Research on Vacuum Arc Commutation Characteristics of a Natural-Commutate Hybrid DC Circuit Breaker
Abstract
1. Introduction
2. Theoretical Analysis
2.1. Principle of NHCB
2.2. Vacuum Arc Commutation Model
2.3. Influence of Main Parameters on Vacuum Arc Commutation Characteristics
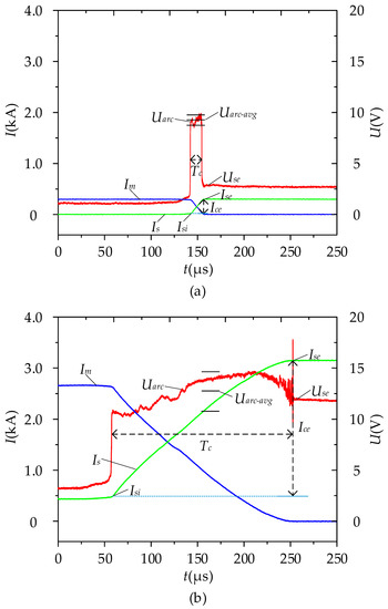
3. Test Configuration
4. Experimental Results
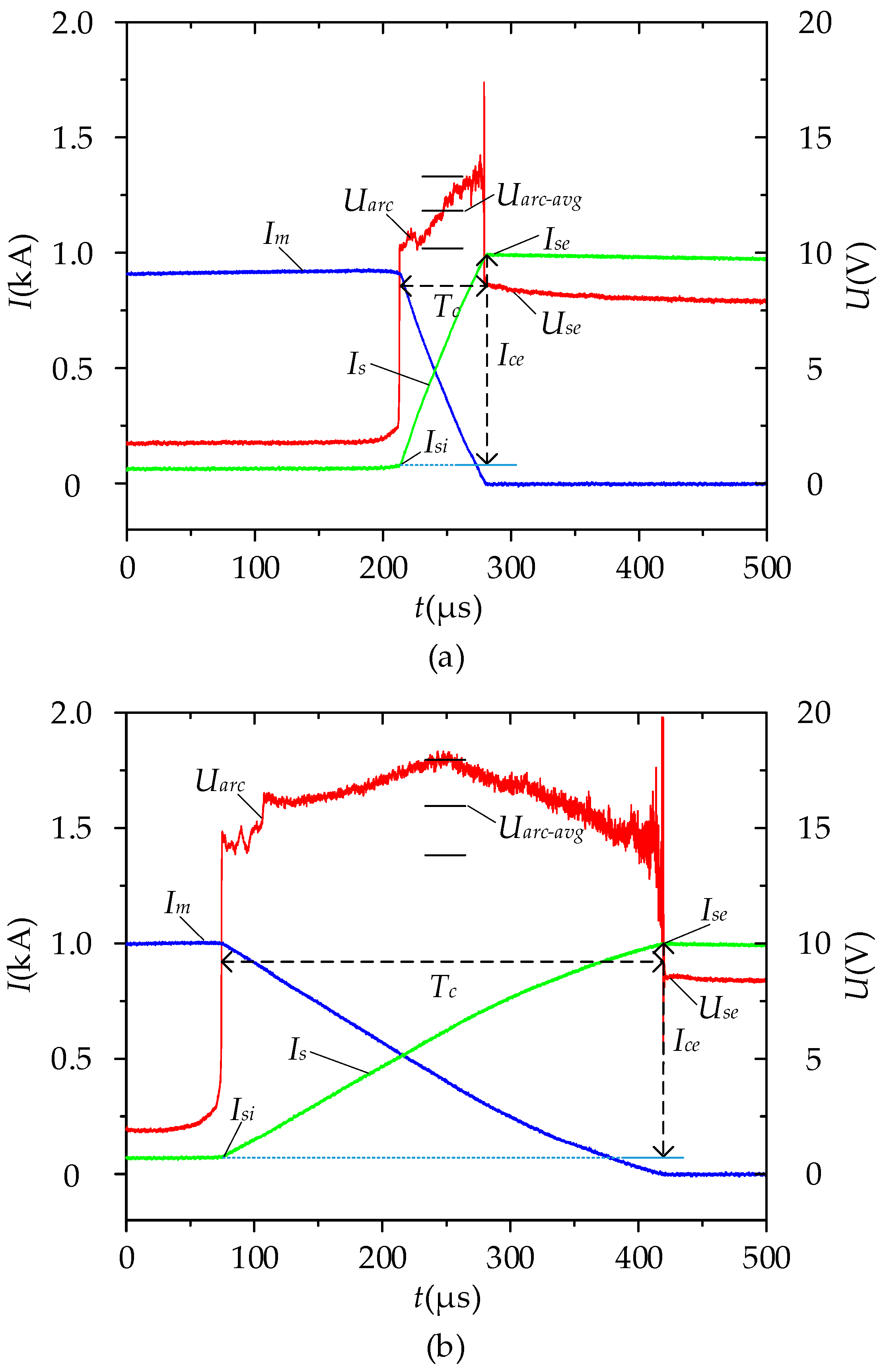
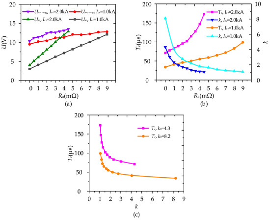
4.1. Influence of Stray Inductance of the SS
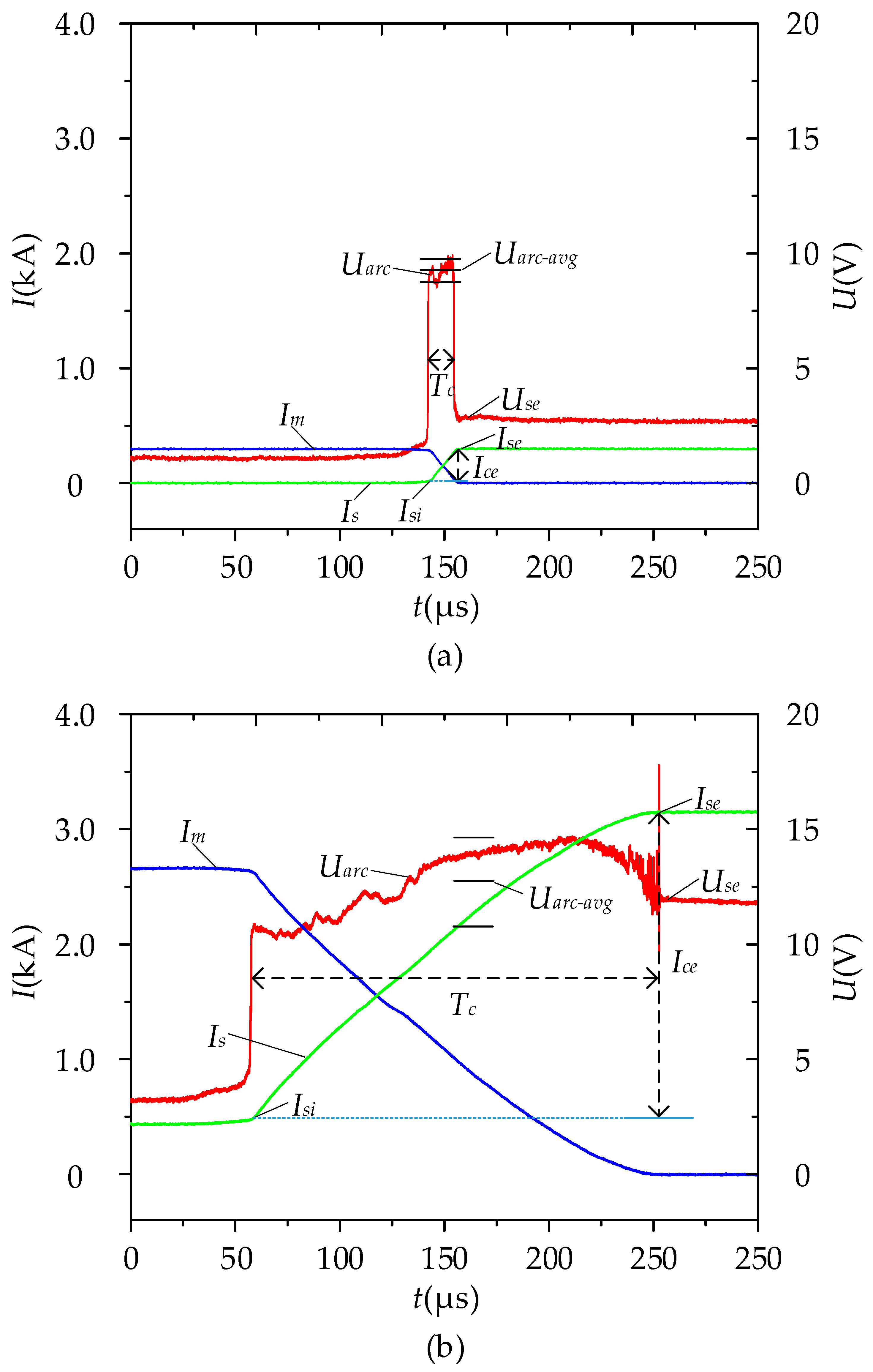
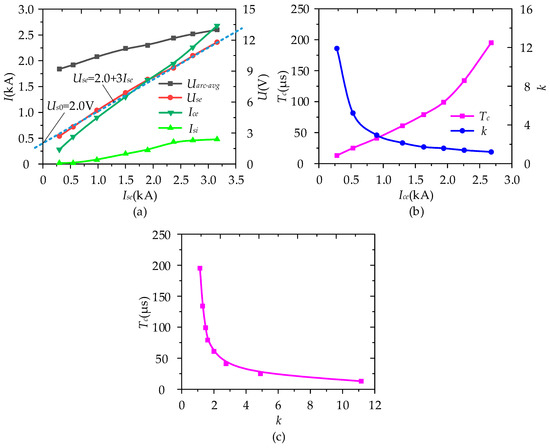
4.2. Influence of the Final Commutation Current
4.3. Influence of the On-State Resistance of the SS
5. Discussion
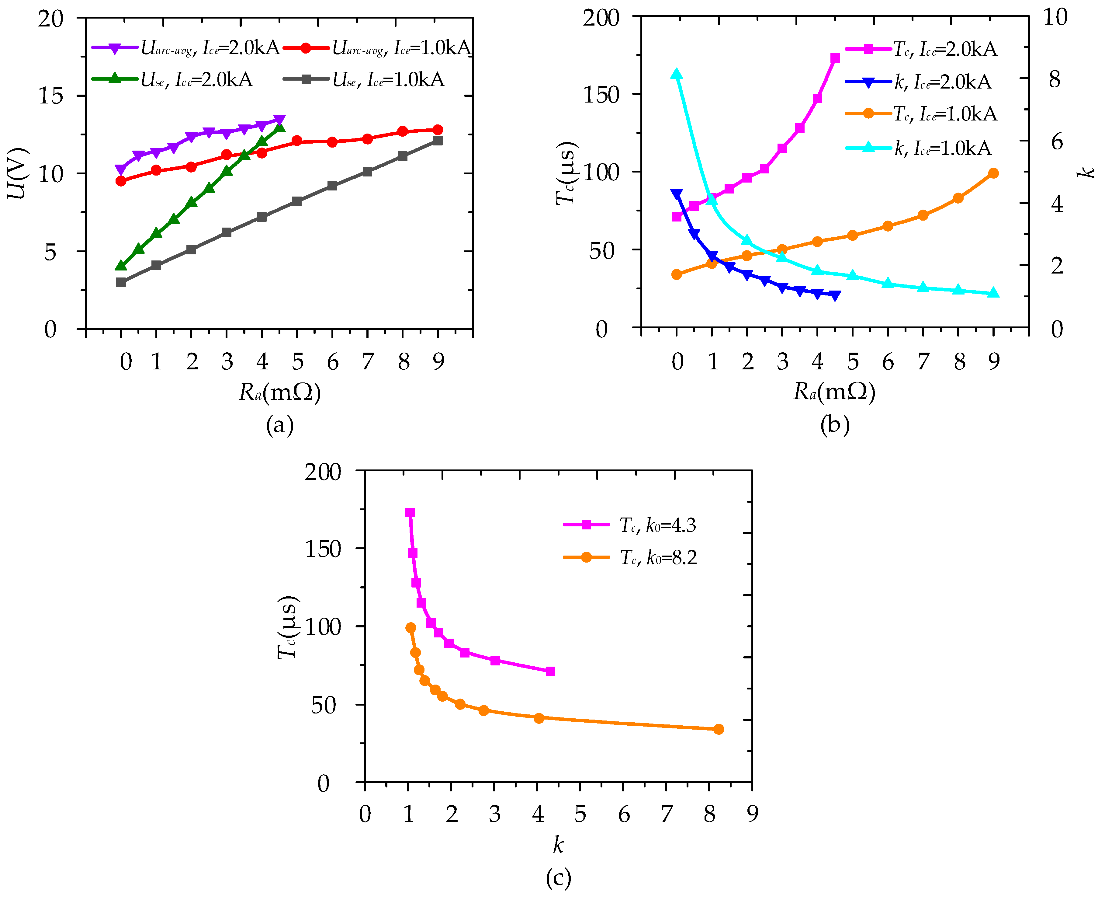
5.1. Vacuum Arc Commutation Coefficient
5.2. Influence of the Main Parameters on the Vacuum Arc Voltage
6. Conclusions
Author Contributions
Funding
Conflicts of Interest
References
- Chen, Z.; Yu, Z.; Zhang, X.; Wei, T.; Lyu, G.; Qu, L.; Huang, Y.; Zeng, R. Analysis and Experiments for IGBT, IEGT, and IGCT in Hybrid DC Circuit Breaker. IEEE Trans. Ind. Electron. 2018, 65, 2883–2892. [Google Scholar] [CrossRef]
- Martin, B.; Jens, W.; Steffen, B. Comparison of IGCT and IGBT for the use in the modular multilevel converter for HVDC applications. In Proceedings of the IEEE 9th International Multi-Conference on Systems, Signals and Devices, Chemnitz, Germany, 20–23 March 2012. [Google Scholar]
- Bernet, S.; Teichmann, R.; Zuckerberger, A.; Steimer, P. Comparison of high-power IGBT’s and hard-driven GTO’s for high-power inverters. IEEE Trans. Ind. Appl. 1999, 35, 487–497. [Google Scholar] [CrossRef]
- Zhou, Y.; Huang, Y.; Pang, J.; Wang, K. Remaining useful life prediction for supercapacitor based on long short-term memory neural network. J. Power Sources 2019, 440, 227149. [Google Scholar] [CrossRef]
- Geider, P.V.; Ferreira, J.A. Zero volt switching hybrid DC circuit breakers. In Proceedings of the IEEE Industry Applications Society Annual Meeting, Rome, Italy, 8–12 October 2000; Volume 5, pp. 2923–2927. [Google Scholar]
- Ahmad, M.; Wang, Z. A Hybrid DC Circuit Breaker with Fault-Current-Limiting Capability for VSC-HVDC Transmission System. Energies 2019, 12, 2388. [Google Scholar] [CrossRef]
- Swati, R.; Devenkumar, K.; Chragkumar, D.; Subrata, P. Development of a Prototype Hybrid DC Circuit Breaker for Superconducting Magnets Quench Protection. IEEE Trans. Appl. Supercond. 2014, 24, 4702006. [Google Scholar]
- Gu, C.; Wheeler, P.; Castellazzi, A.; Watson, A.J.; Effah, F. Semiconductor Devices in Solid-State/Hybrid Circuit Breakers: Current Status and Future Trends. Energies 2017, 10, 495. [Google Scholar] [CrossRef]
- Zhang, X.; Yu, Z.; Zhao, B.; Chen, Z.; Lyu, G.; Huang, Y.; Zeng, R. A Novel Mixture Solid-State Switch Based on IGCT With High Capacity and IGBT With High Turn- OFF Ability for Hybrid DC Breakers. IEEE Trans. Ind. Electron. 2020, 67, 4485–4495. [Google Scholar] [CrossRef]
- Nadeem, M.H.; Zheng, X.; Tai, N.; Gul, M. Identification and Isolation of Faults in Multi-terminal High Voltage DC Networks with Hybrid Circuit Breakers. Energies 2018, 11, 1086. [Google Scholar] [CrossRef]
- Callavik, M.; Blomberg, A.; Häfner, J.; Jacobson, B. Break-through!: ABB’s hybrid HVDC breaker, an innovation breakthrough enabling reliable HVDC grids. ABB Rev. 2013, 2, 7–13. [Google Scholar]
- Meyer, J.M.; Rufer, A. A DC hybrid circuit breaker with ultra-fast contact opening and integrated gate-commutated thyristors (IGCT). IEEE Trans. Power Del. 2006, 21, 646–651. [Google Scholar] [CrossRef]
- Genji, T.; Nakamura, O.; Isozaki, M.; Yamada, M.; Morita, T.; Kaneda, M. 400V class high-speed current limiting circuit breaker for electric power system. IEEE Trans. Power Del. 1994, 9, 1428–1435. [Google Scholar] [CrossRef]
- Polman, H.; Ferreira, J.; Kaanders, M.; Evenblij, B.; Gelder, P. Design of a bi-directional 600V/6kA ZVS hybrid DC switch using IGBTs. Ind. Appl. Conf. 2001, 2, 1052–1059. [Google Scholar]
- Novello, L.; Baldo, F.; Ferro, A.; Maistrello, A.; Gaio, E. Development and Testing of a 10-kA Hybrid Mechanical-Static DC Circuit Breaker. IEEE Trans. Appl. Supercond. 2011, 21, 3621–3627. [Google Scholar] [CrossRef]
- Lv, G.; Zeng, R.; Huang, Y.; Chen, Z. Researches on 10 kV DC hybrid circuit breaker based on IGCT series. Chin. Soc. For Elec. Eng. 2017, 37, 1012–1020. [Google Scholar]
- Roodenburg, B.; Taffone, A.; Gilardi, E.; Tenconi, S.M.; Evenblij, B.H.; Kaanders, M.A.M. Combined ZVS—ZCS topology for high-current direct current hybrid switches: Design aspects and first measurements. IET Electr. Power Appl. 2007, 1, 183–192. [Google Scholar] [CrossRef]
- Liao, M.; Wang, D.; Leng, T.; Duan, X.; Wang, R. Effect of Adding Impedance for Current Balancing on the Vacuum Arc Commutation Characteristics of DC Microgrid Hybrid Circuit Breakers. IEEJ Trans. 2020, 15, 676–683. [Google Scholar] [CrossRef]
- Liao, M.; Huang, J.; Ge, G.; Duan, X.; Huang, Z.; Zou, J. Vacuum arc commutation characteristics of the DC microgrid hybrid circuit breakers. IEEE Trans. Plasma Sci. 2017, 45, 2172–2178. [Google Scholar] [CrossRef]
- Wen, W.; Huang, Y.; Sun, Y.; Wu, J.; Mohmmad, A.; Liu, W. Research on Current Commutation Measures for Hybrid DC Circuit Breakers. IEEE Trans. Power Del. 2016, 31, 1456–1463. [Google Scholar] [CrossRef]
- Dong, E.; Zhang, L.; Wang, S.; Qin, T.; Zou, J.; Liu, J. Research on Internal and External Factors Affecting Current Commutation in Vacuum. In Proceedings of the 28th International Symposium on Discharges and Electrical Insulation in Vacuum (ISDEIV 2018), Greifswald, Germany, 23–28 September 2018; Volume 1, pp. 279–282. [Google Scholar]
- Felipe, F.; Rodrigo, A.; Steffen, B. Comparison of 4.5-kV press-pack IGBTs and IGCTs for medium-voltage converters. IEEE Trans. Ind. Electron. 2013, 60, 440–449. [Google Scholar]
- Auerbach, F.; Bauer, M.; Gottert, J.; Hierholzer, M.; Porst, A.; Reznik, D.; Schulze, H.; Schulze, T.; Spanke, R. 6.5 kV IGBT-modules. In Proceedings of the IEEE industry applications society annual meeting, Phoenix, AZ, USA, 3–7 October 1999; Volume 3, pp. 1770–1774. [Google Scholar]
- Alferov, D.F.; Ivanov, V.P.; Sidorov, V.A. DC vacuum arc in a Performance of a nonuniform axisymmetric magnetic field. High Temp. 2006, 44, 342–355. [Google Scholar] [CrossRef]
- Alferov, D.F.; Ivanov, V.P.; Sidorov, V.A. Characteristics of DC vacuum arc in the transverse axially symmetric magnetic field. IEEE Trans. Plasma Sci. 2003, 31, 918–922. [Google Scholar] [CrossRef]
- Zabello, K.K.; Barinov, Y.A.; Chaly, A.M.; Logatchev, A.A.; Shkolnik, S.M. Experimental study of cathode spot motion and burning voltage of low-current vacuum arc in magnetic field. IEEE Trans. Plasma Sci. 2005, 33, 1553–1559. [Google Scholar] [CrossRef]
- Letor, R. Static and dynamic behavior of paralleled IGBTs. IEEE Trans. Ind. Appl. 1992, 28, 395–402. [Google Scholar] [CrossRef]
- Shammas, N.Y.A.; Withanage, R.; Chamund, D. Optimisation of the number of IGBT devices in a series–parallel string. Microelectron. J. 2008, 39, 899–907. [Google Scholar] [CrossRef]
- Pedrow, P.D.; Burrage, L.M.; Shohet, J.L. Performance of a Vacuum Arc Commutating Switch for a Fault-Current Limiter. IEEE Power Energy Mag. 1983, 5, 1269–1277. [Google Scholar]
- Khan, U.F.; Lee, J.; Amir, F.; Lee, B. A Novel Model of HVDC Hybrid-Type Superconducting Circuit Breaker and Its Performance Analysis for Limiting and Breaking DC Fault Currents. IEEE Trans. Appl. Supercond. 2015, 25, 1–9. [Google Scholar] [CrossRef]















© 2020 by the authors. Licensee MDPI, Basel, Switzerland. This article is an open access article distributed under the terms and conditions of the Creative Commons Attribution (CC BY) license (http://creativecommons.org/licenses/by/4.0/).
Share and Cite
Wang, D.; Liao, M.; Wang, R.; Li, T.; Qiu, J.; Li, J.; Duan, X.; Zou, J. Research on Vacuum Arc Commutation Characteristics of a Natural-Commutate Hybrid DC Circuit Breaker. Energies 2020, 13, 4823. https://doi.org/10.3390/en13184823
Wang D, Liao M, Wang R, Li T, Qiu J, Li J, Duan X, Zou J. Research on Vacuum Arc Commutation Characteristics of a Natural-Commutate Hybrid DC Circuit Breaker. Energies. 2020; 13(18):4823. https://doi.org/10.3390/en13184823
Chicago/Turabian StyleWang, Dequan, Minfu Liao, Rufan Wang, Tenghui Li, Jun Qiu, Jinjin Li, Xiongying Duan, and Jiyan Zou. 2020. "Research on Vacuum Arc Commutation Characteristics of a Natural-Commutate Hybrid DC Circuit Breaker" Energies 13, no. 18: 4823. https://doi.org/10.3390/en13184823
APA StyleWang, D., Liao, M., Wang, R., Li, T., Qiu, J., Li, J., Duan, X., & Zou, J. (2020). Research on Vacuum Arc Commutation Characteristics of a Natural-Commutate Hybrid DC Circuit Breaker. Energies, 13(18), 4823. https://doi.org/10.3390/en13184823
