3.3. PEM Electrolyzer
3.4. PEM Fuel Cell
3.5. Battery
4. System Operation Strategy
4.1. Performance Indicator
4.2. System Optimization Function
- (1)
- In order to meet the hydrogen demand of fuel cell buses and other industries, sufficient hydrogen production must be ensured. Thus, a high hydrogen storage level needs to be maintained, and the corresponding optimization function is as follows:
- (2)
- Energy loss occurs during the “electricity–hydrogen–electricity” conversion process in the fuel cell and electrolyzer equipment. In addition, energy loss also occurs in the battery’s charging and discharging processes. Thus, high efficiency of the system needs to be met, and the corresponding optimization function is as follows:
- (3)
- In order to improve the reliability of system’s power supply, loss of load probability needs to be reduced. The corresponding optimization function is as follows:
- (4)
- Wind and photovoltaic power should be used to a maximum extent. Thus, it is necessary to curtail reductions of wind and photovoltaic power while improving the penetration rate of renewable energy. The corresponding optimization function is as follows:
4.3. System Optimization Method
- (1)
- The condition for starting the fuel cell is . The condition for starting the electrolyzer is , where is the pressure of the hydrogen storage tank, is the minimum pressure of the hydrogen storage required to maintain the start-up of the fuel cell, and is maximum safety pressure of hydrogen storage tank.
- (2)
- The following condition for the fuel cell must be met: , where is the working power of the fuel cell and is the rated power of the fuel cell.
- (3)
- Power fluctuation can reduce the efficiency and purity of the hydrogen production. In order to solve the problems, the electrolyzer operates under a constant power condition (i.e., , where is the rated power of the electrolyzer).
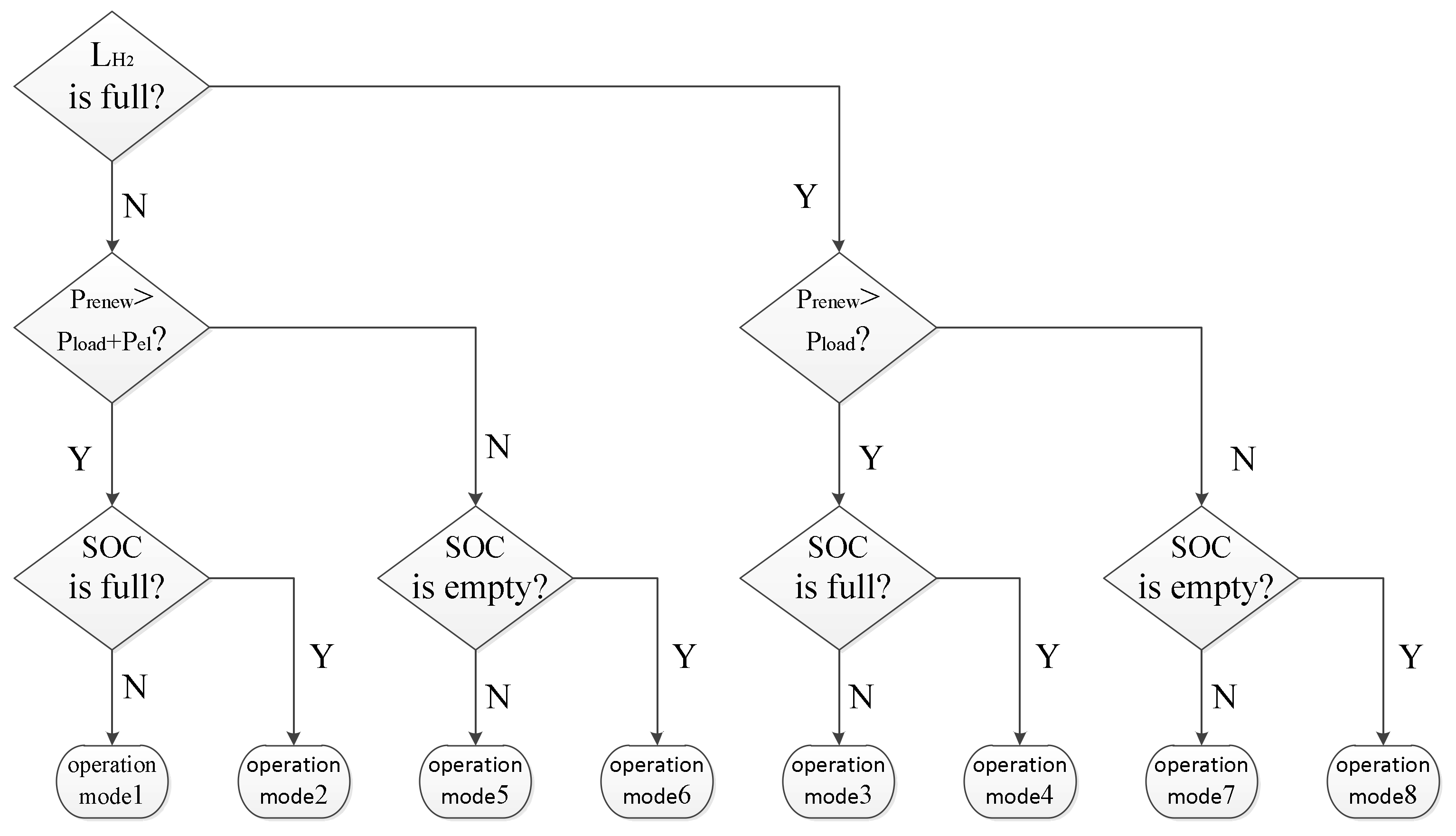
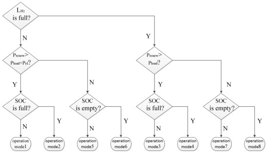
4.4. Operation Modes Analysis
- (1)
- Operation mode 1
- (2)
- Operation mode 2
- (3)
- Operation mode 3
- (4)
- Operation mode 4
- (5)
- Operation mode 5
- (6)
- Operation mode 6
- (7)
- Operation mode 7
- (8)
- Operation mode 8
5. Experiment Result and Analysis
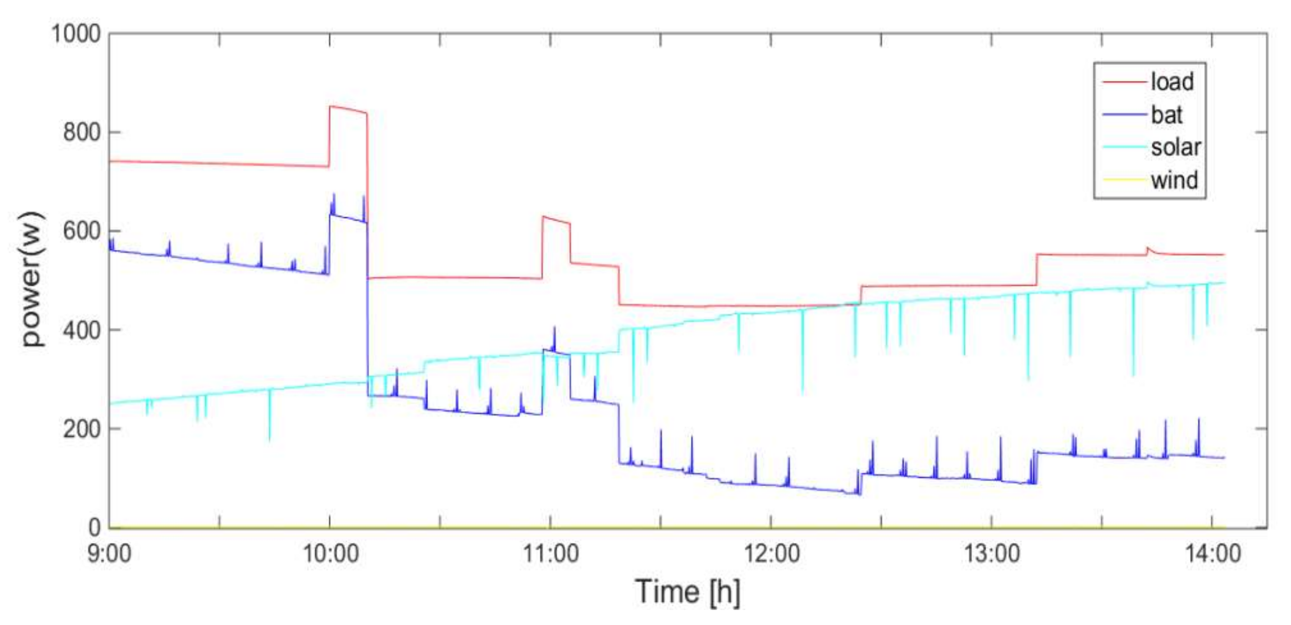
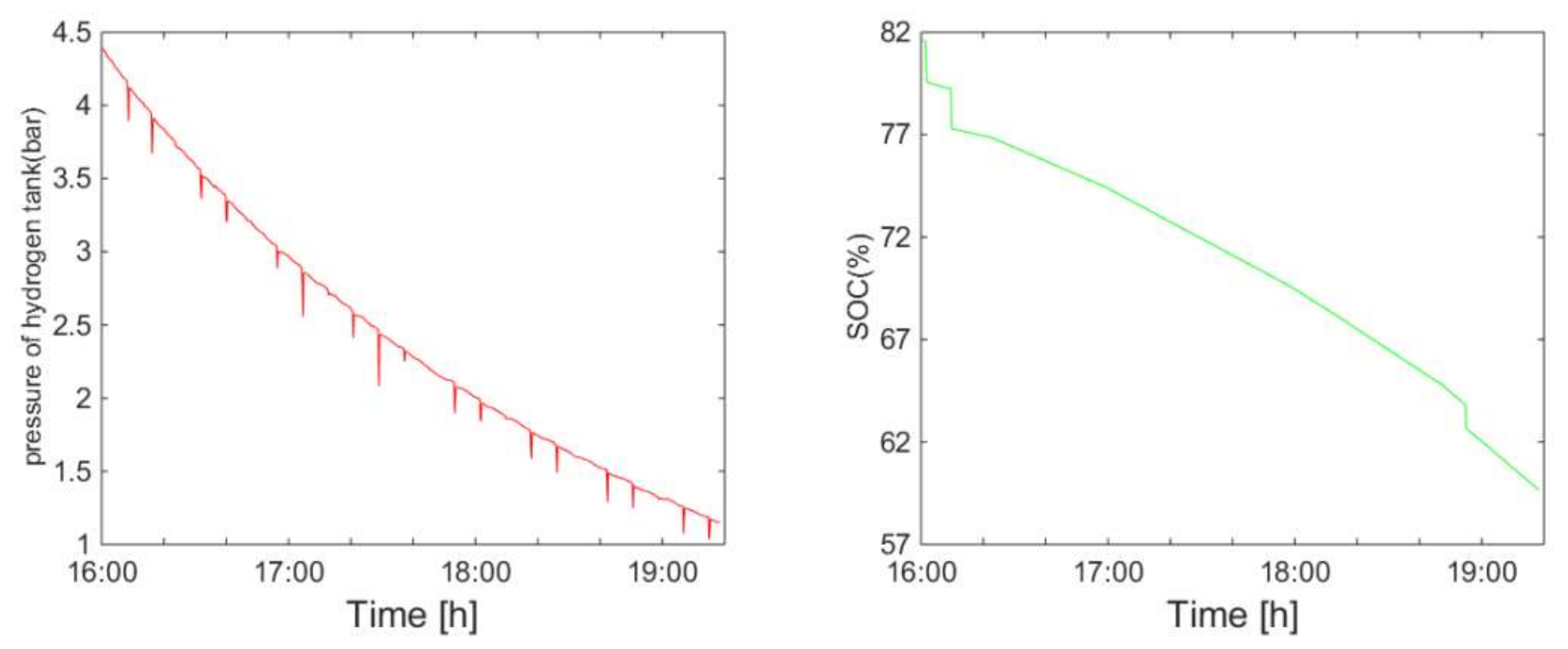
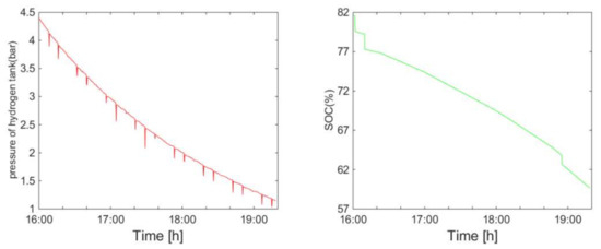
5.1. Scenario 1
5.2. Scenario 2
5.3. Scenario 3
5.4. Scenario 4
5.5. Scenario 5
5.6. Scenario 6
5.7. Scenario 7
5.8. Scenario 8
5.9. Performance Analysis
6. Conclusions
Author Contributions
Funding
Conflicts of Interest
References
- Esa, P.; Hannele, H.; Tiina, K. Path toward 100% renewable energy future and feasibility of power-to-gas technology in Nordic countries. IET Renew. Power Gener. 2017, 11, 1695–1706. [Google Scholar]
- Md, S.A.; Seyed, A. Energy Management in Power Distribution Systems: Review, Classification, Limitations and Challenges. IEEE Access 2019, 7, 92979–93001. [Google Scholar]
- Rahbar, K.; Chai, C.C.; Zhang, R. Energy Cooperation Optimization in Microgrids with Renewable Energy Integration. IEEE Trans. Smart Grid 2018, 9, 1482–1493. [Google Scholar] [CrossRef]
- Mendis, N.; Muttaqi, K. An Effective Power Management Strategy for a Wind–Diesel–Hydrogen-Based Remote Area Power Supply System to Meet Fluctuating Demands under Generation Uncertainty. IEEE Trans. Ind. Appl. 2015, 51, 1228–1238. [Google Scholar] [CrossRef]
- Luis, V.; Felipe, R.; Carlos, B. Planning and Management of a Hydrogen-Based Microgrid. IEEE Trans. Ind. Inform. 2013, 9, 1398–1404. [Google Scholar]
- Raúl, S.; Luis, M. Electrolyzer models for hydrogen production from wind energy systems. Int. J. Hydrogen Energy 2015, 40, 2927–2938. [Google Scholar]
- Pablo, G.; Juan, P. Improving long-term operation of power sources in off-grid hybrid systems based on renewable energy, hydrogen and battery. J. Power Sources 2014, 265, 149–159. [Google Scholar]
- Pablo, G.; Luis, M. Energy Management System of Fuel-Cell-Battery Hybrid Tramway. IEEE Trans. Ind. Electron. 2010, 57, 4013–4023. [Google Scholar]
- Ridong, Z.; Jili, T. GA-Based Fuzzy Energy Management System for FC/SC-Powered HEV Considering H2 Consumption and Load Variation. IEEE Trans. Fuzzy Syst. 2018, 26, 1833–1843. [Google Scholar]
- Juan, P.; Pablo, G. Predictive Control for the Energy Management of a Fuel Cell Battery Supercapacitor Tramway. IEEE Trans. Ind. Inform. 2014, 10, 276–285. [Google Scholar]
- Pablo, G.; Francisco, L.; Carlos, A. Long-term optimization based on PSO of a grid-connected renewable energy/battery/hydrogen hybrid system. Int. J. Hydrogen Energy 2014, 39, 10805–10816. [Google Scholar]
- Wang, C.; Yang, X.; Wu, Z.; Che, Y.; Guo, L.; Zhang, S.; Liu, Y. Highly Integrated and Reconfigurable Microgrid Testbed with Hybrid Distributed Energy Sources. IEEE Trans. Smart Grid 2016, 7, 451–459. [Google Scholar] [CrossRef]
- Phatiphat, T.; Matheepot, P. Differential Flatness Based-Control Strategy of a Two-Port Bidirectional Supercapacitor Converter for Hydrogen Mobility Applications. Energies 2020, 13, 2794. [Google Scholar]
- Osman Haruni, A.M.; Michael Negnevitsky, M. A Novel Operation and Control Strategy for a Standalone Hybrid Renewable Power System. IEEE Trans. Sustain. Energy 2013, 4, 402–413. [Google Scholar] [CrossRef]
- Luis, V.; Carlos, B.; Felipe, R. Integration of Fuel Cell Technologies in Renewable-Energy-Based Microgrids Optimizing Operational Costs and Durability. IEEE Trans. Ind. Electron. 2016, 63, 167–177. [Google Scholar]
- Manuel, C.; Antonio, C. Sizing optimization, dynamic modeling and energy management strategies of a stand-alone PV/hydrogen/battery-based hybrid system. Int. J. Hydrogen Energy 2013, 38, 3830–3845. [Google Scholar]
- Pablo, G.; Juan, P.T.; Luis, M.F. Optimal energy management system for stand-alone wind turbine/photovoltaic/hydrogen/battery hybrid system with supervisory control based on fuzzy logic. Int. J. Hydrogen Energy 2013, 38, 14146–14158. [Google Scholar]
- Pablo, G.; Luis, M.F. Optimized operation combining costs, efficiency and lifetime of a hybrid renewable energy system with energy storage by battery and hydrogen in grid-connected applications. Int. J. Hydrogen Energy 2016, 41, 23132–23144. [Google Scholar]
- Juan, P.T.; Pablo, G. Control based on techno-economic optimization of renewable hybrid energy system for stand-alone applications. Expert Syst. Appl. 2016, 51, 59–75. [Google Scholar]
- Pablo, G.; Juan, P.T. Energy management system based on techno-economic optimization for microgrids. Electr. Power Syst. Res. 2016, 131, 49–59. [Google Scholar]
- Felix, G.; Carlos, B. Optimal Economical Schedule of Hydrogen-Based Microgrids with Hybrid Storage Using Model Predictive Control. IEEE Trans. Ind. Electron. 2015, 62, 5195–5207. [Google Scholar]
- Garcia, P.; Garcia, C. ANFIS-based control of a grid-connected hybrid system integrating renewable energies, hydrogen and batteries. IEEE Trans. Ind. Inform. 2014, 10, 1107–1117. [Google Scholar] [CrossRef]
- Felipe, V.; Doris, S.; Jorge, C. Robust Energy Management System Based on Interval Fuzzy Models. IEEE Trans. Control Syst. Technol. 2016, 24, 140–157. [Google Scholar]
- Felipe, V.; Jorge, C.; Doris, S. Robust Energy Management System for a Microgrid Based on a Fuzzy Prediction Interval Model. IEEE Trans. Smart Grid 2016, 7, 1486–1494. [Google Scholar]
- Mehdi, R.; Mohsen, M.; Caisheng, W. Optimal fuzzy-based power management for real time application in a hybrid generation system. IET Renew. Power Gener. 2017, 11, 1325–1334. [Google Scholar]
- Zhang, R.; Tao, J.; Zhou, H. Fuzzy Optimal Energy Management for Fuel Cell and Supercapacitor Systems Using Neural Network Based Driving Pattern Recognition. IEEE Trans. Fuzzy Syst. 2019, 27, 45–57. [Google Scholar] [CrossRef]
- Melo, D.; Chang, C. Synergistic control between hydrogen storage and offshore wind farm for grid operation. IEEE Trans. Sustain. Energy 2014, 5, 18–27. [Google Scholar] [CrossRef]
- Senjyu, T.; Nakaji, K. A hybrid power system using alternative energy facilities in isolated island. IEEE Trans. Energy Convers. 2005, 20, 406–414. [Google Scholar] [CrossRef]
- Phatiphat, T.; Suwat, S.; Pongsiri, M. DC Bus Stabilization of Li-Ion Battery Based Energy Storage for a Hydrogen/Solar Power Plant for Autonomous Network Applications. IEEE Trans. Ind. Appl. 2015, 51, 2717–2725. [Google Scholar]
- Katayoun, R.; Jie, X.; Rui, Z. Real-Time Energy Storage Management for Renewable Integration in Microgrid: An Off-Line Optimization Approach. IEEE Trans. Smart Grid 2015, 6, 124–134. [Google Scholar]
- Trifkovic, M.; Sheikhzadeh, M. Modeling and control of a renewable hybrid energy system with hydrogen storage. IEEE Trans. Control Syst. Technol. 2014, 22, 169–179. [Google Scholar] [CrossRef]
- Tao, Z.; Bruno, F. Real-Time Emulation of a Hydrogen-Production Process for Assessment of an Active Wind-Energy Conversion System. IEEE Trans. Ind. Electron. 2009, 56, 737–746. [Google Scholar]
- Ali Pourmousavi, S.; Hashem Nehrir, M. Real-Time Energy Management of a Stand-Alone Hybrid Wind-Microturbine Energy System Using Particle Swarm Optimization. IEEE Trans. Sustain. Energy 2010, 1, 193–201. [Google Scholar] [CrossRef]
- Lee, D.J.; Wang, L. Small-Signal Stability Analysis of an Autonomous Hybrid Renewable Energy Power Generation/Energy Storage System Part I: Time-Domain Simulations. IEEE Trans. Energy Convers. 2008, 23, 311–320. [Google Scholar] [CrossRef]
- AhmadiS, M. Performance of a standalone wind-hydrogen power system for regions with seasonal wing profile: A case study in Khaf region. Sustain. Energy Technol. Assess. 2014, 7, 266–278. [Google Scholar]
- Mathiesen, B.V.; Lund, H. Comparative analyses of seven technologies to facilitate the integration of fluctuating renewable energy sources. IET Renew. Power Gener. 2009, 3, 190–204. [Google Scholar] [CrossRef]
- Juan, P.T.; Pablo, G. Energy dispatching based on predictive controller of an off-grid wind turbine/photovoltaic/hydrogen/battery hybrid system. Renew. Energy 2015, 74, 326–336. [Google Scholar]
- Loong, Y.; Dahari, M. Development of a system configuration for a solar powered hydrogen facility using fuzzy logic control. J. Zhejiang Univ. Sci. A Appl. Phys. Eng. 2013, 14, 822–834. [Google Scholar] [CrossRef]
- Agbossou, K.; Kolhe, M. Performance of a stand-alone renewable energy system based on energy storage as hydrogen. IEEE Trans. Energy Convers. 2004, 19, 633–640. [Google Scholar] [CrossRef]
- Jerónimo, J.M.; Paul, F.P. Development and Implementation of a Supervisor Strategy and Sliding Mode Control Setup for Fuel-Cell-Based Hybrid Generation Systems. IEEE Trans. Energy Convers. 2015, 30, 218–225. [Google Scholar]
- Cai, G.; Kong, L. Techno-economic analysis of wind curtailment/hydrogen production /fuel cell vehicle system with high wind penetration in china. CSEE J. Power Energy Syst. 2017, 3, 44–52. [Google Scholar] [CrossRef]
- Brunetto, C.; Tina, G. Optimal hydrogen storage sizing for wind power plants in day ahead electricity market. IET Renew. Power Gener. 2007, 1, 220–226. [Google Scholar] [CrossRef]
- Antonio, C.; Francisco, J.; Higinio, S. Optimal sizing of stand-alone hybrid systems based on PV/WT/FC by using several methodologies. J. Energy Inst. 2014, 87, 330–340. [Google Scholar]
- Hamed, B.; Ramezan, A. Multi-criteria optimal sizing of hybrid renewable energy systems including wind, photovoltaic, battery, and hydrogen storage with ɛ-constraint method. IET Renew. Power Gener. 2018, 12, 883–892. [Google Scholar]
- Takahashi, R.; Kinoshita, H. Output power smoothing and hydrogen production by using variable speed wind generators. IEEE Trans. Ind. Electron. 2010, 57, 485–493. [Google Scholar] [CrossRef]
- Khalid, F. Analysis and assessment of an integrated hydrogen energy system. Int. J. Hydrogen Energy 2015, 41, 7960–7967. [Google Scholar] [CrossRef]
- Wai, R.J.; Jhung, S.J.; Liaw, J.J.; Chang, Y.R. Intelligent Optimal Energy Management System for Hybrid Power Sources Including Fuel Cell and Battery. IEEE Trans. Power Electron. 2013, 28, 3231–3244. [Google Scholar] [CrossRef]
- Won, W.; Kwon, H. Design and operation of renewable energy sources based hydrogen supply system: Technology integration and optimization. Renew. Energy 2017, 103, 226–238. [Google Scholar] [CrossRef]
- Sungjin, L.; Beom, K. Joint Energy Management System of Electric Supply and Demand in Houses and Buildings. IEEE Trans. Power Syst. 2014, 29, 2804–2812. [Google Scholar]
- Christopher, O.A.; Lingfeng, W. Autonomous Appliance Scheduling for Household Energy Management. IEEE Trans. Smart Grid 2014, 5, 673–682. [Google Scholar]
- Adriana, C.; Nelson, L.D. Mixed integer Linear Programming Based Energy Management System for Hybrid PV Wind Battery Microgrids: Modeling, Design, and Experimental Verification. IEEE Trans. Power Electron. 2017, 32, 2769–2783. [Google Scholar]
- Gao, D.; Jiang, D. An integrated energy storage system based on hydrogen storage: Process configuration and case studies with wind power. Energy 2014, 66, 332–341. [Google Scholar] [CrossRef]
- Fan, X.; Wang, W. Hybrid pluripotent coupling system with wind and photovoltaic-hydrogen energy storage and the coal chemical industry in Hami, Xinjiang. Renew. Sustain. Energy Rev. 2017, 72, 950–960. [Google Scholar] [CrossRef]
- Brka, A.; Kothapalli, G. Predictive power management strategies for stand-alone hydrogen systems: Lab-scale validation. Int. J. Hydrogen Energy 2015, 40, 9907–9916. [Google Scholar] [CrossRef]
- Garcia-Trivino, P.; GilMena, A. Power control based on particle swarm optimization of grid-connected inverter for hybrid renewable energy system. Energy Convers. Manag. 2015, 91, 83–92. [Google Scholar] [CrossRef]
- Nicu, B.; Valentin, A.S.; Angel, C.C. Optimization of the Fuel Cell Renewable Hybrid Power System Using the Control Mode of the Required Load Power on the DC Bus. Energies 2019, 12, 1889. [Google Scholar]
- Nicu, B.; Phatiphat, T. Energy Efficiency and Fuel Economy of a Fuel Cell/Renewable Energy Sources Hybrid Power System with the Load-Following Control of the Fueling Regulators. Mathematics 2020, 8, 151. [Google Scholar]
- Abdallah, T. Energy Management in the Decentralized Generation Systems Based on Renewable Energy—Ultracapacitors and Battery to Compensate the Wind/Load Power Fluctuations. IEEE Trans. Ind. Appl. 2015, 51, 1817–1827. [Google Scholar]
- Zhu, Y.; Cheng, M.; Hua, W.; Wang, W. A Novel Maximum Power Point Tracking Control for Permanent Magnet Direct Drive Wind Energy Conversion Systems. Energies 2012, 5, 1398–1412. [Google Scholar] [CrossRef]
- Zhang, Y.; Sun, H.X. Research on maximum power point tracking method of photovoltaic power generation. J. Intell. Fuzzy Syst. 2019, 37, 3149–3162. [Google Scholar] [CrossRef]
- Qi, W.; Liu, J.; Christofides, P.D. Distributed Supervisory Predictive Control of Distributed Wind and Solar Energy Systems. IEEE Trans. Control Syst. Technol. 2013, 21, 504–512. [Google Scholar] [CrossRef]
- Wei, Q.; Shi, G.; Song, R.; Liu, Y. Adaptive Dynamic Programming-Based Optimal Control Scheme for Energy Storage Systems with Solar Renewable Energy. IEEE Trans. Ind. Electron. 2017, 64, 5468–5478. [Google Scholar] [CrossRef]
- Fang, R.; Liang, Y. Control strategy of electrolyzer in a wind-hydrogen system considering the constraints of switching times. Int. J. Hydrogen Energy 2019, 44, 25104–25111. [Google Scholar] [CrossRef]
- Sun, L.; Wu, G.; Xue, Y.; Shen, J.; Li, D.; Lee, K.Y. Coordinated Control Strategies for Fuel Cell Power Plant in a Microgrid. IEEE Trans. Energy Convers. 2018, 33, 1–9. [Google Scholar] [CrossRef]
- Shen, J.; Khaligh, A. A Supervisory Energy Management Control Strategy in a Battery/Ultracapacitor Hybrid Energy Storage System. IEEE Trans. Transp. Electrif. 2015, 1, 223–231. [Google Scholar] [CrossRef]
- Wang, C.; Nehrir, M.H. Power Management of a Stand-Alone Wind/Photovoltaic/Fuel Cell Energy System. IEEE Trans. Energy Convers. 2008, 23, 957–967. [Google Scholar] [CrossRef]

























| Unit | Manufacturer | Parameters |
|---|---|---|
| Photovoltaic panel | Axitec AC-250P×4 | 1 KW |
| Wind turbine | Primus Wind Power Air 30 | 0.4 KW |
| Wind turbine | Wind speed (cut in) | 3 m/s |
| Wind turbine | Wind speed (cut off) | 12.5 m/s |
| Wind turbine | Wind speed (max) | 49 m/s |
| Hydrogen storage tan | Ovonic Model 85G250B-NPT×3 | 10 bar,500 sl per tank |
| PEMFC | Heliocentris Nexa 1200 | 1.2 KW |
| PEMFC | Max current | 60 A |
| PEMFC | Output voltage | 20–36 VDC |
| PEM electrolyzer | Schmidlin NM-H2 PLUS | 0.4 KW |
| Lead acid battery | Banner Stand-by Bull SBV 12-55×4 | 55 AH |
| Mode | Power Equation | Renewables | Electrolyzer | H2 Tank | Fuel Cell | Battery | Grid |
|---|---|---|---|---|---|---|---|
| 1 | Equation (19) | MPPT | ON | not full | OFF | not full/charge | OFF |
| 2 | Equation (20) | MPPT | ON | not full | OFF | full/OFF | ON/sell |
| Equation (21) | restricted power | ON | not full | OFF | full/OFF | OFF | |
| 3 | Equation (22) | MPPT | OFF | full | OFF | not full/charge | OFF |
| 4 | Equation (23) | MPPT | OFF | full | OFF | full/OFF | ON/sell |
| Equation (24) | restricted power | OFF | full | OFF | full/OFF | OFF | |
| 5 | Equation (25) | MPPT | ON | not full | OFF | not empty/discharge | OFF |
| 6 | Equation (26) | MPPT | ON | not full | OFF | empty/charge | ON/buy |
| 7 | Equation (27) | MPPT | OFF | full | ON | not empty/discharge | OFF |
| 8 | Equation (28) | MPPT | OFF | full | ON | empty/charge | OFF |
| Performance Indicators | This Paper | Reference [19] | Traditional Method |
|---|---|---|---|
| utilization ratio of renewable energy (URRE) | 91.2% | not mentioned | 91.2% |
| hydrogen storage level (HSL) | 71.4% | 54.4% | 51.3% |
| efficiency of the integrated system (η) | 70.2% | 56.6% | 80.6% |
| loss of load probability (LLP) | 7.3% | 1.68% | 6.1% |
Publisher’s Note: MDPI stays neutral with regard to jurisdictional claims in published maps and institutional affiliations. |
© 2020 by the authors. Licensee MDPI, Basel, Switzerland. This article is an open access article distributed under the terms and conditions of the Creative Commons Attribution (CC BY) license (http://creativecommons.org/licenses/by/4.0/).
Share and Cite
Zhang, Y.; Sun, H.; Guo, Y. Integration Design and Operation Strategy of Multi-Energy Hybrid System Including Renewable Energies, Batteries and Hydrogen. Energies 2020, 13, 5463. https://doi.org/10.3390/en13205463
Zhang Y, Sun H, Guo Y. Integration Design and Operation Strategy of Multi-Energy Hybrid System Including Renewable Energies, Batteries and Hydrogen. Energies. 2020; 13(20):5463. https://doi.org/10.3390/en13205463
Chicago/Turabian StyleZhang, Yi, Hexu Sun, and Yingjun Guo. 2020. "Integration Design and Operation Strategy of Multi-Energy Hybrid System Including Renewable Energies, Batteries and Hydrogen" Energies 13, no. 20: 5463. https://doi.org/10.3390/en13205463
APA StyleZhang, Y., Sun, H., & Guo, Y. (2020). Integration Design and Operation Strategy of Multi-Energy Hybrid System Including Renewable Energies, Batteries and Hydrogen. Energies, 13(20), 5463. https://doi.org/10.3390/en13205463
