State of Charge Estimation Algorithm for Unmanned Aerial Vehicle Power-Type Lithium Battery Packs Based on the Extended Kalman Filter
Abstract
1. Introduction
2. Methods
3. Modeling and Parameter Identification
3.1. Modeling of Battery System
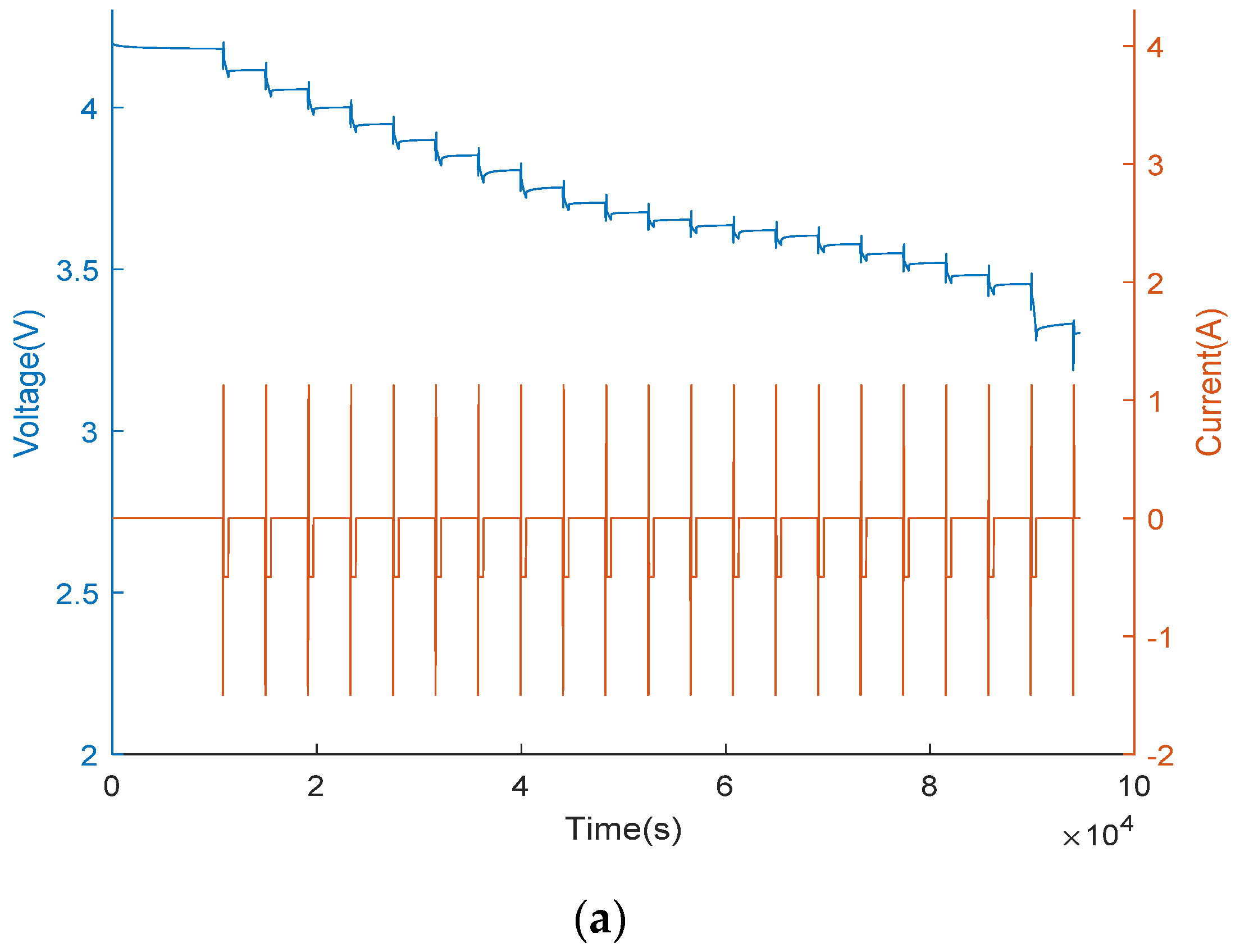
3.2. HPPC Test and Parameter Identification
3.3. EKF Algorithm
- is the input noise matrix, caused by the error of the model;
- is the measure noise matrix, caused by battery voltage measurement error;
- is the sampling period;
- and are irrelevant.
4. Experimental Verification and Discussion
5. Conclusions
Author Contributions
Funding
Conflicts of Interest
References
- Liang, B.; Wang, H.; Yuan, C. Design and Optimization of Power System for Small Electric UAV; School of Aeronautics, Northwestern Polytechnical University: Xian, China, 2010. (In Chinese) [Google Scholar]
- Logan, M.; Chu, J.; Motter, M.; Carter, D.; Ol, M.; Zeune, C. Small UAV research and evolution in long endurance electric powered vehicles. In Proceedings of the AIAA Infotech@ Aerospace 2007 Conference and Exhibit, Rohnert Park, CA, USA, 7–10 May 2007. [Google Scholar]
- Cavcar, M.; Cavcar, A. Optimum range and endurance of a piston propeller aircraft with cambered wing. J. Aircr. 2005, 42, 212–217. [Google Scholar] [CrossRef]
- Wang, G.; Hu, Y.; Song, B.; Tan, C. Optimal design and endurance estimation of propulsion system for electricpowered unmanned vehicle. J. Aerosp. Power 2015, 30, 1834–1840, (In Chinese with English Abstract). [Google Scholar]
- He, Y. Research on State Estimation Strategy and Management System Technology of Power Lithium Battery Pack; University of Science and Technology: Anhui, China, 2012. (In Chinese) [Google Scholar]
- Schacht-Rodriguez, R.; Ortiz-Torres, G.; Garcia-Beltran, C.D.; Astorga-Zaragoza, C.M.; Ponsart, J.C.; Theilliol, D. SoC estimation using an Extended Kalman filter for UAV applications. In Proceedings of the 2017 International Conference on Unmanned Aircraft Systems (ICUAS), Miami, FL, USA, 13–16 June 2017; pp. 179–187. [Google Scholar]
- Shen, P. Research on High-Precision Co-Estimation of Battery State based on Model; Tsinghua University: Beijing, China, 2018. (In Chinese) [Google Scholar]
- Shen, P.; Ouyang, M.; Lu, L.; Li, J.; Feng, X. The co-estimation of state of charge, state of health, and state of function for lithium-ion batteries in electric vehicles. IEEE Trans. Veh. Technol. 2018, 67, 92–103. [Google Scholar] [CrossRef]
- Lu, L.; Han, X.; Li, J.; Hua, J.; Ouyang, M. A review on the key issues for lithium-ion battery management in electric vehicles. J. Power Sources 2013, 226, 272–288. [Google Scholar] [CrossRef]
- Guoliang, W.; Rengui, L.; Chunbo, Z.; Chan, C.C. State of charge estimation for NiMH battery based on electromotive force method. In Proceedings of the IEEE Vehicle Power and Propulsion Conference, Harbin, China, 3–5 September 2008; pp. 1–5. [Google Scholar]
- Coleman, M.; Lee, C.K.; Zhu, C.; Hurley, W. State-of-Charge Determination from EMF Voltage Estimation: Using Impedance, Terminal Voltage, and Current for Lead-Acid and Lithium-Ion Batteries. IEEE Trans. Ind. Electron. 2007, 54, 2550–2557. [Google Scholar] [CrossRef]
- Dang, X.; Yan, L.; Xu, K.; Wu, X.; Jiang, H.; Sun, H. Open-Circuit Voltage-Based State of Charge Estimation of Lithium-ion Battery Using Dual Neural Network Fusion Battery Model. Electrochim. Acta 2016, 188, 356–366. [Google Scholar] [CrossRef]
- Hu, J.; Hu, J.; Lin, H.; Li, X.; Jiang, C.; Qiu, X.; Li, W. State-of-charge estimation for battery management system using optimized support vector machine for regression. J. Power Sources 2014, 269, 682–693. [Google Scholar] [CrossRef]
- Han, X. Research on Mechanism Model and State Estimation of Lithium Ion Battery for Vehicles; Tsinghua University: Beijing, China, 2015. (In Chinese) [Google Scholar]
- Hu, X.; Li, S.; Peng, H. A comparative study of equivalent circuit models for Li-ion batteries. J. Power Sources 2012, 198, 359–367. [Google Scholar] [CrossRef]
- Nejad, S.; Gladwin, D.T.; Stone, D.A. A systematic review of lumped-parameter equivalent circuit models for real-time estimation of lithium-ion battery states. J. Power Sources 2016, 316, 183–196. [Google Scholar] [CrossRef]
- Cheng, K.W.E.; Divakar, B.P.; Wu, H.; Ding, K.; Ho, H.F. Battery-Management System (BMS) and SOC Development for Electrical Vehicles. IEEE Trans. Veh. Technol. 2011, 60, 76–88. [Google Scholar] [CrossRef]
- Plett, G.L. Extended Kalman filtering for battery management systems of LiPB-based HEV battery packs. J. Power Sources 2004, 134, 252–261. [Google Scholar] [CrossRef]
- Plett, G.L. Extended Kalman filtering for battery management systems of LiPB-based HEV battery packs. J. Power Sources 2004, 134, 262–276. [Google Scholar] [CrossRef]
- Hu, X.; Li, S.; Peng, H.; Sun, F. Robustness analysis of State-of-Charge estimation methods for two types of Li-ion batteries. J. Power Sources 2012, 217, 209–219. [Google Scholar] [CrossRef]
- Plett, G.L. Sigma-point Kalman filtering for battery management systems of LiPB-based HEV battery packs. J. Power Sources 2006, 161, 1356–1368. [Google Scholar] [CrossRef]
- He, H.; Xiong, R.; Peng, J. Real-time estimation of battery state-of-charge with unscented Kalman filter and RTOS μ COS-II platform. Appl. Energy 2016, 162, 1410–1418. [Google Scholar] [CrossRef]
- Li, J.; Klee Barillas, J.; Guenther, C.; Danzer, M.A. A comparative study of state of charge estimation algorithms for LiFePO4 batteries used in electric vehicles. J. Power Sources 2013, 230, 244–250. [Google Scholar] [CrossRef]
- Hu, X.; Sun, F.; Zou, Y. Estimation of State of Charge of a Lithium-Ion Battery Pack for Electric Vehicles Using an Adaptive Luenberger Observer. Energies 2010, 3, 1586–1603. [Google Scholar] [CrossRef]
- Zeng, Z.; Tian, J.; Li, D.; Tian, Y. An Online State of Charge Estimation Algorithm for Lithium-Ion Batteries Using an Improved Adaptive Cubature Kalman Filter. Energies 2018, 11, 59. [Google Scholar] [CrossRef]
- Xiong, R.; Sun, F.; Chen, Z.; He, H. A data-driven multi-scale extended Kalman filtering based parameter and state estimation approach of lithium-ion polymer battery in electric vehicles. Appl. Energy 2014, 113, 463–476. [Google Scholar] [CrossRef]
- Xia, B.; Lao, Z.; Zhang, R.; Tian, Y.; Chen, G.; Sun, Z.; Wang, W.; Sun, W.; Lai, Y.; Wang, M.; et al. Online Parameter Identification and State of Charge Estimation of Lithium-Ion Batteries Based on Forgetting Factor Recursive Least Squares and Nonlinear Kalman Filter. Energies 2018, 11, 3. [Google Scholar] [CrossRef]
- IdAho National Laboratory. Battery Test Manual for Plug-In Hybrid Electric Vehicles; Idaho National Laboratory: Idaho Falls, ID, USA, 2010.
- Sierra, G.; Orchard, M.; Goebel, K.; Kulkarni, C. Battery health management for small-size rotary-wing electric unmanned aerial vehicles: An efficient approach for constrained computing platforms. Reliab. Eng. Syst. Saf. 2019, 182, 166–178. [Google Scholar] [CrossRef]
- Technical Specification Document of BTS-5V100A; Neware Electronics Co., Ltd.: Futian District, Shenzhen, China, 2019.
- Shen, P.; Ouyang, M.; Han, X.; Feng, X.; Lu, L.; Li, J. Error Analysis of the Model-Based State-of-Charge Observer for Lithium-Ion Batteries. IEEE Trans. Veh. Technol. 2018, 67, 8055–8064. [Google Scholar] [CrossRef]













| Estimation Method | Advantages | Disadvantages |
|---|---|---|
| Ah integration | Simple and easy to be realized | Greatly affected by initial SOC, measurement error of current; low accuracy |
| OCV | Simple and accurate | Inapplicable for dynamic estimation |
| Typical estimation methods based on a machine learning model | Universality | Only applicable within the original training data range |
| Method based on the electrochemical model | Containing abundant internal information of battery | Complex model and huge computational burden |
| Equivalent circuit model | Simple and applicable for dynamic estimation | Greatly influenced by measurement and model errors |
| EKF | Accurate and reliable; insensitive to measurement noise and initial value of SOC | Depends on model accuracy; decreased estimation accuracy after battery aging |
| Parameter | Value |
|---|---|
| Nominal capacity | 1500 mAh (standard charge/0.2C discharge, 2.75 V cut-off) |
| Nominal voltage | 3.7 V |
| Charge cut-off voltage | 4.2 V |
| Discharge cut-off voltage | 2.75 V |
| Standard charge method | CC-CV (75 mA cut-off) Standard charge: 0.5C Rapid charge: 2C |
| Service temperature | Charge: 0 < T ≤ 10 °C, 0.2C 10 < T ≤ 20 °C, 0.5C 20 < T ≤ 45 °C, 1C |
| Definition: | |
| Initialization: | |
| Under , it is supposed that, | |
| Iterative Calculation: | |
| Under | |
| Update of state vector: | |
| Update of time of error covariance matrix: | |
| Calculating Kalman gain: | |
| Updating measurement of state vector: | |
| Updating measurement of error covariance matrix: |
© 2019 by the authors. Licensee MDPI, Basel, Switzerland. This article is an open access article distributed under the terms and conditions of the Creative Commons Attribution (CC BY) license (http://creativecommons.org/licenses/by/4.0/).
Share and Cite
Zhang, H.; Zhou, M.; Lan, X. State of Charge Estimation Algorithm for Unmanned Aerial Vehicle Power-Type Lithium Battery Packs Based on the Extended Kalman Filter. Energies 2019, 12, 3960. https://doi.org/10.3390/en12203960
Zhang H, Zhou M, Lan X. State of Charge Estimation Algorithm for Unmanned Aerial Vehicle Power-Type Lithium Battery Packs Based on the Extended Kalman Filter. Energies. 2019; 12(20):3960. https://doi.org/10.3390/en12203960
Chicago/Turabian StyleZhang, Haitao, Ming Zhou, and Xudong Lan. 2019. "State of Charge Estimation Algorithm for Unmanned Aerial Vehicle Power-Type Lithium Battery Packs Based on the Extended Kalman Filter" Energies 12, no. 20: 3960. https://doi.org/10.3390/en12203960
APA StyleZhang, H., Zhou, M., & Lan, X. (2019). State of Charge Estimation Algorithm for Unmanned Aerial Vehicle Power-Type Lithium Battery Packs Based on the Extended Kalman Filter. Energies, 12(20), 3960. https://doi.org/10.3390/en12203960
