Heat Transfer at the Interface of Graphene Nanoribbons with Different Relative Orientations and Gaps
Abstract
1. Introduction
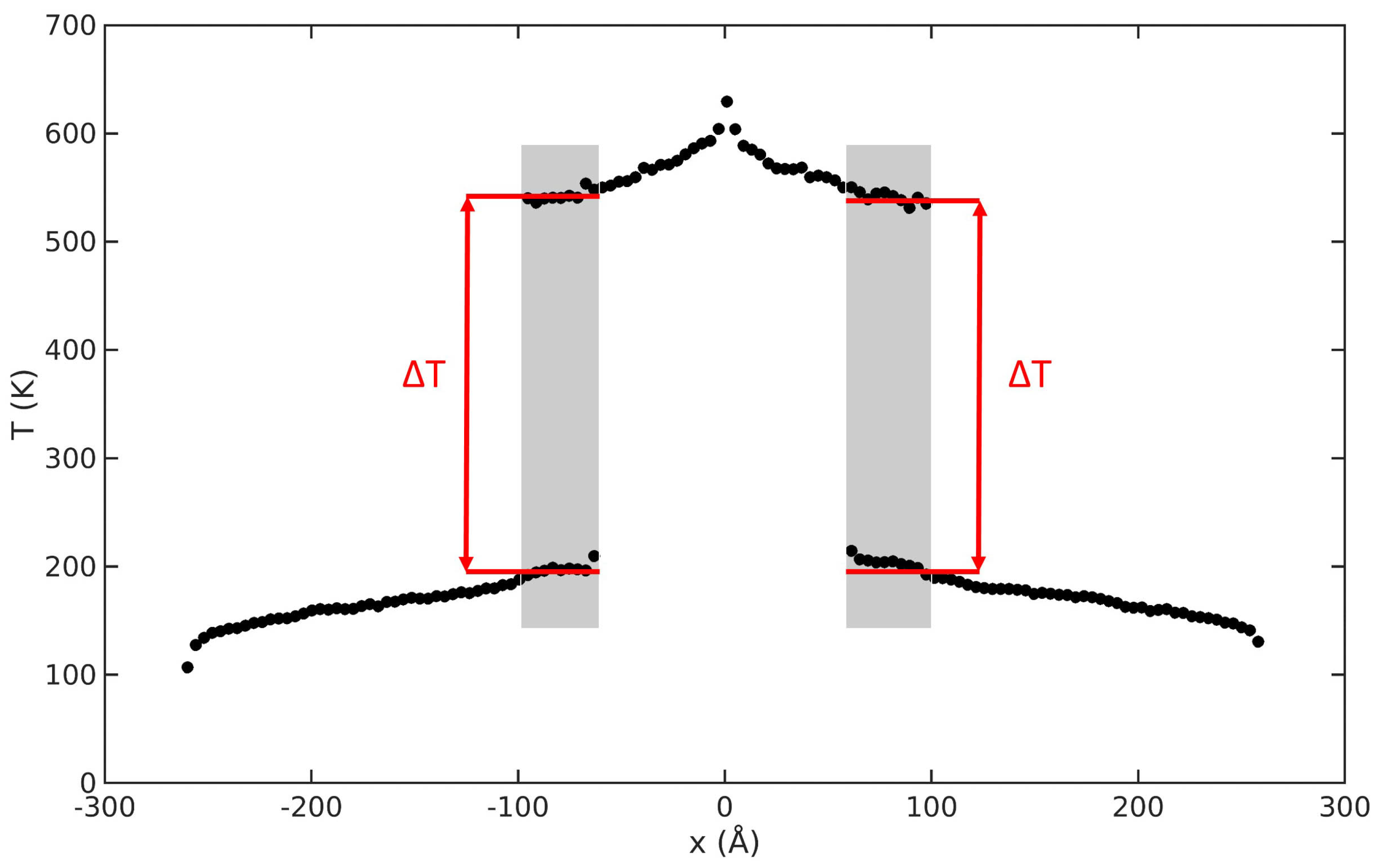
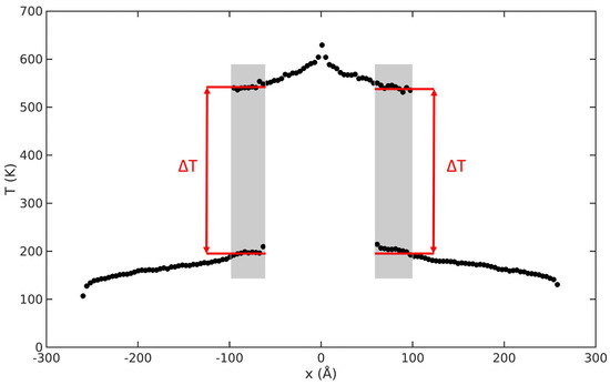
2. Methods
3. Results
4. Discussion
5. Conclusions
Author Contributions
Funding
Acknowledgments
Conflicts of Interest
Abbreviations
| GNRs | Graphene Nanoribbons |
| PNCs | Polymer Nanocomposites |
| MD | Molecular Dynamics |
| AIREBO | Adaptive Intermolecular Reactive Empirical Bond Order |
| LAMMPS | Large-scale Atomic/Molecular Massively Parallel Simulator |
Appendix A
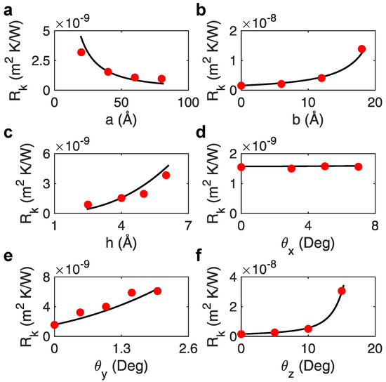
| N. | a (Å) | b (Å) | h (Å) | , MD (×10−9 m2K/W) | , MD | , Fitting | |||||
|---|---|---|---|---|---|---|---|---|---|---|---|
| 1 | 20 | 0 | 4 | 0 | 0 | 0 | 3.19 | 0.10000 | 1.17647 | 15.32 | 21.23 |
| 2 | 40 | 0 | 4 | 0 | 0 | 0 | 1.55 | 0.20000 | 1.17647 | 7.44 | 7.55 |
| 3 | 60 | 0 | 4 | 0 | 0 | 0 | 1.08 | 0.30000 | 1.17647 | 5.16 | 4.13 |
| 4 | 80 | 0 | 4 | 0 | 0 | 0 | 0.97 | 0.40000 | 1.17647 | 4.63 | 2.69 |
| 5 | 40 | 6 | 4 | 0 | 0 | 0 | 2.12 | 0.15000 | 1.17647 | 10.18 | 11.60 |
| 6 | 40 | 12 | 4 | 0 | 0 | 0 | 4.10 | 0.10000 | 1.17647 | 19.67 | 21.23 |
| 7 | 40 | 18 | 4 | 0 | 0 | 0 | 13.90 | 0.05000 | 1.17647 | 66.72 | 59.68 |
| 8 | 40 | 0 | 2.5 | 0 | 0 | 0 | 0.90 | 0.20000 | 0.73529 | 4.32 | 2.18 |
| 9 | 40 | 0 | 5 | 0 | 0 | 0 | 1.97 | 0.20000 | 1.47058 | 9.46 | 13.63 |
| 10 | 40 | 0 | 6 | 0 | 0 | 0 | 3.84 | 0.20000 | 1.76470 | 18.44 | 22.08 |
| 11 | 40 | 0 | 4 | 3 | 0 | 0 | 1.50 | 0.19972 | 1.17647 | 7.21 | 7.57 |
| 12 | 40 | 0 | 4 | 5 | 0 | 0 | 1.58 | 0.19923 | 1.17647 | 7.57 | 7.60 |
| 13 | 40 | 0 | 4 | 7 | 0 | 0 | 1.56 | 0.19850 | 1.17647 | 7.50 | 7.64 |
| 14 | 40 | 0 | 4 | 0 | 0.5 | 0 | 3.23 | 0.19998 | 1.38180 | 15.50 | 11.56 |
| 15 | 40 | 0 | 4 | 0 | 1 | 0 | 4.01 | 0.19992 | 1.58714 | 19.26 | 16.69 |
| 16 | 40 | 0 | 4 | 0 | 1.5 | 0 | 5.89 | 0.19982 | 1.79248 | 28.27 | 23.04 |
| 17 | 40 | 0 | 4 | 0 | 2 | 0 | 6.10 | 0.19969 | 1.99782 | 29.28 | 30.73 |
| 18 | 40 | 0 | 4 | 0 | 0 | 5 | 2.63 | 0.14206 | 1.17647 | 12.61 | 12.58 |
| 19 | 40 | 0 | 4 | 0 | 0 | 10 | 5.09 | 0.08399 | 1.17647 | 24.45 | 27.54 |
| 20 | 40 | 0 | 4 | 0 | 0 | 15 | 30.61 | 0.02708 | 1.17647 | 146.94 | 148.90 |
| 21 | 40 | 0 | 4 | 0 | 0 | 30 | 112.00 | 0.00000 | 1.17647 | 537.60 | - |
| 22 | 40 | 0 | 4 | 0 | 0 | 45 | 119.99 | 0.00000 | 1.17647 | 575.96 | - |
References
- Marconnet, A.M.; Panzer, M.A.; Goodson, K.E. Thermal conduction phenomena in carbon nanotubes and related nanostructured materials. Rev. Mod. Phys. 2013, 85, 1295. [Google Scholar] [CrossRef]
- Colla, L.; Fedele, L.; Mancin, S.; Danza, L.; Manca, O. Nano-PCMs for enhanced energy storage and passive cooling applications. Appl. Therm. Eng. 2017, 110, 584–589. [Google Scholar] [CrossRef]
- Rabczuk, T.; Azadi Kakavand, M.R.; Palanivel Uma, R.; Hossein Nezhad Shirazi, A.; Makaremi, M. Thermal Conductance along Hexagonal Boron Nitride and Graphene Grain Boundaries. Energies 2018, 11, 1553. [Google Scholar] [CrossRef]
- Sheikholeslami, M.; Mehryan, S.; Shafee, A.; Sheremet, M.A. Variable magnetic forces impact on magnetizable hybrid nanofluid heat transfer through a circular cavity. J. Mol. Liq. 2019, 277, 388–396. [Google Scholar] [CrossRef]
- Du, Y.; Li, H.; Jia, X.; Dou, Y.; Xu, J.; Eklund, P. Preparation and Thermoelectric Properties of Graphite/poly (3,4-ethyenedioxythiophene) Nanocomposites. Energies 2018, 11, 2849. [Google Scholar] [CrossRef]
- Zhang, X.; Wen, H.; Chen, X.; Wu, Y.; Xiao, S. Study on the Thermal and Dielectric Properties of SrTiO3/Epoxy Nanocomposites. Energies 2017, 10, 692. [Google Scholar] [CrossRef]
- Sangermano, M.; Calvara, L.; Chiavazzo, E.; Ventola, L.; Asinari, P.; Mittal, V.; Rizzoli, R.; Ortolani, L.; Morandi, V. Enhancement of electrical and thermal conductivity of Su-8 photocrosslinked coatings containing graphene. Prog. Org. Coat. 2015, 86, 143–146. [Google Scholar] [CrossRef]
- Kawai, S.; Benassi, A.; Gnecco, E.; Söde, H.; Pawlak, R.; Feng, X.; Müllen, K.; Passerone, D.; Pignedoli, C.A.; Ruffieux, P.; et al. Superlubricity of graphene nanoribbons on gold surfaces. Science 2016, 351, 957–961. [Google Scholar] [CrossRef] [PubMed]
- Crisafulli, A.; Khodayari, A.; Mohammadnejad, S.; Fasano, M. Sliding Dynamics of Parallel Graphene Sheets: Effect of Geometry and Van Der Waals Interactions on Nano-Spring Behavior. Crystals 2018, 8, 149. [Google Scholar] [CrossRef]
- Bu, H.; Chen, Y.; Zou, M.; Yi, H.; Bi, K.; Ni, Z. Atomistic simulations of mechanical properties of graphene nanoribbons. Phys. Lett. A 2009, 373, 3359–3362. [Google Scholar] [CrossRef]
- Pereira, L.F.C.; Mortazavi, B.; Makaremi, M.; Rabczuk, T. Anisotropic thermal conductivity and mechanical properties of phagraphene: A molecular dynamics study. RSC Adv. 2016, 6, 57773–57779. [Google Scholar] [CrossRef]
- Sáenz Ezquerro, C.; Laspalas, M.; Chiminelli, A.; Serrano, F.; Valero, C. Interface Characterization of Epoxy Resin Nanocomposites: A Molecular Dynamics Approach. Fibers 2018, 6, 54. [Google Scholar] [CrossRef]
- Serrano, E.; Rus, G.; Garcia-Martinez, J. Nanotechnology for sustainable energy. Renew. Sustain. Energy Rev. 2009, 13, 2373–2384. [Google Scholar] [CrossRef]
- Trompeta, A.F.A.; Koumoulos, E.P.; Stavropoulos, S.G.; Velmachos, T.G.; Psarras, G.C.; Charitidis, C.A. Assessing the Critical Multifunctionality Threshold for Optimal Electrical, Thermal, and Nanomechanical Properties of Carbon Nanotubes/Epoxy Nanocomposites for Aerospace Applications. Aerospace 2019, 6, 7. [Google Scholar] [CrossRef]
- Cheng, Z.; Chai, R.; Ma, P.; Dai, Y.; Kang, X.; Lian, H.; Hou, Z.; Li, C.; Lin, J. Multiwalled carbon nanotubes and NaYF4: Yb3+/Er3+ Nanoparticle-Doped Bilayer hydrogel for concurrent nir-triggered drug release and up-conversion luminescence tagging. Langmuir 2013, 29, 9573–9580. [Google Scholar] [CrossRef] [PubMed]
- He, S.; Chen, L.; Xie, C.; Hu, H.; Chen, S.; Hanif, M.; Hou, H. Supercapacitors based on 3D network of activated carbon nanowhiskers wrapped-on graphitized electrospun nanofibers. J. Power Sources 2013, 243, 880–886. [Google Scholar] [CrossRef]
- Mortazavi, B.; Makaremi, M.; Shahrokhi, M.; Fan, Z.; Rabczuk, T. N-graphdiyne two-dimensional nanomaterials: Semiconductors with low thermal conductivity and high stretchability. Carbon 2018, 137, 57–67. [Google Scholar] [CrossRef]
- Pandey, G.; Thostenson, E.T. Carbon nanotube-based multifunctional polymer nanocomposites. Polym. Rev. 2012, 52, 355–416. [Google Scholar] [CrossRef]
- Shen, D.; Shi, S.; Xu, T. Effects of two-dimensional programming on microstructures and thermal properties of shape memory polymer-based composites. J. Appl. Polym. Sci. 2017, 134, 45480. [Google Scholar] [CrossRef]
- Speight, J.G. Lange’s Handbook of Chemistry; McGraw-Hill: New York, NY, USA, 2005; Volume 1. [Google Scholar]
- Han, Z.; Fina, A. Thermal conductivity of carbon nanotubes and their polymer nanocomposites: A review. Prog. Polym. Sci. 2011, 36, 914–944. [Google Scholar] [CrossRef]
- Pan, C.N.; Chen, X.K.; Tang, L.M.; Chen, K.Q. Orientation dependent thermal conductivity in graphyne nanoribbons. Phys. E Low-Dimens. Syst. Nanostruct. 2014, 64, 129–133. [Google Scholar] [CrossRef]
- Gojny, F.H.; Wichmann, M.H.; Fiedler, B.; Kinloch, I.A.; Bauhofer, W.; Windle, A.H.; Schulte, K. Evaluation and identification of electrical and thermal conduction mechanisms in carbon nanotube/epoxy composites. Polymer 2006, 47, 2036–2045. [Google Scholar] [CrossRef]
- Moisala, A.; Li, Q.; Kinloch, I.; Windle, A. Thermal and electrical conductivity of single-and multi-walled carbon nanotube-epoxy composites. Compos. Sci. Technol. 2006, 66, 1285–1288. [Google Scholar] [CrossRef]
- Bryning, M.; Milkie, D.; Islam, M.; Kikkawa, J.; Yodh, A. Thermal conductivity and interfacial resistance in single-wall carbon nanotube epoxy composites. Appl. Phys. Lett. 2005, 87, 161909. [Google Scholar] [CrossRef]
- Huxtable, S.T.; Cahill, D.G.; Shenogin, S.; Xue, L.; Ozisik, R.; Barone, P.; Usrey, M.; Strano, M.S.; Siddons, G.; Shim, M.; et al. Interfacial heat flow in carbon nanotube suspensions. Nat. Mater. 2003, 2, 731. [Google Scholar] [CrossRef] [PubMed]
- Hao, F.; Fang, D.; Xu, Z. Mechanical and thermal transport properties of graphene with defects. Appl. Phys. Lett. 2011, 99, 041901. [Google Scholar] [CrossRef]
- Kipper, A.C.; da Silva, L.B. Non equilibrium molecular dynamics simulation study of thermal conductivity in doped graphene nanoribbons. Phys. B Condens. Matter 2019, 556, 1–5. [Google Scholar] [CrossRef]
- Mortazavi, B.; Benzerara, O.; Meyer, H.; Bardon, J.; Ahzi, S. Combined molecular dynamics-finite element multiscale modeling of thermal conduction in graphene epoxy nanocomposites. Carbon 2013, 60, 356–365. [Google Scholar] [CrossRef]
- Gujrati, P.D.; Leonov, A.I. Modeling and Simulation in Polymers; John Wiley & Sons: Weinheim, Germany, 2010. [Google Scholar]
- Bui, K.; Duong, H.M.; Striolo, A.; Papavassiliou, D.V. Effective Heat Transfer Properties of Graphene Sheet Nanocomposites and Comparison to Carbon Nanotube Nanocomposites. J. Phys. Chem. C 2011, 115, 3872–3880. [Google Scholar] [CrossRef]
- Tascini, A.S.; Armstrong, J.; Chiavazzo, E.; Fasano, M.; Asinari, P.; Bresme, F. Thermal transport across nanoparticle–fluid interfaces: The interplay of interfacial curvature and nanoparticle–fluid interactions. Phys. Chem. Chem. Phys. 2017, 19, 3244–3253. [Google Scholar] [CrossRef] [PubMed]
- Fasano, M.; Bigdeli, M.B. Bottom up approach toward prediction of effective thermophysical properties of carbon-based nanofluids. Heat Transf. Eng. 2018, 39, 1690–1701. [Google Scholar] [CrossRef]
- Khodayari, A.; Fasano, M.; Bigdeli, M.B.; Mohammadnejad, S.; Chiavazzo, E.; Asinari, P. Effect of interfacial thermal resistance and nanolayer on estimates of effective thermal conductivity of nanofluids. Case Stud. Therm. Eng. 2018, 12, 454–461. [Google Scholar] [CrossRef]
- Bernal, M.M.; Di Pierro, A.; Novara, C.; Giorgis, F.; Mortazavi, B.; Saracco, G.; Fina, A. Edge-Grafted Molecular Junctions between Graphene Nanoplatelets: Applied Chemistry to Enhance Heat Transfer in Nanomaterials. Adv. Funct. Mater. 2018, 28, 1706954. [Google Scholar] [CrossRef]
- Bigdeli, M.B.; Fasano, M. Thermal transmittance in graphene based networks for polymer matrix composites. Int. J. Therm. Sci. 2017, 117, 98–105. [Google Scholar] [CrossRef]
- Varshney, V.; Roy, A.K.; Michalak, T.J.; Lee, J.; Farmer, B.L. Effect of curing and functionalization on the interface thermal conductance in carbon nanotube–epoxy composites. JOM 2013, 65, 140–146. [Google Scholar] [CrossRef]
- Wang, Y.; Zhan, H.; Xiang, Y.; Yang, C.; Wang, C.M.; Zhang, Y. Effect of covalent functionalization on thermal transport across graphene–polymer interfaces. J. Phys. Chem. C 2015, 119, 12731–12738. [Google Scholar] [CrossRef]
- Zabihi, Z.; Araghi, H. Effect of functional groups on thermal conductivity of graphene/paraffin nanocomposite. Phys. Lett. A 2016, 380, 3828–3831. [Google Scholar] [CrossRef]
- Fina, A.; Colonna, S.; Maddalena, L.; Tortello, M.; Monticelli, O. Facile and Low Environmental Impact Approach to Prepare Thermally Conductive Nanocomposites Based on Polylactide and Graphite Nanoplatelets. ACS Sustain. Chem. Eng. 2018, 6, 14340–14347. [Google Scholar] [CrossRef] [PubMed]
- Shenogin, S.; Bodapati, A.; Xue, L.; Ozisik, R.; Keblinski, P. Effect of chemical functionalization on thermal transport of carbon nanotube composites. Appl. Phys. Lett. 2004, 85, 2229–2231. [Google Scholar] [CrossRef]
- Chiavazzo, E.; Asinari, P. Reconstruction and modeling of 3D percolation networks of carbon fillers in a polymer matrix. Int. J. Therm. Sci. 2010, 49, 2272–2281. [Google Scholar] [CrossRef]
- Shtein, M.; Nadiv, R.; Buzaglo, M.; Kahil, K.; Regev, O. Thermally conductive graphene-polymer composites: Size, percolation, and synergy effects. Chem. Mater. 2015, 27, 2100–2106. [Google Scholar] [CrossRef]
- Fasano, M.; Bigdeli, M.B.; Sereshk, M.R.V.; Chiavazzo, E.; Asinari, P. Thermal transmittance of carbon nanotube networks: Guidelines for novel thermal storage systems and polymeric material of thermal interest. Renew. Sustain. Energy Rev. 2015, 41, 1028–1036. [Google Scholar] [CrossRef]
- Stuart, S.J.; Tutein, A.B.; Harrison, J.A. A reactive potential for hydrocarbons with intermolecular interactions. J. Chem. Phys. 2000, 112, 6472–6486. [Google Scholar] [CrossRef]
- Plimpton, S. Fast parallel algorithms for short-range molecular dynamics. J. Comput. Phys. 1995, 117, 1–19. [Google Scholar] [CrossRef]
- Müller-Plathe, F. A simple nonequilibrium molecular dynamics method for calculating the thermal conductivity. J. Chem. Phys. 1997, 106, 6082–6085. [Google Scholar] [CrossRef]
- Sledzinska, M.; Quey, R.; Mortazavi, B.; Graczykowski, B.; Placidi, M.; Saleta Reig, D.; Navarro-Urrios, D.; Alzina, F.; Colombo, L.; Roche, S.; et al. Record Low Thermal Conductivity of Polycrystalline MoS2 Films: Tuning the Thermal Conductivity by Grain Orientation. ACS Appl. Mater. Interfaces 2017, 9, 37905–37911. [Google Scholar] [CrossRef] [PubMed]
- Hamby, D. A review of techniques for parameter sensitivity analysis of environmental models. Environ. Monit. Assess. 1994, 32, 135–154. [Google Scholar] [CrossRef] [PubMed]
- Schmidt, M.; Lipson, H. Distilling free-form natural laws from experimental data. Science 2009, 324, 81–85. [Google Scholar] [CrossRef] [PubMed]
- Schmidt, M.; Lipson, H. Eureqa (Version 0.98 Beta) [Software], Nutonian: Somerville, MA, USA, 2013.
- Shahil, K.M.; Balandin, A.A. Graphene–multilayer graphene nanocomposites as highly efficient thermal interface materials. Nano Lett. 2012, 12, 861–867. [Google Scholar] [CrossRef] [PubMed]
- Tarani, E.; Papageorgiou, D.; Valles, C.; Wurm, A.; Terzopoulou, Z.; Bikiaris, D.; Schick, C.; Chrissafis, K.; Vourlias, G. Insights into crystallization and melting of high density polyethylene/graphene nanocomposites studied by fast scanning calorimetry. Polym. Test. 2018, 67, 349–358. [Google Scholar] [CrossRef]
- Roussou, R.E.; Karatasos, K. Graphene/poly (ethylene glycol) nanocomposites as studied by molecular dynamics simulations. Mater. Des. 2016, 97, 163–174. [Google Scholar] [CrossRef]
- Cardellini, A.; Fasano, M.; Bigdeli, M.B.; Chiavazzo, E.; Asinari, P. Thermal transport phenomena in nanoparticle suspensions. J. Phys. Condens. Matter 2016, 28, 483003. [Google Scholar] [CrossRef] [PubMed]
- Rohsenow, W.M.; Hartnett, J.P.; Cho, Y.I. Handbook of Heat Transfer; McGraw-Hill: New York, NY, USA, 1998; Volume 3. [Google Scholar]
- Zhou, H.; Wang, H.; Du, X.; Zhang, Y.; Zhou, H.; Yuan, H.; Liu, H.Y.; Mai, Y.W. Facile fabrication of large 3D graphene filler modified epoxy composites with improved thermal conduction and tribological performance. Carbon 2018, 139, 1168–1177. [Google Scholar] [CrossRef]
- Rafiee, M.; Nitzsche, F.; Laliberte, J.; Hind, S.; Robitaille, F.; Labrosse, M. Thermal properties of doubly reinforced fiberglass/epoxy composites with graphene nanoplatelets, graphene oxide and reduced-graphene oxide. Compos. Part B Eng. 2019, 164, 1–9. [Google Scholar] [CrossRef]
- Annett, J.; Cross, G.L. Self-assembly of graphene ribbons by spontaneous self-tearing and peeling from a substrate. Nature 2016, 535, 271. [Google Scholar] [CrossRef] [PubMed]




© 2019 by the authors. Licensee MDPI, Basel, Switzerland. This article is an open access article distributed under the terms and conditions of the Creative Commons Attribution (CC BY) license (http://creativecommons.org/licenses/by/4.0/).
Share and Cite
Mohammad Nejad, S.; Bozorg Bigdeli, M.; Srivastava, R.; Fasano, M. Heat Transfer at the Interface of Graphene Nanoribbons with Different Relative Orientations and Gaps. Energies 2019, 12, 796. https://doi.org/10.3390/en12050796
Mohammad Nejad S, Bozorg Bigdeli M, Srivastava R, Fasano M. Heat Transfer at the Interface of Graphene Nanoribbons with Different Relative Orientations and Gaps. Energies. 2019; 12(5):796. https://doi.org/10.3390/en12050796
Chicago/Turabian StyleMohammad Nejad, Shahin, Masoud Bozorg Bigdeli, Rajat Srivastava, and Matteo Fasano. 2019. "Heat Transfer at the Interface of Graphene Nanoribbons with Different Relative Orientations and Gaps" Energies 12, no. 5: 796. https://doi.org/10.3390/en12050796
APA StyleMohammad Nejad, S., Bozorg Bigdeli, M., Srivastava, R., & Fasano, M. (2019). Heat Transfer at the Interface of Graphene Nanoribbons with Different Relative Orientations and Gaps. Energies, 12(5), 796. https://doi.org/10.3390/en12050796

