A Model to Improve Granular Temperature in CFD-DEM Simulations
Abstract
1. Introduction
2. Model to Improve the Granular Temperature
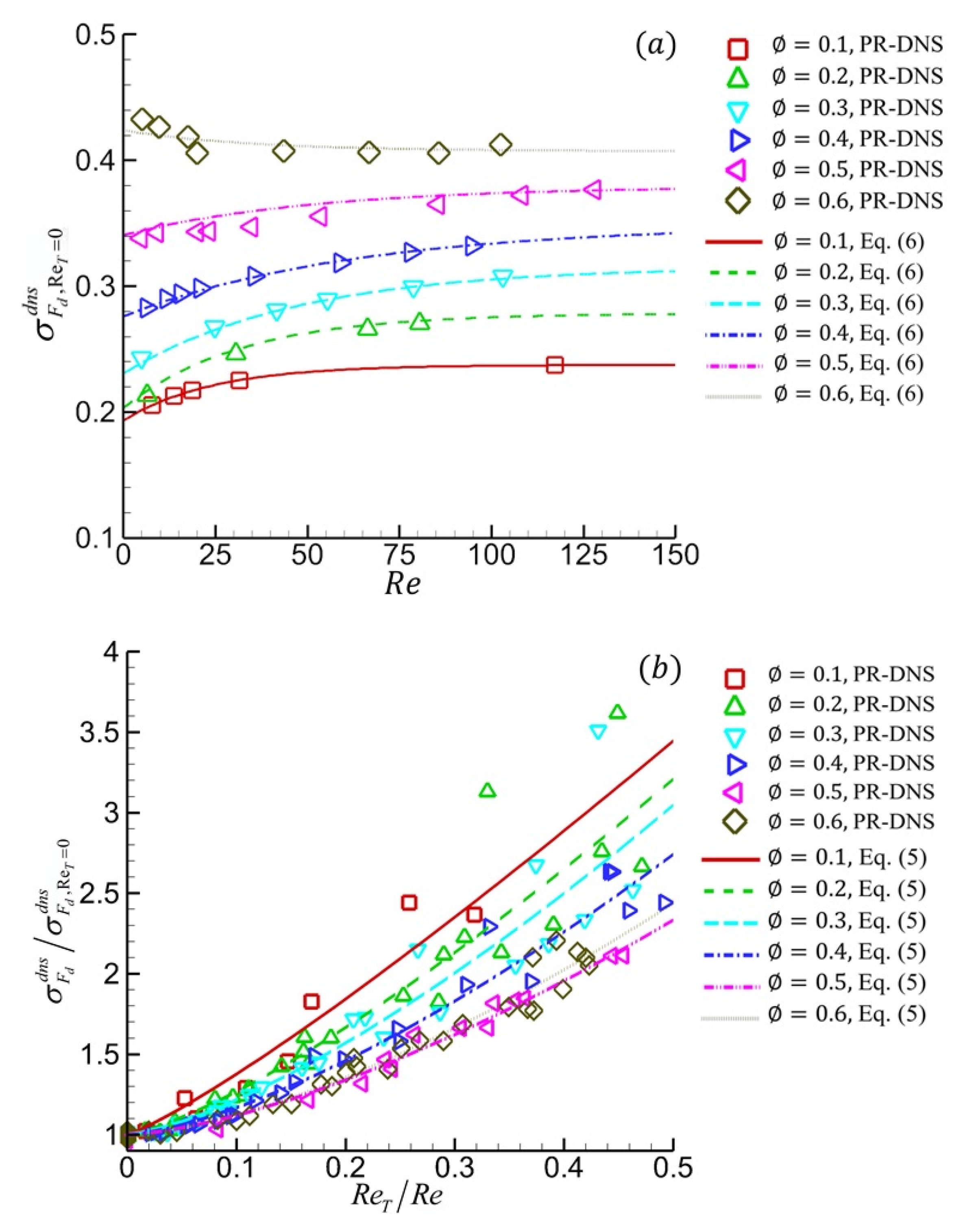
2.1. Mean Relative Deviation of the Drag Force in Homogenous Systems
2.2. Model to Enhance Granular Temperature in CFD-DEM Simulations
2.3. Determination of the Expected Mean Relative Deviation of the Drag Force
3. Posteriori Validations
3.1. Gas–Solid Flows in a Tri-Periodic Domain
3.2. Liquid–Solid Fluidized Beds
3.3. Gas–Solid Fluidized Beds
4. Conclusions
Author Contributions
Funding
Acknowledgments
Conflicts of Interest
References
- Jackson, R. The Dynamics of Fluidized Particles; Cambridge University Press: Cambridge, UK, 2000. [Google Scholar]
- Lun, C.; Savage, S.B.; Jeffrey, D.; Chepurniy, N. Kinetic theories for granular flow: Inelastic particles in Couette flow and slightly inelastic particles in a general flowfield. J. Fluid Mech. 1984, 140, 223–256. [Google Scholar] [CrossRef]
- Tsuji, Y.; Kawaguchi, T.; Tanaka, T. Discrete particle simulation of two-dimensional fluidized bed. Powder Technol. 1993, 77, 79–87. [Google Scholar] [CrossRef]
- Zhu, H.; Zhou, Z.; Yang, R.; Yu, A. Discrete particle simulation of particulate systems: Theoretical developments. Chem. Eng. Sci. 2007, 62, 3378–3396. [Google Scholar] [CrossRef]
- Esteghamatian, A.; Bernard, M.; Lance, M.; Hammouti, A.; Wachs, A. Micro/Meso simulation of a fluidized bed in a homogeneous bubbling regime. Int. J. Multiph. Flow 2017, 92, 93–111. [Google Scholar] [CrossRef]
- Ergun, S. Fluid flow through packed columns. Chem. Eng. Prog. 1952, 48, 89–94. [Google Scholar]
- Gidaspow, D. Multiphase Flow and Fluidization: Continuum and Kinetic Theory Descriptions; Academic Press: Cambridge, MA, USA, 1994. [Google Scholar]
- Wen, C.Y.; Yu, Y.H. Mechanics of fluidization. Chem. Eng. Prog. Symp. Ser. 1966, 62, 100–111. [Google Scholar]
- Beetstra, R.; van der Hoef, M.A.; Kuipers, J. Drag force of intermediate Reynolds number flow past mono--and bidisperse arrays of spheres. AIChE J. 2007, 53, 489–501. [Google Scholar] [CrossRef]
- Tang, Y.; Peters, E.; Kuipers, J.; Kriebitzsch, S.; van der Hoef, M. A new drag correlation from fully resolved simulations of flow past monodisperse static arrays of spheres. AIChE J. 2015, 61, 688–698. [Google Scholar] [CrossRef]
- Tenneti, S.; Garg, R.; Subramaniam, S. Drag law for monodisperse gas-solid systems using particle-resolved direct numerical simulation of flow past fixed assemblies of spheres. Int. J. Multiph. Flow 2011, 37, 1072–1092. [Google Scholar] [CrossRef]
- Zhou, Q.; Fan, L.-S. Direct numerical simulation of moderate-Reynolds-number flow past arrays of rotating spheres. Phys. Fluids 2015, 27, 073306. [Google Scholar] [CrossRef]
- Huang, Z.; Wang, H.; Zhou, Q.; Li, T. Effects of granular temperature on inter-phase drag in gas-solid flows. Powder Technol. 2017, 321, 435–443. [Google Scholar] [CrossRef]
- Akiki, G.; Jackson, T.; Balachandar, S. Force variation within arrays of monodisperse spherical particles. Phys. Rev. Fluids 2016, 1, 044202. [Google Scholar] [CrossRef]
- Hrenya, C.M.; Sinclair, J.L. Effects of particle--phase turbulence in gas—solid flows. AIChE J. 1997, 43, 853–869. [Google Scholar] [CrossRef]
- Yu, Y.; Li, Y.; Jiang, M.; Zhou, Q. Meso-Scale Drag Model designed for coarse-grid Eulerian-Lagrangian simulation of gas-solid flows. Chem. Eng. Sci. 2020, 223, 115747. [Google Scholar] [CrossRef]
- Akiki, G.; Jackson, T.; Balachandar, S. Pairwise interaction extended point-particle model for a random array of monodisperse spheres. J. Fluid Mech. 2017, 813, 882–928. [Google Scholar] [CrossRef]
- Balachandar, S.; Moore, W.; Akiki, G.; Liu, K. Towards particle-resolved accuracy in Euler-Lagrange simulations of multiphase flow using machine learning and pairwise interaction extended point-particle (PIEP) Approximation. arXiv 2020, arXiv:2005.09569. [Google Scholar] [CrossRef]
- Ma, T.; Yu, Y.; Chen, X.; Zhou, Q. Effect of anisotropic microstructures on fluid–particle drag in low--Reynolds--number monodisperse gas–solid suspensions. AIChE J. 2020, 66, e16910. [Google Scholar] [CrossRef]
- Tenneti, S.; Mehrabadi, M.; Subramaniam, S. Stochastic Lagrangian model for hydrodynamic acceleration of inertial particles in gas–solid suspensions. J. Fluid Mech. 2016, 788, 695–729. [Google Scholar] [CrossRef]
- Esteghamatian, A.; Euzenat, F.; Hammouti, A.; Lance, M.; Wachs, A. A stochastic formulation for the drag force based on multiscale numerical simulation of fluidized beds. Int. J. Multiph. Flow 2018, 99, 363–382. [Google Scholar] [CrossRef]
- Zhou, Q.; Fan, L.-S. A second-order accurate immersed boundary-lattice Boltzmann method for particle-laden flows. J. Comput. Phys. 2014, 268, 269–301. [Google Scholar] [CrossRef]
- Agrawal, K.; Loezos, P.N.; Syamlal, M.; Sundaresan, S. The role of meso-scale structures in rapid gas-solid flows. J. Fluid Mech. 2001, 445, 151–185. [Google Scholar] [CrossRef]
- Garg, R.; Galvin, J.; Li, T.; Pannala, S. Documentation of Open-Source MFIX–DEM Software for Gas-Solids Flows. Available online: https://mfix.netl.doe.gov/documentation/dem_doc_2012-1.pdf (accessed on 28 July 2020).
- Zhou, Z.; Kuang, S.; Chu, K.; Yu, A. Discrete particle simulation of particle-fluid flow: Model formulations and their applicability. J. Fluid Mech. 2010, 661, 482–510. [Google Scholar] [CrossRef]
- Bernard, M.; Climent, E.; Wachs, A. Controlling the quality of two-way Euler/Lagrange numerical modeling of bubbling and spouted fluidized beds dynamics. Ind. Eng. Chem. Res. 2017, 56, 368–386. [Google Scholar] [CrossRef]





| Simulation Parameters | Values |
|---|---|
| Domain size | |
| Inlet velocity | 2.0, 3.0, 4.5, 5.5 |
| Inlet Reynolds number | 4.0, 6.0, 9.0, 11.0 |
| Inverse Froude number | 24.5, 10.9, 4.8, 3.2 |
| Solid-fluid density ratio | 10.0 |
| Stokes number | 2.2, 3.3, 5.0, 6.1 |
| Total number of particles | 512 |
| 2 | 25 | 0.49 | 85 | 118 | 2000 |
| Simulation Cases | |||
|---|---|---|---|
| PR-DNS | 0.11 | 0.36 | 0.19 |
| CFD-DEM without model | 0.09 (−15%) | 0.16 (−57%) | 0.11 (−40%) |
| CFD-DEM with model | 0.14 (+27%) | 0.14 (−62%) | 0.14 (−27%) |
© 2020 by the authors. Licensee MDPI, Basel, Switzerland. This article is an open access article distributed under the terms and conditions of the Creative Commons Attribution (CC BY) license (http://creativecommons.org/licenses/by/4.0/).
Share and Cite
Yu, Y.; Zhao, L.; Li, Y.; Zhou, Q. A Model to Improve Granular Temperature in CFD-DEM Simulations. Energies 2020, 13, 4730. https://doi.org/10.3390/en13184730
Yu Y, Zhao L, Li Y, Zhou Q. A Model to Improve Granular Temperature in CFD-DEM Simulations. Energies. 2020; 13(18):4730. https://doi.org/10.3390/en13184730
Chicago/Turabian StyleYu, Yaxiong, Li Zhao, Yu Li, and Qiang Zhou. 2020. "A Model to Improve Granular Temperature in CFD-DEM Simulations" Energies 13, no. 18: 4730. https://doi.org/10.3390/en13184730
APA StyleYu, Y., Zhao, L., Li, Y., & Zhou, Q. (2020). A Model to Improve Granular Temperature in CFD-DEM Simulations. Energies, 13(18), 4730. https://doi.org/10.3390/en13184730

