Numerical Investigation of Heat Transfer to Supercritical Water in Vertical Tube under Semicircular Heating Condition
Abstract
1. Introduction
2. Modeling
2.1. Turbulent Model
2.2. Numerical Method
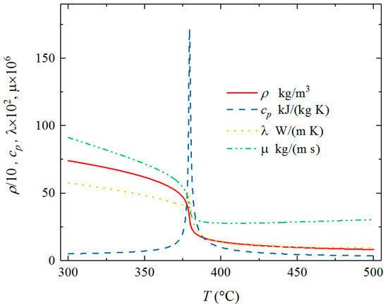
2.3. Model Validation
3. Numerical Results and Discussion
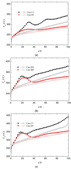
3.1. Influence of Semicircular Heating Form on Flow and Heat Transfer
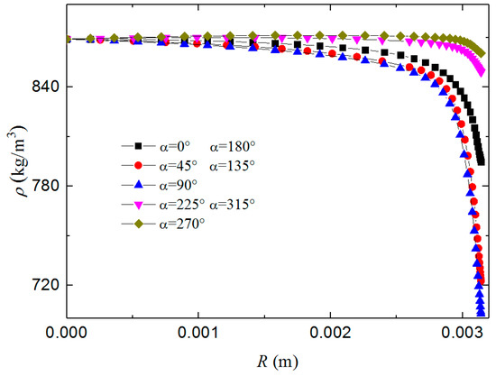
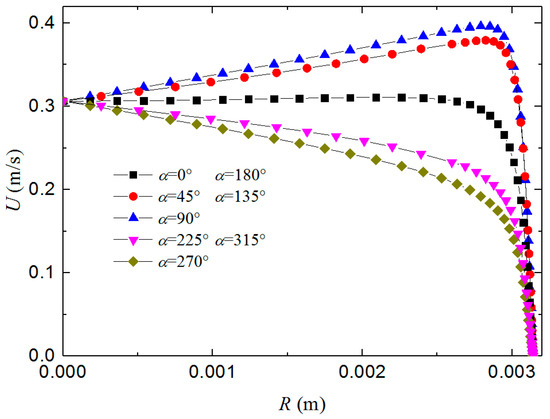
3.2. Mechanism of Buoyancy Effect on Heat Transfer Deterioration in Semicircular Heating Form
4. Conclusions
Author Contributions
Funding
Conflicts of Interest
References
- Imre, A.; Deiters, U.; Kraska, T.; Tiselj, I.; Imre, A. The pseudocritical regions for supercritical water. Nucl. Eng. Des. 2012, 252, 179–183. [Google Scholar] [CrossRef]
- Kim, W.; He, S.; Jackson, J. Assessment by comparison with DNS data of turbulence models used in simulations of mixed convection. Int. J. Heat Mass Transf. 2008, 51, 1293–1312. [Google Scholar] [CrossRef]
- Jackson, J.D.; Hall, W.B. Forced convection heat transfer to fluids at supercritical pressure, in: Turbulent Forced Convection in Channels and Bundles. Hemisphere 1979, 2, 563–611. [Google Scholar]
- Hall, W.B.; Jackson, J.D.; Watson, A. A review of forced convection heat transfer to fluids at supercritical pressures. Proc. Inst. Mech. Eng. 1967, 182, 10–22. [Google Scholar] [CrossRef]
- Shitsmanm, M.E. Impairment of heat transmission at supercritical pressures. High Temp 1963, 1, 237–244. [Google Scholar]
- Fewster, J. Mixed Forced and Free Convective Heat Transfer to Supercritical Pressure Fluids Flowing in Vertical Pipes. Ph.D. Thesis, University of Manchester, Manchester, UK, 1976. [Google Scholar]
- Balaskó, M.; Horváth, L.; Horváth, Á.; Kiss, A.; Aszodi, A. Study on the Properties of Supercritical Water Flowing in a Closed Loop using Dynamic Neutron Radiography. Phys. Procedia 2013, 43, 254–263. [Google Scholar] [CrossRef]
- Pis’Menny, E.N.; Razumovskiy, V.G.; Maevskiy, E.M.; Koloskov, A.E.; Pioro, I.L. Heat Transfer to Supercritical Water in Gaseous State or Affected by Mixed Convection in Vertical Tubes. In Proceedings of the 14th International Conference on Nuclear Engineering, Miami, FL, USA, 17–20 July 2006. [Google Scholar]
- Gu, H.; Zhao, M.; Cheng, X. Experimental studies on heat transfer to supercritical water in circular tubes at high heat fluxes. Exp. Therm. Fluid Sci. 2015, 65, 22–32. [Google Scholar] [CrossRef]
- Licht, J.; Anderson, M.; Corradini, M. Heat transfer to water at supercritical pressures in a circular and square annular flow geometry. Int. J. Heat Fluid Flow 2008, 29, 156–166. [Google Scholar] [CrossRef]
- Mokry, S.; Pioro, I.; Kirillov, P.; Gospodinov, Y. Supercritical-water heat transfer in a vertical bare tube. Nucl. Eng. Des. 2010, 240, 568–576. [Google Scholar] [CrossRef]
- Jiang, P.X.; Xu, Y.J.; Lv, J.; Shi, R.F.; He, S.; Jackson, J.D. Experimental investigation of convection heat transfer of CO2, at super-critical pressures in vertical mini-tubes and in porous media. Appl. Therm. Eng. 2004, 24, 1255–1270. [Google Scholar] [CrossRef]
- Jiang, P.X.; Zhang, Y.; Xu, Y.J.; Shi, R.F. Experimental and numerical investigation of convection heat transfer of CO2 at supercritical pressures in a vertical tube at low Reynolds numbers. Int. J. Heat Mass Transf. 2010, 47, 998–1011. [Google Scholar] [CrossRef]
- Jiang, P.X.; Zhang, Y.; Zhao, C.R.; Shi, R.F. Convection heat transfer of CO2, at supercritical pressures in a vertical mini tube at relatively low reynolds numbers. Exp. Therm. Fluid Sci. 2008, 32, 1628–1637. [Google Scholar] [CrossRef]
- Liao, S.; Zhao, T. An experimental investigation of convection heat transfer to supercritical carbon dioxide in miniature tubes. Int. J. Heat Mass Transf. 2002, 45, 5025–5034. [Google Scholar] [CrossRef]
- Song, J.H.; Kim, H.Y.; Kim, H.; Bae, Y.Y. Heat transfer characteristics of a supercritical fluid flow in a vertical pipe. J. Supercrit. Fluids 2008, 44, 164–171. [Google Scholar] [CrossRef]
- Duffey, R.B.; Pioro, I.L. Experimental heat transfer of supercritical carbon dioxide flowing inside channels (survey). Nucl. Eng. Des. 2005, 235, 913–924. [Google Scholar] [CrossRef]
- Jackson, J.D.; Cotton, M.A.; Axcell, B.P. Studies of mixed convection in vertical tubes. Int. J. Heat Fluid Flow 1989, 10, 2–15. [Google Scholar] [CrossRef]
- Griem, H. A new procedure for the prediction of forced convection heat transfer at near- and supercritical pressure. Heat Mass Transf. 1996, 31, 301–305. [Google Scholar] [CrossRef]
- Jackson, J.D. Fluid flow and convective heat transfer to fluids at supercritical pressure. Nucl. Eng. Des. 2013, 264, 24–40. [Google Scholar] [CrossRef]
- Kim, J.K.; Hong, K.J.; Lee, J.S. Wall temperature measurement and heat transfer correlation of turbulent supercritical carbon dioxide flow in vertical circular/non-circular tubes. Nucl. Eng. Des. 2007, 237, 1795–1802. [Google Scholar] [CrossRef]
- Bae, Y.-Y.; Kim, H.-Y. Convective heat transfer to CO2 at a supercritical pressure flowing vertically upward in tubes and an annular channel. Exp. Therm. Fluid Sci. 2009, 33, 329–339. [Google Scholar] [CrossRef]
- Wen, Q.; Gu, H. Numerical simulation of heat transfer deterioration phenomenon in supercritical water through vertical tube. Ann. Nucl. Energy 2010, 37, 1272–1280. [Google Scholar] [CrossRef]
- He, S.; Kim, W.S.; Jiang, P.X.; Jackson, J.D. Simulation of mixed convection heat transfer to carbon dioxide at supercritical pressure. Proc. Inst. Mech. Eng. Part C J. Mech. Eng. Sci. 2004, 218, 1281–1296. [Google Scholar] [CrossRef]
- He, S.; Kim, W.; Bae, J. Assessment of performance of turbulence models in predicting supercritical pressure heat transfer in a vertical tube. Int. J. Heat Mass Transf. 2008, 51, 4659–4675. [Google Scholar] [CrossRef]
- Zhang, G.; Zhang, H.; Gu, H.; Yang, Y.; Cheng, X. Experimental and numerical investigation of turbulent convective heat transfer deterioration of supercritical water in vertical tube. Nucl. Eng. Des. 2012, 248, 226–237. [Google Scholar] [CrossRef]
- Mohseni, M.; Bazargan, M. A New Correlation for the Turbulent Prandtl Number in Upward Rounded Tubes in Supercritical Fluid Flows. J. Heat Transf. 2016, 138, 081701. [Google Scholar] [CrossRef]
- Xiong, J.; Cheng, X. Turbulence modelling for supercritical pressure heat transfer in upward tube flow. Nucl. Eng. Des. 2014, 270, 249–258. [Google Scholar] [CrossRef]
- Pucciarelli, A.; Sharabi, M.; Ambrosini, W. Prediction of heat transfer to supercritical fluids by the use of Algebraic Heat Flux Models. Nucl. Eng. Des. 2012, 297, 257–266. [Google Scholar] [CrossRef]
- Bae, Y.Y. A new formulation of variable turbulent Prandtl number for heat transfer to supercritical fluids. Int. J. Heat Mass Transf. 2016, 92, 792–806. [Google Scholar] [CrossRef]
- Bae, Y.-Y.; Kim, E.-S.; Kim, M. Numerical simulation of supercritical pressure fluids with property-dependent turbulent Prandtl number and variable damping function. Int. J. Heat Mass Transf. 2016, 101, 488–501. [Google Scholar] [CrossRef]
- Zhao, C.R.; Zhang, Z.; Jiang, P.X.; Bo, H.L. Influence of various aspects of low Reynolds number k-ε turbulence models on predicting in-tube buoyancy affected heat transfer to supercritical pressure fluids. Nucl. Eng. Des. 2017, 313, 401–413. [Google Scholar] [CrossRef]
- Bae, J.H.; Yoo, J.Y.; Choi, H. Direct numerical simulation of turbulent supercritical flows with heat transfer. Phys. Fluids 2005, 17, 105104. [Google Scholar] [CrossRef]
- Niceno, B.; Sharabi, M. Large eddy simulation of turbulent heat transfer at supercritical pressures. Nucl. Eng. Des. 2013, 261, 44–55. [Google Scholar] [CrossRef]
- Jiang, P.-X.; Wang, Z.-C.; Xu, R.-N. A modified buoyancy effect correction method on turbulent convection heat transfer of supercritical pressure fluid based on RANS model. Int. J. Heat Mass Transf. 2018, 127, 257–267. [Google Scholar] [CrossRef]
- Ishikawa, H.; Suhara, S.; Abe, T.; Takahashi, T. Forced Convection Heat Transfer to Supercritical Water from Semicricular Heated Surface in Vertical Tube(part1) the Design of Experimental Equipment and Measurement of Heat Transfer Coefficient; Report No. 277015; Central Research Institute of Electric Power Industry: Tokyo, Japan, 1977. [Google Scholar]
- Hu, Z.H. Heat Transfer Characteristics of Vertical Upflow and Inclined Tube in the Supercritical Pressure and Near-Critical Pressure Region. Ph.D. Thesis, Xi’an Jiaotong University, Xi’an, China, 2001. [Google Scholar]
- Li, Z.H.; Wu, Y.X.; Lu, J.F.; Zhang, D.; Zhang, H. Heat transfer to supercritical water in circular tubes with circumferentially non-uniform heating. Appl. Therm. Eng. 2014, 70, 190–200. [Google Scholar] [CrossRef]
- Zhang, G.; Li, Y.; Dai, Y.; Wang, R. Heat transfer to supercritical water in a vertical tube with concentrated incident solar heat flux on one side. Int. J. Heat Mass Transf. 2016, 95, 944–952. [Google Scholar] [CrossRef]
- Qu, M.; Yang, D.; Liang, Z.; Wan, L.; Liu, D. Experimental and numerical investigations on heat transfer of ultra-supercritical water in vertical upward tube under uniform and non-uniform heating. Int. J. Heat Mass Transf. 2018, 127, 769–783. [Google Scholar] [CrossRef]
- ANSYS Inc. ANSYS Fluent Theory Guide Release 13.0.; ANSYS Inc.: Canonsburg, PA, USA, 2011. [Google Scholar]












| Case | P (MPa) | G (kg/m2s) | qw (W/m2) |
|---|---|---|---|
| C1 | 23.5 | 249 | 167 |
| C2 | 23.5 | 249 | 253 |
| C3 | 23.5 | 249 | 289 |
| D1 | 23.5 | 249 | 167 (0° < α < 180°) |
| D2 | 23.5 | 249 | 253 (0° < α < 180°) |
| D3 | 23.5 | 249 | 289 (0° < α < 180°) |
| Mesh | Circumferential Grid Size (°) | First Layer Distance (y/D) | Grid Quantity (million) |
|---|---|---|---|
| m1 | 4.5 | 3.18 × 10−4 | 1.5 |
| m2 | 3 | 1.59 × 10−4 | 2.4 |
| m3 | 2.25 | 1.59 × 10−4 | 5.0 |
© 2019 by the authors. Licensee MDPI, Basel, Switzerland. This article is an open access article distributed under the terms and conditions of the Creative Commons Attribution (CC BY) license (http://creativecommons.org/licenses/by/4.0/).
Share and Cite
Wang, Z.; Qi, G.; Li, M. Numerical Investigation of Heat Transfer to Supercritical Water in Vertical Tube under Semicircular Heating Condition. Energies 2019, 12, 3958. https://doi.org/10.3390/en12203958
Wang Z, Qi G, Li M. Numerical Investigation of Heat Transfer to Supercritical Water in Vertical Tube under Semicircular Heating Condition. Energies. 2019; 12(20):3958. https://doi.org/10.3390/en12203958
Chicago/Turabian StyleWang, Zhenchuan, Guoli Qi, and Meijun Li. 2019. "Numerical Investigation of Heat Transfer to Supercritical Water in Vertical Tube under Semicircular Heating Condition" Energies 12, no. 20: 3958. https://doi.org/10.3390/en12203958
APA StyleWang, Z., Qi, G., & Li, M. (2019). Numerical Investigation of Heat Transfer to Supercritical Water in Vertical Tube under Semicircular Heating Condition. Energies, 12(20), 3958. https://doi.org/10.3390/en12203958
