Mixed Convection and Entropy Generation of an Ag-Water Nanofluid in an Inclined L-Shaped Channel
Abstract
:1. Introduction
2. Mathematical Modelling
- At solid walls: U = V = 0;
- Inlet port: U = 0, V = 1, and ;
- Outlet port: V = 0, , ;
- At heat source: ;
- At the others solid walls: , where n is a normal vector.
Nanofluid Relations
3. Numerical Solutions
3.1. Methodology
3.2. Validations
4. Results and Discussion
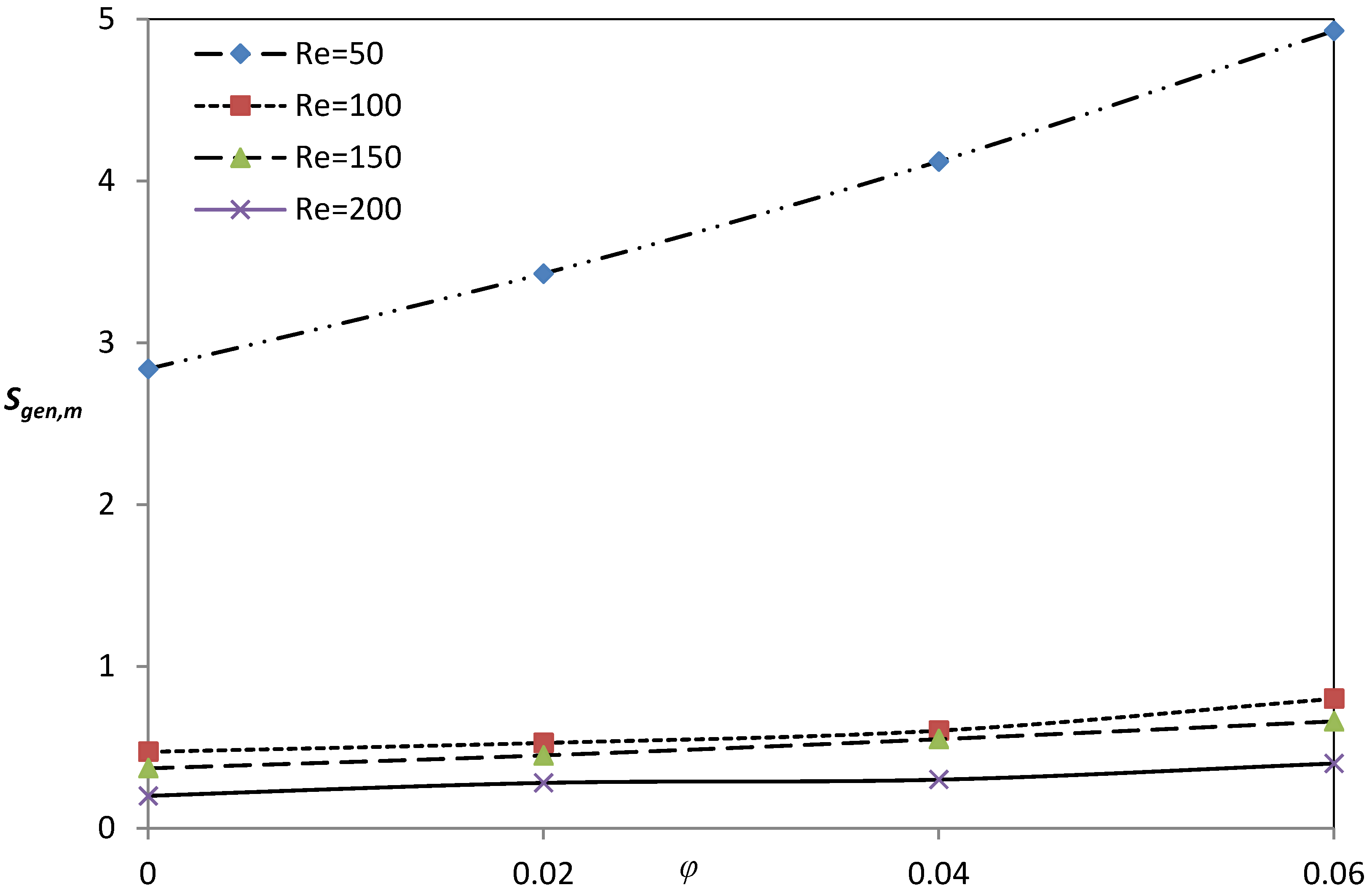
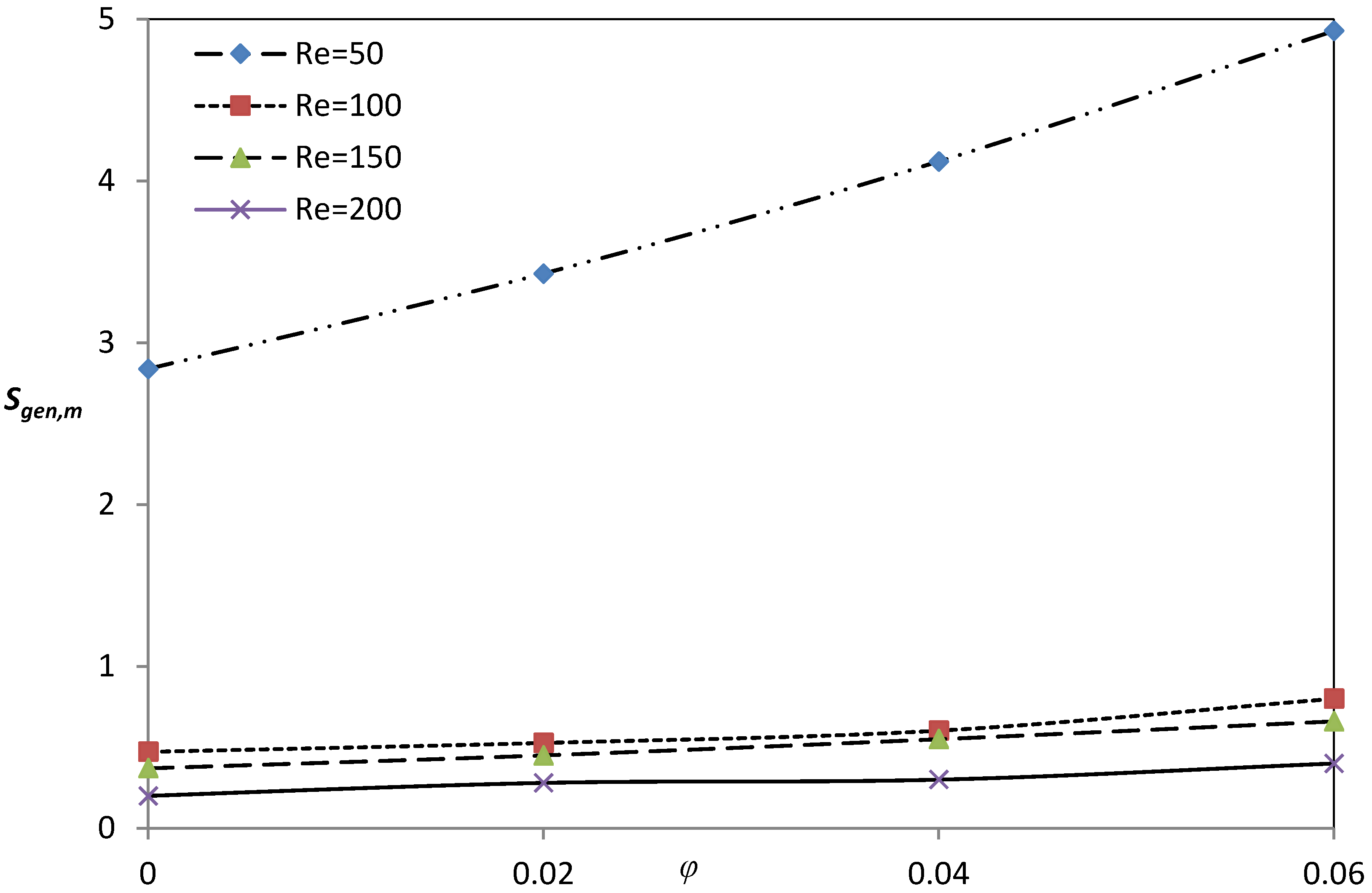
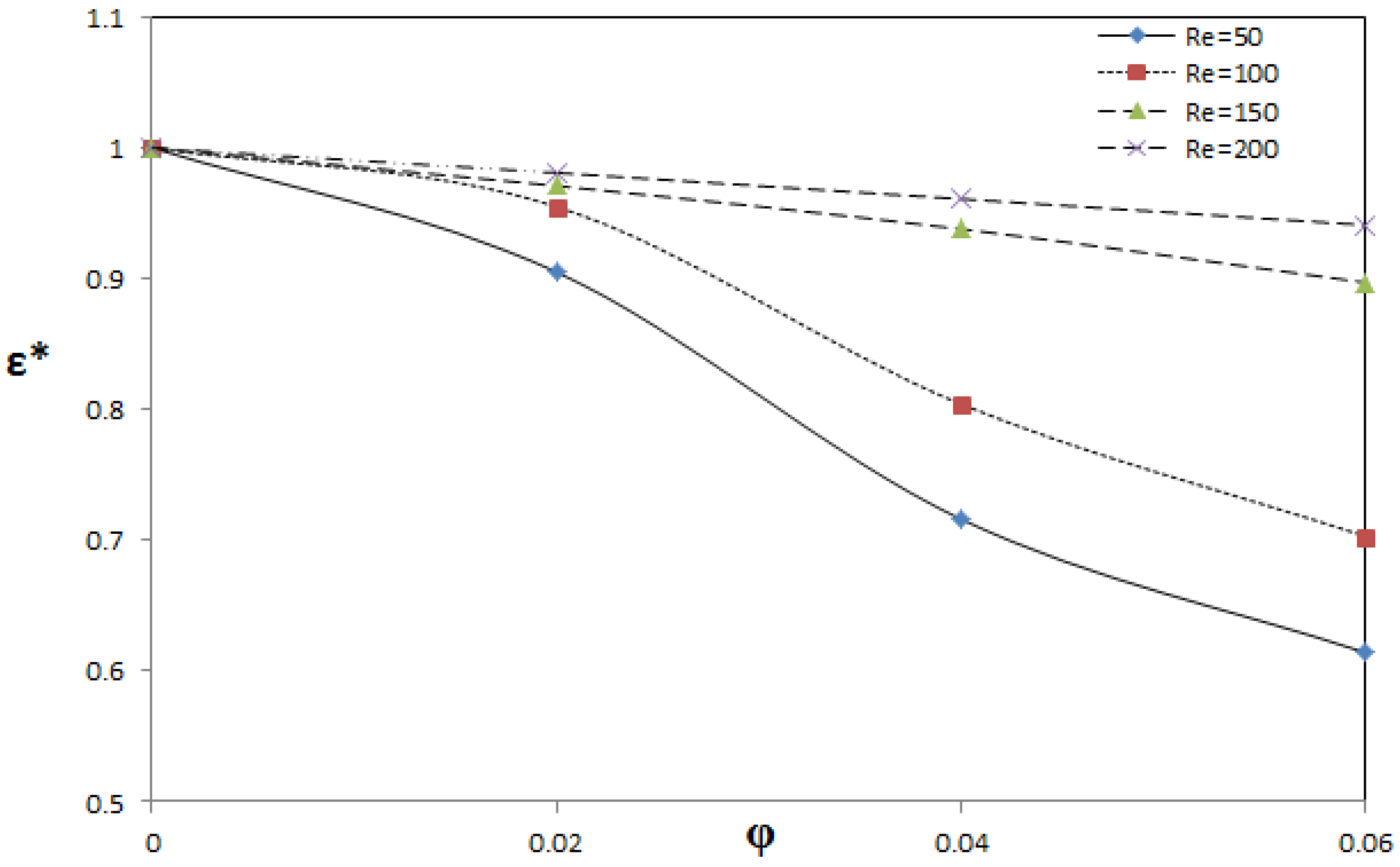
4.1. Effect of the Reynolds Number
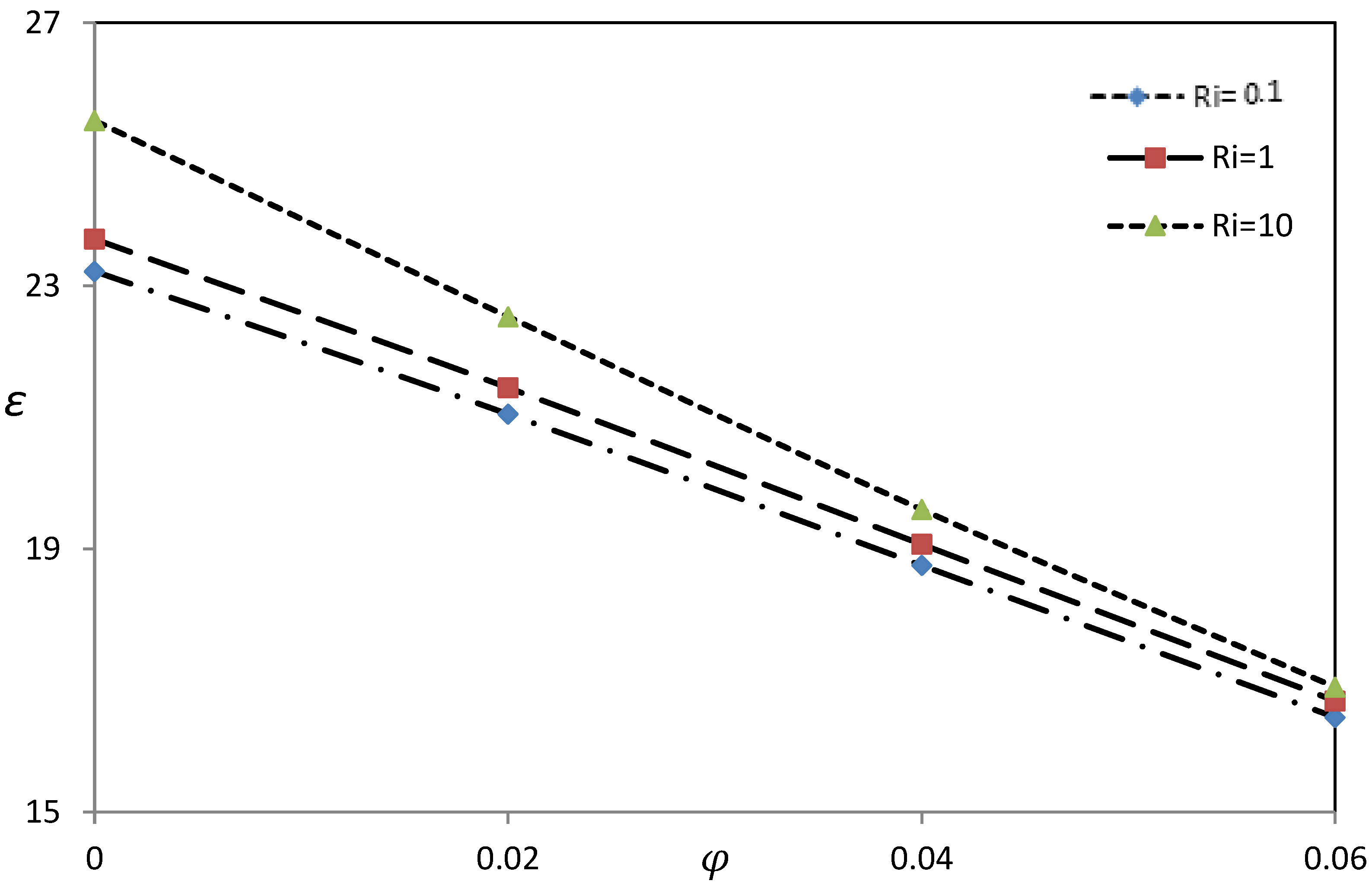
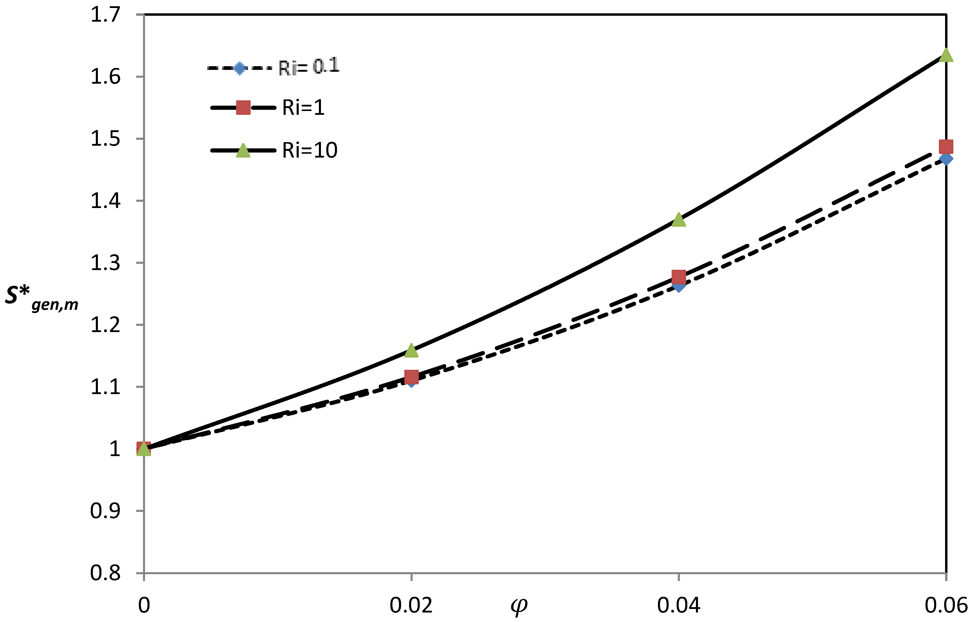
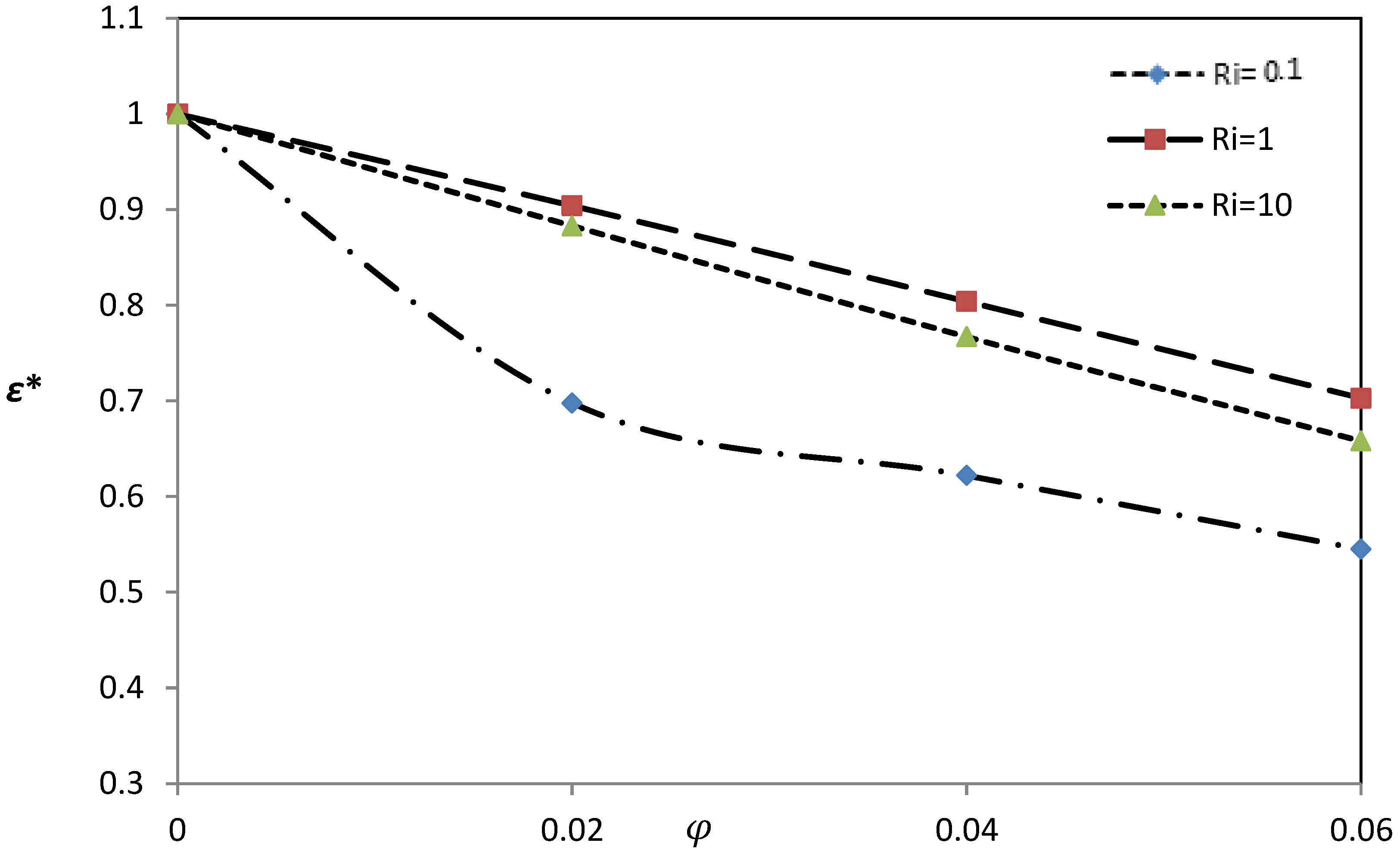
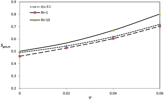
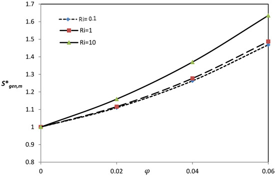
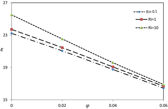
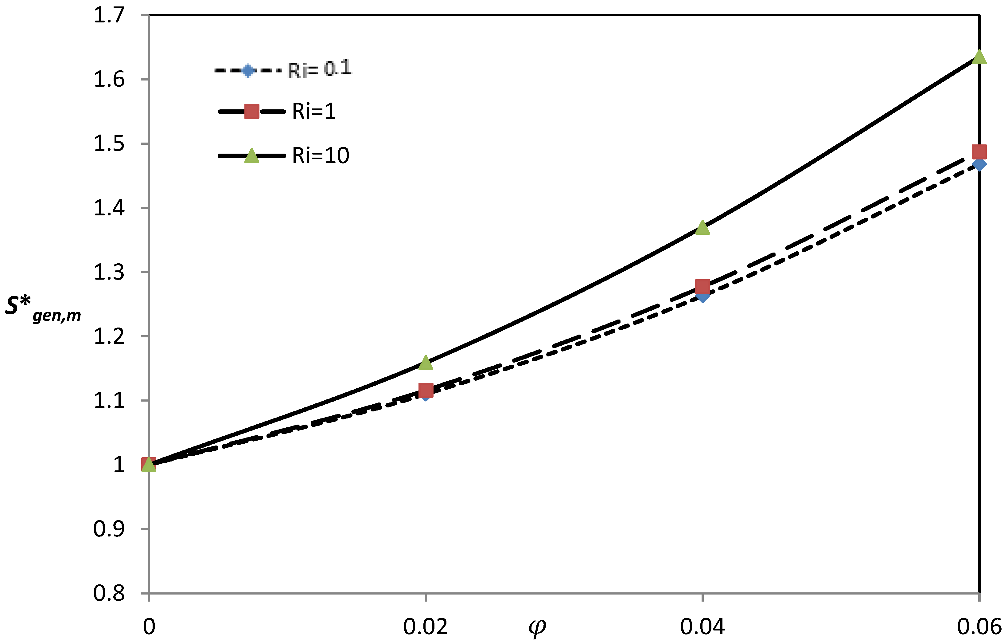
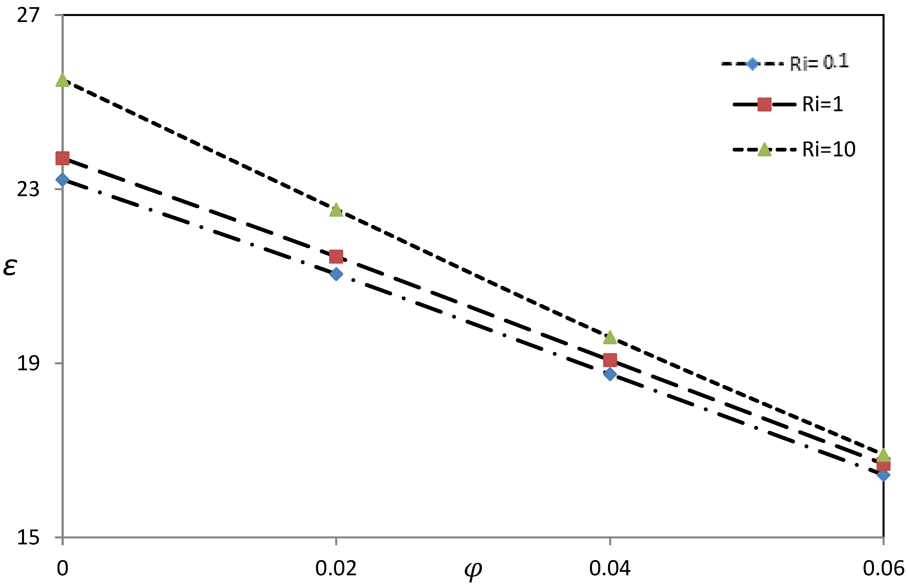
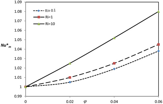
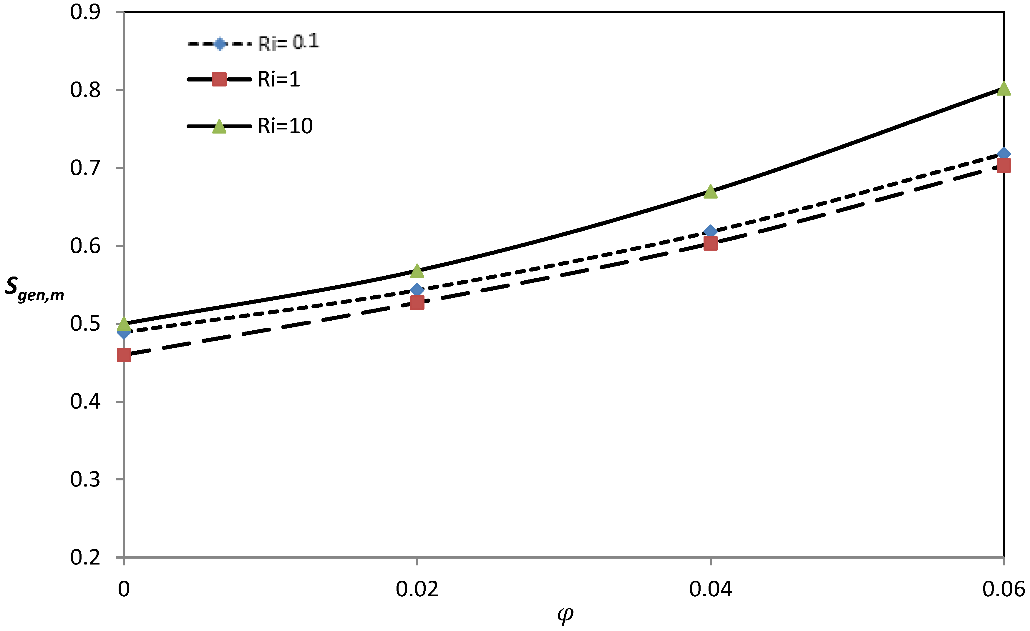
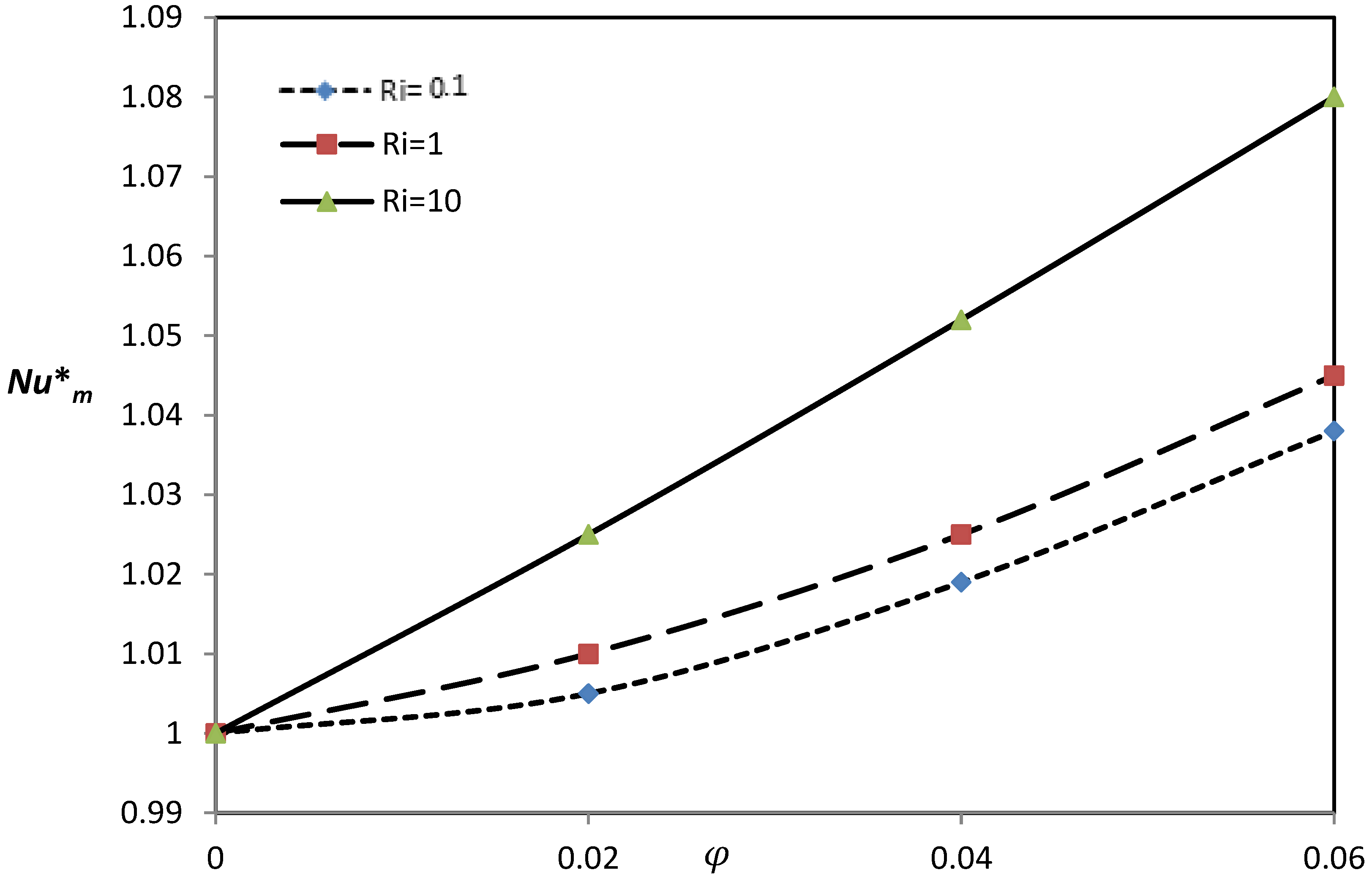
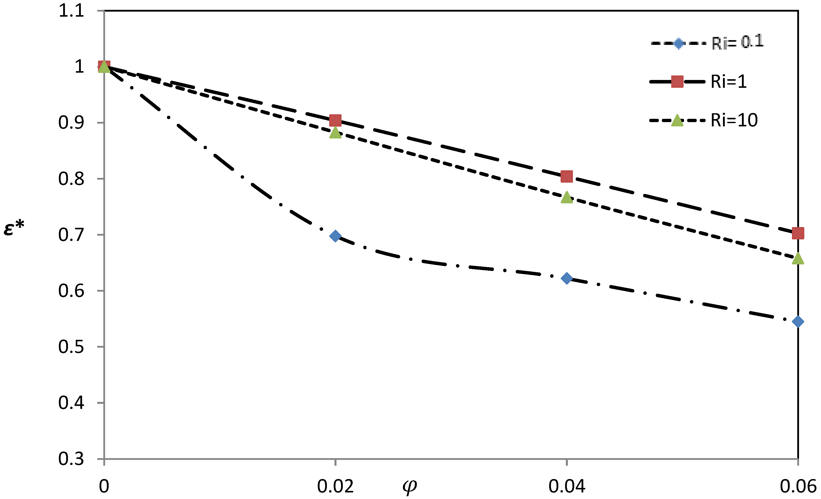
4.2. Effect of the Richardson Number
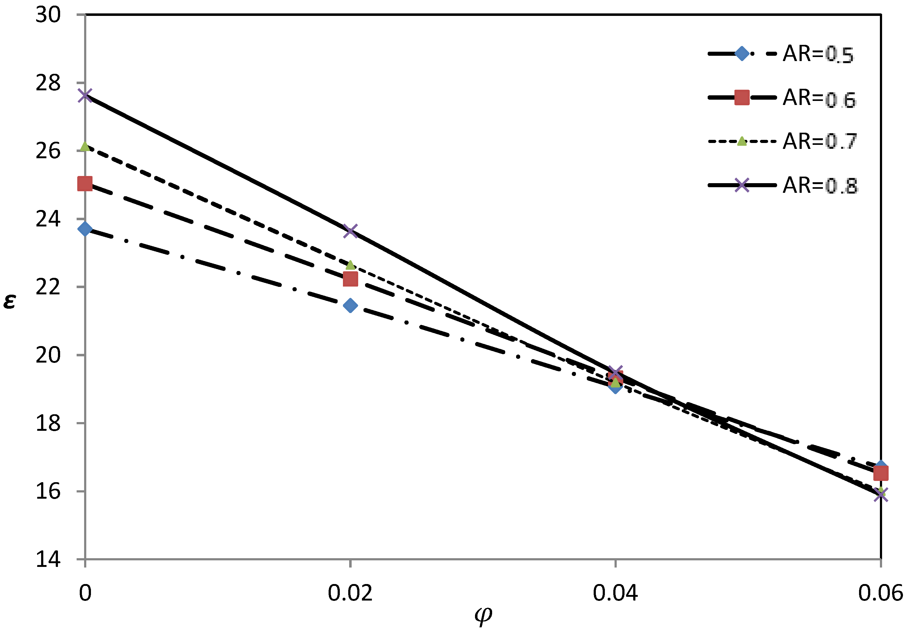
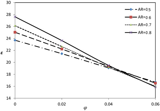
4.3. Effect of the Aspect Ratio
5. Conclusions
Author Contributions
Funding
Acknowledgments
Conflicts of Interest
Nomenclature
| AR | aspect ratio (H/L) |
| g | gravitational field (m s−2) |
| H | inner side of the channel (m) |
| k | thermal conductivity (W m−1 K−1) |
| L | outer side of the channel (m) |
| Nu | average Nusselt number |
| Ri | Richardson number |
| Re | Reynolds number |
| Sl | entropy generation rate (WK−1·m−3) |
| Sgen,m | total entropy generation rate |
| T | temperature (K) |
| P | pressure (Nm−2) |
| u, U | velocity component in x-axis (m·s−1, dimensionless) |
| v, V | velocity component in y-axis (m·s−1, dimensionless) |
| x, y | Cartesian coordinates (m) |
| X, Y | Cartesian coordinates (dimensionless) |
| Greek symbols | |
| α | thermal diffusivity (m2·s−1) |
| β | coefficient of thermal expansion t (K−1) |
| ε | performance criterion () |
| φ | volume fraction |
| λ | inclination of the channel (30°) |
| µ | dynamic viscosity (N·s·m−2) |
| θ | temperature (dimensionless) |
| ρ | density (kg·m−3) |
| Ψ | stream function (dimensionless) |
| Subscripts | |
| c | cold |
| f | fluid |
| h | hot |
| l | local |
| m | mean |
| nf | nanofluid |
| s | solid nanoparticles |
| Superscripts | |
| * | dimensionless |
References
- Shah, R.K.; London, A.L. Laminar flow forced convection in ducts. In Advances in Heat Transfer; Irvine, T.F., Hartnett, J.P., Eds.; Academic Press: New York, NY, USA, 1978. [Google Scholar]
- Sunden, B.; Skoldheden, T. Heat transfer and pressure drop in a new type of corrugated channels. Int. Commun. Heat Mass Transf. 1985, 12, 559–566. [Google Scholar] [CrossRef]
- Abu-Mulaweh, H.I. A review of research on laminar mixed convection flow over backward- and forward-facing steps. Int. J. Therm. Sci. 2003, 42, 897–909. [Google Scholar] [CrossRef]
- Young, T.J.; Vafai, K. Convective cooling of a heated obstacle in a channel. Int. J. Heat Mass Transf. 1998, 41, 3131–3148. [Google Scholar] [CrossRef]
- Mousavi, S.S.; Hooman, K.; Mousavi, S.J. Genetic algorithm optimization for finned channel performance. Appl. Math. Mech. 2007, 28, 1597–1604. [Google Scholar] [CrossRef]
- Yang, M.-H.; Yeh, R.-H.; Hwang, J.-J. Forced convection in a channel with transverse fins. Int. J. Numer. Methods Heat Fluid Flow 2012, 22, 306–322. [Google Scholar] [CrossRef]
- Mezrhab, A.; Amraqui, S.; Abid, C. Modeling of combined surface radiation and natural convection in a vented ‘‘T” form cavity. Int. J. Heat Fluid Flow 2010, 31, 83–92. [Google Scholar] [CrossRef]
- Kasaeipoor, A.; Ghasemi, B.; Aminossadati, S.M. Convection of Cu-water nanofluid in a vented T-shaped cavity in the presence of magnetic field. Int. J. Therm. Sci. 2015, 94, 50–60. [Google Scholar] [CrossRef]
- Biserni, C.; Rocha, L.A.O.; Stanescu, G.; Lorenzini, E. Constructal H-shaped cavities according to Bejan’s theory. Int. J. Heat Mass Transf. 2007, 50, 2132–2138. [Google Scholar] [CrossRef]
- Bejan, A.; Lorente, S. Design with Constructal Theory; Wiley: Hoboken, NJ, USA, 2008. [Google Scholar]
- Marcondes, F.; Maliska, C.R. Treatment of the inlet boundary conditions in natural-convection flow in open-ended channels. Numer. Heat Transf. B 1999, 35, 317–345. [Google Scholar]
- Zhu, B.; Chi, X.; Dennis, R.A.; Chyu, M.K.; Bryden, M.A.; Shih, T.I.-P. Internal cooling inside an L-shaped duct with pin-fin turbulators under rotating and non-rotating conditions with and without sand particles. In Proceedings of the GT 2007 ASME Turbo Expo 2007: Power for Land, Sea and Air, Montreal, QC, Canada, 14–17 May 2007. [Google Scholar]
- Pardeshi, I.A. Flow and heat transfer in an L-shaped cooling passage with ribs and pin fins for the trailing edge of a gas-turbine vane and blade. Master’s Thesis, Purdue University, West Lafayette, IN, USA, 2013. [Google Scholar]
- Armaghani, T.; Kasaeipoor, A.; Alavi, N.; Rashidi, M.M. Numerical investigation of water-alumina nanofluid natural convection heat transfer and entropy generation in a baffled L-shaped cavity. J. Mol. Liquids 2016, 223, 243–251. [Google Scholar] [CrossRef]
- Arani, A.A.A.; Maghsoudi, A.Z.; Niroumand, A.H.; Derakhshani, S.M.E. Study of nanofluid natural convection in an inclined L-shaped cavity. Sci. Iran. F 2013, 20, 2297–2305. [Google Scholar]
- Mojumder, S.; Saha, S.; Rahman, M.R.; Rahman, M.M.; Rabbi, K.M.; Ibrahim, T. Numerical study on mixed convection heat transfer in a porous L-shaped cavity. Eng. Sci. Technol. Int. J. 2017, 20, 272–282. [Google Scholar] [CrossRef]
- Choi, S.U.S.; Eastman, J.A. Enhancing thermal conductivity of fluids with nanoparticles. In Proceedings of the ASME International Mechanical Engineering Congress & Exposition, San Francisco, CA, USA, 12–17 November 1995. [Google Scholar]
- Tiwari, R.K.; Das, M.K. Heat transfer augmentation in a two-sided lid-driven differentially heated square cavity utilizing nanofluids. Int. J. Heat Mass Transf. 2007, 50, 2002–2018. [Google Scholar] [CrossRef]
- Mahmoudi, A.H.; Shahi, M.; Talebi, F. Effect of inlet and outlet location on the mixed convective cooling inside the ventilated cavity subjected to an external nanofluid. Int. Commun. Heat Mass Transf. 2010, 37, 1158–1173. [Google Scholar] [CrossRef]
- Shahi, M.; Mahmoudi, A.H.; Talebi, F. Numerical study of mixed convective cooling in a square cavity ventilated and partially heated from the below utilizing nanofluid. Int. Commun. Heat Mass Transf. 2010, 37, 201–213. [Google Scholar] [CrossRef]
- Nasrin, R.; Alim, M.A.; Chamkha, A.J. Numerical simulation of non-Darcy forced convection through a channel with nonuniform heat flux in an open cavity using nanofluid. Numer. Heat Transf. A 2013, 64, 820–840. [Google Scholar] [CrossRef]
- Bahlaoui, A.; Raji, A.; Hasnaoui, M.; Naïmi, M. Mixed convection heat transfer enhancement in a vented cavity filled with a nanofluid. J. Appl. Fluid Mech. 2016, 9, 593–604. [Google Scholar] [CrossRef]
- Santra, A.K.; Chakraborty, S.S.N. Study of heat transfer due to laminar flow of copper–water nanofluid through two isothermally heated parallel plates. Int. J. Therm. Sci. 2009, 48, 391–400. [Google Scholar] [CrossRef]
- Heshmati, A.; Mohammed, H.A.; Darus, A.N. Mixed convection heat transfer of nanofluids over backward facing step having a slotted baffle. Appl. Math. Comput. 2014, 240, 368–386. [Google Scholar] [CrossRef]
- Al-Aswadi, A.A.; Mohammed, H.A.; Shuaib, N.H.; Campo, A. Laminar forced convection flow over a backward facing step using nanofluids. Int. Commun. Heat Mass Transf. 2010, 37, 950–957. [Google Scholar] [CrossRef]
- Bejan, A. A study of entropy generation in fundamental convective heat transfer. J. Heat Transf. 1979, 101, 718–725. [Google Scholar] [CrossRef]
- Bejan, A. Second-law analysis in heat and thermal design. Adv. Heat Transf. 1982, 15, 1–58. [Google Scholar]
- Bejan, A. Entropy Generation Minimization; CRC Press: Boca Raton, FL, USA; New York, NY, USA, 1996. [Google Scholar]
- Mukhopadhyay, A. Analysis of entropy generation due to natural convection in square enclosures with multiple discrete heat sources. Int. Commun. Heat Mass Transf. 2010, 37, 867–872. [Google Scholar] [CrossRef]
- Ovando-Chacon, G.E.; Ovando-Chacon, S.L.; Prince-Avelino, J.C. Entropy generation due to mixed convection in an enclosure with heated corners. Int. J. Heat Mass Transf. 2012, 55, 695–700. [Google Scholar] [CrossRef]
- Mahmud, S.; Islam, A.K.M.S. Laminar free convection and entropy generation inside an inclined wavy enclosure. Int. J. Therm. Sci. 2003, 42, 1003–1012. [Google Scholar] [CrossRef]
- Cho, C.-C.; Chen, C.-L.; Chen, C.-K. Natural convection heat transfer performance in complex-wavy-wall enclosed cavity filled with nanofluid. Int. J. Therm. Sci. 2012, 60, 255–263. [Google Scholar] [CrossRef]
- Esmaeilpour, M.; Abdollahzadeh, M. Free convection and entropy generation of nanofluid inside an enclosure with different patterns of vertical wavy walls. Int. J. Therm. Sci. 2012, 52, 127–136. [Google Scholar] [CrossRef]
- Kashani, S.; Ranjbar, A.A.; Mastiani, M.; Mirzaei, H. Entropy generation and natural convection of nanoparticle-water mixture (nanofluid) near water density inversion in an enclosure with various patterns of vertical wavy walls. Appl. Math. Comput. 2014, 226, 180–193. [Google Scholar] [CrossRef]
- Varol, Y.; Oztop, H.F.; Koca, A. Entropy production due to free convection in partially heated isosceles triangular enclosures. Appl. Therm. Eng. 2008, 28, 1502–1513. [Google Scholar] [CrossRef]
- Ismael, M.A.; Armaghani, T.; Chamkha, A.J. Conjugate heat transfer and entropy generation in a cavity filled with a nanofluid saturated porous media and heated by a triangular solid. J. Taiwan Inst. Chem. Eng. 2016, 59, 138–151. [Google Scholar] [CrossRef]
- Chamkha, A.; Ismael, M.; Kasaeipoor, A.; Armaghani, T. Entropy generation and natural convection of CuO-Water nanofluid in C-shaped cavity under magnetic field. Entropy 2016, 18, 50. [Google Scholar] [CrossRef]
- Latife, B.E.; Mehmet, S.E.; Birsen, S.; Yalcum, M.M. Entropy generation during fluid flow between two parallel plates with moving bottom plate. Entropy 2003, 5, 506–518. [Google Scholar]
- Mahmud, S.; Fraser, R.A. Thermodynamic analysis of flow and heat transfer inside channel with two parallel plates. Exergy Int. J. 2003, 2, 140–146. [Google Scholar] [CrossRef]
- Makinde, O.D.; Osalusi, E. Second law analysis of laminar flow in a channel filled with saturated porous media. Entropy 2005, 7, 148–160. [Google Scholar] [CrossRef]
- Narusawa, U. The second law analysis of mixed convection in rectangular ducts. Heat Mass Transf. 2001, 37, 197–203. [Google Scholar] [CrossRef]
- Syeda, H.T.; Shohel, M. Entropy generation in a vertical concentric channel with temperature dependent viscosity. Int. Commun. Heat Mass Transf. 2002, 29, 907–918. [Google Scholar]
- Makinde, O.D.; Gbolagade, A.W. Second law analysis of incompressible viscous flow through an inclined channel with isothermal walls. Rom. J. Phys. 2005, 50, 923–930. [Google Scholar]
- Makinde, O.D.; Eegunjobi, A.S. Effects of convective heating on entropy generation rate in a channel with permeable walls. Entropy 2013, 15, 220–233. [Google Scholar] [CrossRef]
- Abu-Nada, E. Investigation of entropy generation over a backward facing step under bleeding conditions. Energy Convers. Manag. 2008, 49, 3237–3242. [Google Scholar] [CrossRef]
- Abu-Nada, E. Entropy generation due to heat and fluid flow in backward facing step flow with various expansion ratios. Int. J. Exergy 2006, 3, 419–435. [Google Scholar] [CrossRef]
- Izadi, S.; Armaghani, T.; Ghasemi-Asl, R.; Chamkha, A.J.; Molana, M. A comprehensive review on mixed convection of nanofluids in various shapes of enclosures. Powder Technol. 2019, 343, 880–907. [Google Scholar] [CrossRef]
- Chamkha, A.J.; Rashad, A.M.; Mansour, M.A.; Armaghani, T.; Ghalambaz, M. Effects of heat sink and source and entropy generation on MHD mixed convection of a Cu-water nanofluid in a lid-driven square porous enclosure with partial slip. Phys. Fluids 2017, 29, 052001. [Google Scholar] [CrossRef]
- Chamkha, A.J.; Rashad, A.M.; Armaghani, T.; Mansour, M.A. Effects of partial slip on entropy generation and MHD combined convection in a lid-driven porous enclosure saturated with a Cu–water nanofluid. J. Therm. Anal. Calorim. 2018, 132, 1291–1306. [Google Scholar] [CrossRef]
- Chamkha, A.J.; Rashad, A.M.; Armaghani, T.; Mansour, M.A. Entropy generation and MHD natural convection of a nanofluid in an inclined square porous cavity: Effects of a heat sink and source size and location. Chin. J. Phys. 2018, 56, 193–211. [Google Scholar]
- Alsabery, A.; Armaghani, T.; Chamkha, A.J.; Sadiq, M.; Hashim, I. Effects of two-phase nanofluid model on convection in a double lid-driven cavity in the presence of a magnetic field. Int. J. Numer. Methods Heat Fluid Flow 2018, 28, 1613–1647. [Google Scholar] [CrossRef]
- Alsabery, A.; Armaghani, T.; Chamkha, A.J.; Sadiq, M.; Hashim, I. Conjugate heat transfer of Al2O3–water nanofluid in a square cavity heated by a triangular thick wall using Buongiorno’s two-phase model. J. Therm. Anal. Calorim. 2019, 135, 161–176. [Google Scholar] [CrossRef]
- Esmaeili, H.; Armaghani, T.; Abedini, A.; Pop, I. Turbulent combined forced and natural convection of nanofluid in a 3D rectangular channel using two-phase model approach. J. Therm. Anal. Calorim. 2018. [Google Scholar] [CrossRef]
- Fard, M.H.; Esfahany, M.N.; Talaie, M.R. Numerical study of convective heat transfer of nanofluids in a circular tube two-phase model versus single-phase model. Int. Commun. Heat Mass Transf. 2010, 37, 91–97. [Google Scholar] [CrossRef]
- Brinkman, H. The viscosity of concentrated suspensions and solutions. J. Chem. Phys. 1952, 20, 571. [Google Scholar] [CrossRef]
- Oztop, H.F.; Abu-Nada, E. Numerical study of natural convection in partially heated rectangular enclosures filled with nanofluids. Int. J. Heat Fluid Flow 2008, 29, 1326–1336. [Google Scholar] [CrossRef]
- Patankar, S. Numerical Heat Transfer and Fluid Flow; CRC Press: Boca Raton, FL, USA, 1980. [Google Scholar]
























| Thermo-Physical Properties | Ag-Nanoparticle | Water (Base Fluid) |
|---|---|---|
| ρ (kg·m−3) | 10,500 | 997.1 |
| Cp (J·kg−1·K−1) | 235 | 4179 |
| k (W·m−1·K−1) | 430 | 0.613 |
| Β × 10−5 (K−1) | 5.1 | 21 |
| µ × 10−4 (kg·m−1·s−1) | - | 8.9 |
| α × 10−6 (m−1·s−1) | 149 | 0.14 |
| Number of Grids | 40 × 40 | 60 × 60 | 80 × 80 | 100 × 100 | 120 × 120 | 140 × 140 | 160 × 160 |
|---|---|---|---|---|---|---|---|
| Re = 50 | 10.953 | 11.134 | 11.228 | 11.285 | 11.331 | 11.331 | 11.331 |
| Re = 200 | 14.847 | 13.372 | 12.760 | 12.475 | 12.324 | 12.324 | 12.324 |
© 2019 by the authors. Licensee MDPI, Basel, Switzerland. This article is an open access article distributed under the terms and conditions of the Creative Commons Attribution (CC BY) license (http://creativecommons.org/licenses/by/4.0/).
Share and Cite
Armaghani, T.; Ismael, M.A.; Chamkha, A.J.; Pop, I. Mixed Convection and Entropy Generation of an Ag-Water Nanofluid in an Inclined L-Shaped Channel. Energies 2019, 12, 1150. https://doi.org/10.3390/en12061150
Armaghani T, Ismael MA, Chamkha AJ, Pop I. Mixed Convection and Entropy Generation of an Ag-Water Nanofluid in an Inclined L-Shaped Channel. Energies. 2019; 12(6):1150. https://doi.org/10.3390/en12061150
Chicago/Turabian StyleArmaghani, Taher, Muneer A. Ismael, Ali J. Chamkha, and Ioan Pop. 2019. "Mixed Convection and Entropy Generation of an Ag-Water Nanofluid in an Inclined L-Shaped Channel" Energies 12, no. 6: 1150. https://doi.org/10.3390/en12061150
APA StyleArmaghani, T., Ismael, M. A., Chamkha, A. J., & Pop, I. (2019). Mixed Convection and Entropy Generation of an Ag-Water Nanofluid in an Inclined L-Shaped Channel. Energies, 12(6), 1150. https://doi.org/10.3390/en12061150

