Next Article in Journal
Numerical Simulation Investigation on the Windage Power Loss of a High-Speed Face Gear Drive
Previous Article in Journal
Integrated Techno-Economic Power System Planning of Transmission and Distribution Grids
 
 
Font Type:
Arial Georgia Verdana
Font Size:
Aa Aa Aa
Line Spacing:
Column Width:
Background:
Article

A Modified Blasingame Production Analysis Method for Vertical Wells Considering the Quadratic Gradient Term

School of Sciences, Southwest Petroleum University, Chengdu 610500, Sichuan, China
*
Author to whom correspondence should be addressed.
Energies 2019, 12(11), 2092; https://doi.org/10.3390/en12112092
Submission received: 22 March 2019 / Revised: 24 May 2019 / Accepted: 29 May 2019 / Published: 31 May 2019

Abstract

Fluid flow in actual oil reservoirs is consistent with material balance, which should be described by the nonlinear governing equation, including the quadratic gradient term (QGT). Nonetheless, the widely-used Blasingame production decline analysis (BPDA) is established based on the conventional governing equation neglecting the QGT, which leads to some errors in the interpretation of production data under some conditions, such as wells producing at a large drawdown pressure. This work extends BPDA to incorporate the effect of the QGT by modifying material balance time and normalized rate functions. The step-by-step procedure for the proposed production decline analysis (PPDA) is presented and compared with that for BPDA. The simulated cases for various production scenarios are used to validate PPDA. A field case is employed to show the applicability of PPDA in practice. Comparisons between the results obtained by BPDA and PPDA are analyzed in detail. It is found that BPDA overestimates the permeability and original oil-in-place, while PPDA works well. Compared with BPDA, PPDA can be employed to obtain more accurate original oil-in-place and reservoir properties, especially when wells produce at a large drawdown pressure.

1. Introduction

Production decline analysis is considered to be an important reservoir engineering method for reservoir characterization and evaluation in the development of oil reservoirs, where production data is employed to estimate reservoir properties (e.g., formation permeability) and original oil-in-place [1,2,3,4]. Over the last decades, pressure response analysis and production decline analysis have received much attention owing to their low cost and high reliability [5,6,7,8,9,10,11,12,13,14,15].
The first production decline analysis was published in 1945, when Arps [16] proposed the empirical decline relations including exponential relation, hyperbolic relation, and harmonic relation. The original version of Arps’ production decline analysis is only applicable to the cases of wells producing at a constant bottomhole pressure during the boundary dominated flow period, and then the modified versions were proposed to deal with various production conditions in different reservoir scenarios [17,18]. However, as an empirical tool, Arps production decline analysis is usually used to estimate recoverable reserve and cannot be employed to obtain reservoir properties. With the assumption of wells producing at a constant bottomhole pressure, Fetkovich and his co-workers provided a theoretical basis for Arps’ method and proposed a new methodology for production decline analysis [19,20,21]. Although Fetkovich production decline analysis can be employed to estimate reservoir properties and original oil-in-place, it is limited in the cases of a well producing at a constant bottomhole pressure. In order to deal with the variable-rate/pressure cases, Blasingame et al. [22] proposed a function of time (i.e., material balance time) that can transform a variable-rate/pressure system into an equivalent constant-rate system. Then Blasingame and his co-workers developed production decline analysis for variable-rate/pressure cases based on material balance time, which was known as BPDA [23,24]. From then on, BPDA received extensive attention and was extended to different well types and reservoir scenarios. Doublet and Blasingame [25] developed BPDA for an infinite-conductivity fractured vertical well, which can be employed to estimate fracture half-length. Marhaendrajana and Blasingame [26] proposed an analytical solution for a multiwall reservoir system and developed BPDA for a multiwall reservoir system. Pratikno et al. [27] improved Blasingame type curves and proposed BPDA for a finite-conductivity fractured vertical well. Nie et al. [28] investigated Blasingame type curves of a horizontal well in a naturally fractured reservoir based on an analytical model. Wang et al. [29] established Blasingame type curves of multiple fractured horizontal wells (MFHWs) and made a sensitivity analysis of type curves. Although BPDA has been developed to interpret production data of various wells in different reservoir scenarios, BPDA is established based on the conventional governing equation without the quadratic gradient term (QGT), which is inconsistent with material balance. The governing equation, describing fluid flow through porous media, is a nonlinear partial differential equation because of the presence of the QGT. This nonlinear equation is usually linearized by neglecting the QGT with the assumption of small pressure gradients. However, the linearized equation with neglecting the QGT may cause significant errors in the prediction of the transient pressure/flow rate during certain operations such as large-pressure-gradient production. Over the last decades, transient pressure/flow rates considering the impact of the QGT has received much attention. Many scholars established seepage models with the QGT and studied the effect of the QGT on pressure behaviors for various wells under a constant-rate-production (CRP) condition, including vertical wells [30,31,32], horizontal wells [33], and MFHWs [34,35]. It was found that due to neglecting the QGT, there may be a large error in predicting transient pressure, when wells produce at a large flow rate or for a long time. Recently, Ren and Guo [36] made a detailed analysis of the relationship between the seepage models with and without the QGT, and investigated the characteristics of a transient flow rate under a constant-pressure-production (CPP) condition. It was found that if the effect of the QGT is neglected, transient flow rate is underestimated. Fluid flow in actual reservoirs is consistent with material balance, which should be described by the nonlinear governing equation with the QGT; thus, BPDA based on the conventional governing equation without the QGT may lead to some errors in the interpretation of production data under some conditions.
In this work, we extended BPDA to incorporate the impact of the QGT by modifying material balance time and normalized rate functions, and then simulated cases for various production scenarios were used to validate PPDA. Finally, comparisons between BPDA and PPDA were discussed in detail.

2. Theory and Analysis

In this section, we discuss the theory for production decline analysis based on the governing equation with the QGT in detail. A completely penetrating vertical well was considered here, while the derived theory and developed method for production decline analysis are easily extended to various well types. The schematic of the physical model for a vertical well in a finite closed reservoir is shown in Figure 1, and the assumptions are given as follows:
(1)
A completely penetrating vertical well is located at the center of a finite closed reservoir with a constant thickness. Single-phase liquid can be exploited by the vertical well with variable rates and bottomhole pressures.
(2)
A homogeneous and isotropic reservoir with constant permeability and porosity is considered. The compressibility of the slightly compressible rock keeps constant.
(3)
The compressibility and viscosity of the fluid are considered to be constant. Fluid flow in the reservoir is consistent with the Darcy law.
(4)
The initial pressure is uniformly distributed in the reservoir.

2.1. Governing Equations

The continuity equation in a radial coordinate system is [37,38]:
1 r ( r ρ υ ) r = ( ρ ϕ ) t .
The Darcy law is expressed as:
υ = k μ p r .
The fluid compressibility is introduced as follows:
c f = 1 ρ ρ p .
The rock compressibility is defined as follows:
c r = 1 ϕ ϕ p .
With the aid of Equations (1)–(4), the governing equation with the QGT is derived as (Appendix A):
1 r r ( r p r ) + c f ( p r ) 2 = ϕ μ c t k p t ,
where c t is the total compressibility expressed by c t = c f + c r .
If the second term of Equation (5) is neglected, Equation (5) is reduced to the conventional governing equation without the QGT [39]:
1 r r ( r p r ) = ϕ μ c t k p t .

2.2. Relationship between the Seepage Models of Vertical Wells with and without the Effect of the QGT

Recently, we conducted a detailed analysis of the relationship between seepage models with and without the effect of the QGT [36]. We briefly reviewed this as follows:
The seepage model of vertical wells in finite closed reservoirs based on the governing equation with the QGT can be linearized as [36]:
1 r r ( r Δ p * r ) = ϕ μ c t k Δ p * t ,
Δ p * | t = 0 = 0 ,
Δ p * r | r = r e = 0 ,
q * ( t ) = 2 π k h μ B ( r Δ p * r ) | r = r w ,
where
Δ p * = exp ( c f Δ p ) 1 ,
q * ( t ) = q ( t ) c f exp ( c f Δ p ) ,
where Δ p = p i p . It is obvious that the seepage model with respect to Δ p * and q * considering the effect of the QGT is equivalent to the seepage model with respect to Δ p and q neglecting the effect of the QGT.

2.3. Brief Review of the Theory for BPDA

In order to interpret the variable-rate/pressure data, Blasingame et al. [22] introduced the concepts of material balance time and normalized rate function, and then bridged the gap between the CPP and CRP conditions.

2.3.1. Dimensionless Seepage Model under the CPP Condition

The Laplace-space dimensionless pressure solution of the seepage model of vertical wells in finite closed reservoirs under the CPP condition can be obtained by (Appendix B):
p ¯ D = K 1 ( r eD s ) I 0 ( s r D ) + I 1 ( r eD s ) K 0 ( s r D ) s [ I 0 ( s ) K 1 ( r eD s ) + K 0 ( s ) I 1 ( r eD s ) ] ,
where the definitions of dimensionless variables for CPP cases are listed in Table 1.
The dimensionless flow rate q D for vertical wells under the CPP condition is expressed as:
q D = p D r D | r D = 1 .
With the aid of Equations (13) and (14), we can obtain the dimensionless flow rate in Laplace space as follows:
q ¯ D = I 1 ( r eD s ) K 1 ( s ) K 1 ( r eD s ) I 1 ( s ) s [ I 0 ( s ) K 1 ( r eD s ) + K 0 ( s ) I 1 ( r eD s ) ] .

2.3.2. Dimensionless Seepage Model under the CRP Condition

The Laplace-space dimensionless bottomhole pressure of vertical wells in finite closed reservoirs under the CRP condition is derived as follows (Appendix C):
p ¯ wD = p ¯ D | r D = 1 = K 1 ( r eD s ) I 0 ( s ) + I 1 ( r eD s ) K 0 ( s ) s s [ K 1 ( s ) I 1 ( r eD s ) I 1 ( s ) K 1 ( r eD s ) ] ,
where the definitions of dimensionless variables for CRP cases are listed in Table 1.
With the aid of the Stehfest inversion method [40], q D ( t D ) under the CPP condition and p wD ( t D ) under the CRP condition can be obtained based on Equations (15) and (16), respectively.

2.3.3. Material Balance Time and Normalized Rate Function

In order to establish the relationship between q D ( t D ) under the CPP condition and p wD ( t D ) under the CRP condition, dimensionless material balance time was introduced as [22]:
t cD = 1 q D 0 t D q D ( τ ) d τ ,
where t cD is the dimensionless material balance time defined by t cD = k t c / ( ϕ c t μ r w 2 ) ; t c is the material balance time expressed by t c = 0 t q ( τ ) d τ / q . It is obvious that t cD is equal to t D under the CRP condition.
It was found that the “ q D vs. t cD ” curve for the CPP case almost coincided with the “ 1 / p wD vs. t cD ” curve (i.e., the “ 1 / p wD vs. t D ” curve) for the CRP case, which is shown in Figure 2. According to the definitions of q D in the CPP case and p wD in the CRP case shown in Table 1, it is obvious from Figure 2 that the curves of q / Δ p w versus t c for both the CPP and CRP cases are almost the same. Therefore, normalized rate function ( q / Δ p w ) and material balance time ( t c ) can be employed to transform a variable-rate/pressure system into a constant-rate system [22].

2.4. Modified Material Balance Time and Modified Normalized Rate Function

Although BPDA has been widely used to interpret production data and obtain reservoir properties and original oil-in-place, it is established on the basis of the conventional governing equation without the QGT. Because the conventional governing equation is inconsistent with material balance, BPDA may lead to some errors in interpreting production data. Considering the relationship between the seepage models with and without the effect of the QGT, we modified material balance time and normalized rate function, and then developed BPDA.
The seepage model with the QGT related to Δ p * and q * is equivalent to that without the QGT related to Δ p and q . Following the derivation of BPDA presented above, we proposed the theory for modified BPDA.
Similar to the definitions of dimensionless variables with respect to Δ p and q shown in Table 1, the definitions of pseudo-dimensionless and dimensionless variables with respect to Δ p * and q * are listed in Table 2. In the same way, if oil wells produce at a constant transformed pressure difference Δ p w * = exp ( c f Δ p w ) 1 , the seepage model of vertical wells in finite closed reservoirs based on the governing equation with the QGT is given by:
1 r D r D ( r D p D * r D ) = p D * t D ,
p D * | t D = 0 = 0 ,
p D * r D | r D = r eD = 0 ,
p D * | r D = 1 = 1 ,
where p D * , r D , r eD , and t D for the constant- Δ p w * case are defined in Table 2.
The q D * under the constant- Δ p w * condition is expressed as:
q D * = p D * r D | r D = 1 .
It is clear that q D * in Laplace space is the same as Equation (15):
q ¯ D * = I 1 ( r eD s ) K 1 ( s ) K 1 ( r eD s ) I 1 ( s ) s [ I 0 ( s ) K 1 ( r eD s ) + K 0 ( s ) I 1 ( r eD s ) ] .
In the same way, if oil wells produce under the constant- q * condition, the seepage model of vertical wells in finite closed reservoirs based on the governing equation with the QGT is expressed as:
1 r D r D ( r D p D * r D ) = p D * t D ,
p D * | t D = 0 = 0 ,
p D * r D | r D = r eD = 0 ,
( r D p D * r D ) | r D = 1 = 1 ,
where p D * , r D , r eD , and t D for the constant- q * case are defined in Table 2.
Similarly, it is obvious that the pseudo-dimensionless bottomhole pressure in Laplace space is the same as Equation (16):
p ¯ wD * = p ¯ D * | r D = 1 = K 1 ( r eD s ) I 0 ( s ) + I 1 ( r eD s ) K 0 ( s ) s s [ K 1 ( s ) I 1 ( r eD s ) I 1 ( s ) K 1 ( r eD s ) ] .
In order to establish the relationship between q D * ( t D ) under the constant- Δ p w * condition and p wD * ( t D ) under the constant- q * condition, modified dimensionless material balance time is introduced as:
t cD * = 1 q D * 0 t D q D * ( τ ) d τ ,
where t cD * is the modified dimensionless material balance time defined by t cD * = k t c * / ( ϕ c t μ r w 2 ) ; t c * is the modified material balance time defined by:
t c * = 1 q exp ( c f Δ p w ) 0 t q ( τ ) exp ( c f Δ p w ) d τ .
In the same way, the “ q D * vs. t cD * ” curve for the constant- Δ p w * case almost coincided with the “ 1 / p wD * vs. t cD * ” curve for the constant- q * case, both of which are the same as the “ q D vs. t cD ” curve for the CPP case and the “ 1 / p wD vs. t cD ” curve for the CRP case, respectively. Similarly, the modified normalized rate function is introduced as:
q * Δ p w * = q Δ p w c f Δ p w exp ( c f Δ p w ) 1 exp ( c f Δ p w ) ,
and then the curves of q * / Δ p w * versus t c * for the constant- Δ p w * and constant- q * cases are almost the same. Therefore, in order to take into account the effect of the QGT, modified normalized rate function (i.e., Equation (31)) and modified material balance time (i.e., Equation (30)) should be used to interpret production data.

3. Method for the Analysis of Production Data

The procedure for BPDA of production data of oil wells has been proposed by Blasingame and his co-workers [24] and widely used in practice from then on. To make a comparison between BPDA and PPDA, the step-by-step procedure for BPDA is listed in Appendix D. PPDA is established on the basis of the governing equation with the QGT and its procedure is presented as follows:
(1) Computation of modified material balance time
t c * = 1 q exp ( c f Δ p w ) 0 t q ( τ ) exp ( c f Δ p w ) d τ ,
where Δ p w = p i p w .
(2) Computation of the modified normalized rate function
( q * / Δ p w * ) = q * Δ p w * = q Δ p w c f Δ p w exp ( c f Δ p w ) 1 exp ( c f Δ p w ) .
(3) Computation of the modified normalized rate integral function
( q * / Δ p w * ) i = 1 t c * 0 t c * q * Δ p w * d τ = 1 t c * 0 t c * q Δ p w c f Δ p w exp ( c f Δ p w ) 1 exp ( c f Δ p w ) d τ .
(4) Computation of the modified normalized rate integral derivative function
( q * / Δ p w * ) id = d ( q * / Δ p w * ) i d ln t c * = t c * d ( q * / Δ p w * ) i d t c * .
(5) Three log-log plots of ( q * / Δ p w * ) vs. t c * , ( q * / Δ p w * ) i vs. t c * , and ( q * / Δ p w * ) id vs. t c * are plotted, respectively, and then matched on Blasingame type curves shown in Figure 3. The matched r eD and the match point are recorded.
(6) The formation permeability can be obtained by
k = B μ 2 π h ( q * / Δ p w * ) MP ( q Dd ) MP ( ln r eD 1 2 ) ,
where ( q * / Δ p w * ) MP is the real value of the match point, and ( q Dd ) MP is the dimensionless value of the match point in Blasingame type curves.
(7) The drainage radius can be calculated by
r e = B c t ( t c * ) MP ( t cDd ) MP ( q * / Δ p w * ) MP ( q Dd ) MP π h ϕ .
(8) The effective wellbore radius and skin factor can be estimated by, respectively
r wa = r e r eD ,
S = ln ( r w r wa ) .
(9) The original oil-in-place can be calculated by
N = 1 c t ( t c * ) MP ( t cDd ) MP ( q * / Δ p w * ) MP ( q Dd ) MP .
It is found that both BPDA and PPDA are based on Blasingame type curves (see Figure 3), but there are some differences in the definitions of material balance time and normalized rate functions. PPDA can be reduced to BPDA if the value of c f Δ p w infinitely approaches zero. The interpretation results of production data based on PPDA are consistent with material balance, and so we believe that the interpretation results based on PPDA are more accurate than these based on BPDA, especially when wells produce at a large drawdown pressure and fluid compressibility is large.

4. Validation and Application

4.1. Simulated Case Validation

In this section, the numerical model based on the governing equation with the QGT (see Appendix E) was employed to model performances of wells under different production conditions. The input parameters for the simulated cases, including CPP cases, CRP cases, and variable-rate/pressure cases, are listed in Table 3. Because the rock compressibility is very small compared with the fluid compressibility, the value of the total compressibility c t was set as the value of the fluid compressibility c f in the simulated cases. The generated production data by the numerical model was employed to conduct production decline analysis. Matched results of PPDA were validated by the input reservoir parameters and compared with the matched results of BPDA.

4.1.1. CPP Cases

The CPP cases were chosen as those of wells producing at a large drawdown pressure Δ p w (i.e., Δ p w = 30   MPa , 50   MPa , and 70   MPa ) so as to highlight the effect of the QGT. The CPP cases with Δ p w = 30   MPa , 50   MPa , and 70   MPa were simulated by the numerical model with the input parameters listed in Table 3, respectively. The production data for the CPP cases was obtained and the corresponding flow rates are shown in Figure 4. Normalized rate functions (i.e., ( q / Δ p w ) , ( q / Δ p w ) i , ( q / Δ p w ) id ) and material balance time t c were prepared for BPDA. Similarly, modified normalized rate functions (i.e., ( q * / Δ p w * ) , ( q * / Δ p w * ) i , ( q * / Δ p w * ) id ) and modified material balance time t c * were calculated for PPDA. The plots of normalized rate functions (i.e., ( q / Δ p w ) , ( q / Δ p w ) i , ( q / Δ p w ) id ) versus material balance time t c , together with the plots of modified normalized rate functions (i.e., ( q * / Δ p w * ) , ( q * / Δ p w * ) i , ( q * / Δ p w * ) id ) versus modified material balance time t c * , are shown in Figure 5, Figure 6 and Figure 7 for CPP cases, respectively. Then, both normalized-rate-function plots and modified-normalized-rate-function plots were matched on Blasingame type curves as shown in Figure 8, Figure 9 and Figure 10. It was observed from Figure 8, Figure 9 and Figure 10 that excellent type curve matches were obtained for the three CPP cases. The matched dimensionless drainage radius r eD and the match point were recorded, which were used to estimate reservoir parameters. The estimated results obtained with BPDA and PPDA are listed in Table 4 and relative differences between the actual values and estimated values are shown in Table 5. The relative difference between the actual value and estimated value is defined by:
δ = | ψ av ψ ev | ψ av × 100 % ,
where δ is the relative difference between the actual value and estimated value; ψ av , ψ ev are the actual value and estimated value of a parameter, respectively.
It was found that the values of parameters estimated by BPDA were different from the actual values (i.e., the data input to the numerical model) for CPP cases, while the results estimated by PPDA were the same as the data input to the numerical model, verifying PPDA for CPP cases. It is interesting that both the permeability and original oil-in-place estimated by BPDA are larger than the actual values, and the relative difference between the actual value and estimated value increases with increasing the drawdown pressure for CPP cases, indicating that BPDA overestimates reservoir properties and original oil-in-place, especially when wells produce at a large drawdown pressure. This is because the production data is generated by the numerical model on the basis of the governing equation with the QGT. The existence of the QGT enhances the capacity of fluid flow [34], so a larger permeability is estimated by BPDA, which is established on the basis of the conventional governing equation without the QGT. If the estimated permeability becomes larger, the pressure wave can spread over a longer distance within the same time, and thus the estimated drainage radius and original oil-in-place become larger. According to the comparison between BPDA and PPDA, as the drawdown pressure Δ p w increases, the value of c f Δ p w becomes larger, which results in a greater error in the interpretation of production data.

4.1.2. CRP Cases

The CRP cases were chosen as those of wells producing at a large flow rate q (i.e., q = 10   m 3 / d , 20   m 3 / d , and 30   m 3 / d ) so as to highlight the effect of the QGT. The CRP cases with 10 m3/d, 20 m3/d, and 30 m3/d were considered here and the Δ p w responses for the three cases were obtained by inputting the constant rates into the numerical model (see Figure 11). The basic input parameters for CRP cases are listed in Table 3. On the basis of the simulated production data by the numerical model, “ ( q / Δ p w ) vs. t c ”, “ ( q / Δ p w ) i vs. t c ”, and “ ( q / Δ p w ) id vs. t c ” for BPDA and “ ( q * / Δ p w * ) vs. t c * ”, “ ( q * / Δ p w * ) i vs. t c * ”, and “ ( q * / Δ p w * ) id vs. t c * ” for PPDA were obtained (see Figure 12, Figure 13 and Figure 14). Following the procedures for BPDA and PPDA, the matches of the normalized rate functions and modified normalized rate functions on Blasingame type curves for the three CRP cases were conducted and shown in Figure 15, Figure 16 and Figure 17, from which we can see that good type curve matches were obtained for all the three cases. The matched results obtained by BPDA and PPDA are listed in Table 6 and relative differences between the actual values and estimated values are shown in Table 7. It is obvious that the results estimated by BPDA are different from the actual values (i.e., the data input to the numerical model) for CRP cases, while the results estimated by PPDA are the same as the data input to the numerical model, verifying PPDA for CRP cases. It is found that both the permeability and original oil-in-place estimated by BPDA are larger than the actual values, and the relative difference between the actual value and estimated value increases with an increase in the flow rate for CRP cases, indicating that reservoir properties and original oil-in-place obtained by BPDA are also overestimated especially when wells produce at large flow rates. The reason is similar to that for CPP cases. As the flow rate is enhanced, the drawdown pressure Δ p w of wells should increase to maintain the flow rate, which leads to a larger value of c f Δ p w . Therefore, there is a larger error in the interpretation of production data based on BPDA when the flow rate of wells becomes larger.

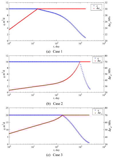
4.1.3. Variable-Rate/Pressure Cases

As most wells produce at a variable rate/pressure rather than a constant flow rate or a constant pressure in practice, we focus on the applicability of PPDA for variable-rate/pressure cases in this subsection. Here we considered two common types of variable-rate/pressure production, which were the case of first producing at a constant rate and then producing at a constant pressure (i.e., Case 1–3 shown in Table 8) and the case of multiple rate/pressure changes (i.e., Case 4 shown in Table 9). The two types of variable-rate/pressure production are close to actual performances of wells and can be considered representative of actual production histories of wells. In order to highlight the effect of the QGT, the cases were also chosen as those of wells producing at large drawdown pressures or large flow rates. Table 8 shows the production histories of the cases for vertical wells first producing at a constant rate and then producing at a constant pressure. Vertical wells first produce at the constant rate q until the drawdown pressure reaches a specified value Δ p w , and then vertical wells produce at the constant drawdown pressure Δ p w . Table 9 shows the production history of the case for vertical wells producing at multiple rate/pressure changes. The production data for the four cases, which were obtained by inputting the production histories into the numerical model, are shown in Figure 18 and Figure 19. The basic input parameters for the variable-rate/pressure cases are listed in Table 3. “ ( q / Δ p w ) vs. t c ”, “ ( q / Δ p w ) i vs. t c ”, and “ ( q / Δ p w ) id vs. t c ” for BPDA and “ ( q * / Δ p w * ) vs. t c * ”, “ ( q * / Δ p w * ) i vs. t c * ”, and “ ( q * / Δ p w * ) id vs. t c * ” for PPDA were calculated by the simulated production data, which are shown in Figure 20, Figure 21, Figure 22 and Figure 23 for the four cases, respectively. Excellent matches of the normalized rate functions and modified normalized rate functions on Blasingame type curves for the four cases were obtained, which are shown in Figure 24, Figure 25, Figure 26 and Figure 27. The matched results obtained by BPDA and PPDA are listed in Table 10 and relative differences between the actual values and estimated values are shown in Table 11. It is seen that the formation permeability, drainage radius, original oil-in-place, and skin factor estimated by BPDA are also different from the actual values (i.e., the data input to the numerical model) for variable-rate/pressure cases, while the results estimated by PPDA are also the same as the data input to the numerical model, verifying PPDA for variable-rate/pressure cases. Furthermore, it is also found that BPDA overestimates the permeability and original oil-in-place for variable-rate/pressure cases, especially when wells produce at large drawdown pressures or large flow rates.

4.1.4. Discussion of Validation

The simulated cases in a variety of production scenarios provide a good test of the validity of PPDA. Based on the above analysis, it was found that the results of PPDA are the same as the data input to the numerical model for all the cases including CPP cases, CRP cases, and variable-rate/pressure cases. Because BPDA is inconsistent with material balance, BPDA overestimates the permeability and original oil-in-place for all the cases, especially when wells produce at large drawdown pressures or large flow rates.
Recent studies have demonstrated that the ultra-deep reservoirs (a depth greater than 4500 m) may contain abundant oil and gas resources [41]. In the past decades, many ultra-deep, high-pressure reservoirs have been discovered and developed in various parts of the world [36]. Commercial development of these reservoirs may require producing wells with large drawdown pressures. Furthermore, in order to realize fast cost recovery and obtain better economic benefits, the policy of “fewer wells with higher oil rate, large drawdown pressure” has been employed to develop various reservoirs, especially the offshore oilfields, the oilfields with contract term and investment risks, and so on [42]. Therefore, it is better to make the interpretation of production data considering the effect of the QGT in practice. Compared with BPDA, PPDA can be used to more accurately interpret production data with little increase in computation time. Therefore, PPDA provides a better way to interpret production data.

4.2. Field Application

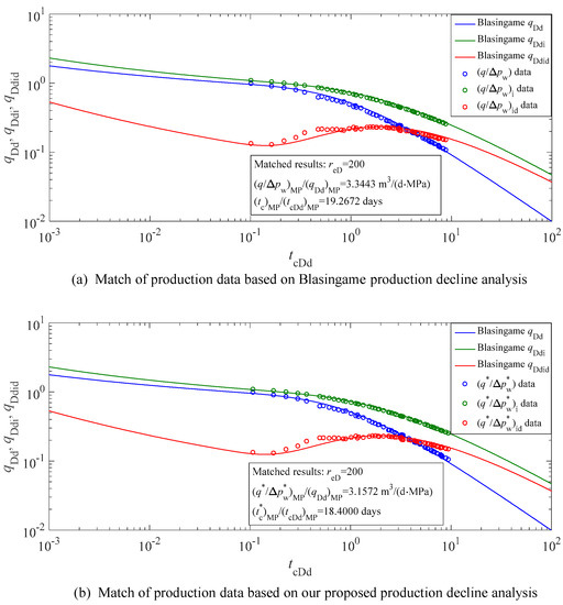
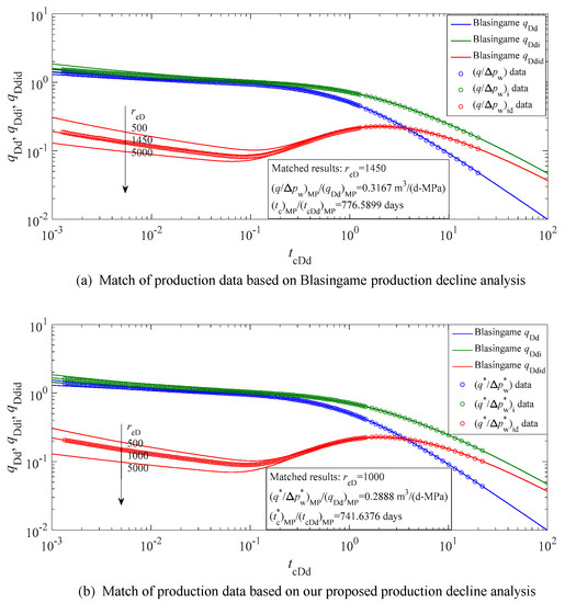
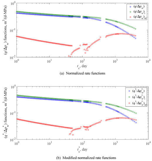
A field case was employed to show the proposed method can be used in practice. Well XHa located in Halahatang oilfield in Tarim Basin of China is a flowing oil well. The production data for Well XHa under the flush stage is shown in Figure 28. Basic parameters of Well XHa are listed in Table 12. Normalized rate functions and modified normalized rate functions for Well XHa are shown in Figure 29. The matches of the normalized rate functions and modified normalized rate functions on Blasingame type curves are conducted and shown in Figure 30. The matched results obtained by BPDA and PPDA are listed in Table 13, from which we can see that neglecting the effect of the QGT results in the overestimation of the permeability and original oil-in-place for BPDA. Furthermore, the index of correlation (R2) is introduced to quantify the fit between the test data and the computed data for normalized rate function ( q / Δ p w ) and modified normalized rate function ( q * / Δ p w * ) , respectively. It is seen from Table 13 that the index of correlation (R2) is 0.9895 for BPDA and 0.9932 for PPDA, which shows the test data matches well with the computed data for both BPDA and PPDA.

5. Conclusions

In this work, we modified material balance time and normalized rate functions and hence improved BPDA, which neglected the impact of the QGT. The step-by-step procedure for PPDA was presented and compared with that for BPDA. The simulated cases for various production scenarios were used to validate PPDA, and a field case was employed to test its applicability in practice. The errors in the interpretation of production data based on BPDA were analyzed in detail. Several conclusions are listed as follows:
(1)
Both BPDA and PPDA are implemented by matching corresponding normalized rate functions on Blasingame type curves. The main differences between them are the definitions of material balance time and normalized rate functions. If the value of c f Δ p w infinitely approaches zero, PPDA is simplified as BPDA. Therefore, interpreting production data based on PPDA is relatively straightforward.
(2)
PPDA can predict better estimates of reservoir properties and original oil-in-place for oil reservoirs compared to BPDA. The latter overestimates permeability and original oil-in-place, especially when wells produce at large drawdown pressures or large flow rates.
(3)
Fluid flow in actual reservoirs is consistent with material balance, and thus compared with BPDA, PPDA can be used to more accurately interpret production data with little increase in computation time.

Author Contributions

Conceptualization, J.R.; Formal analysis, J.R.; Funding acquisition, J.R.; Investigation, J.R. and Q.Z.; Methodology, J.R.; Project administration, J.R.; Supervision, J.R.; Validation, Q.Z.; Visualization, C.Z.; Writing—original draft, J.R.; Writing—review & editing, Q.Z.

Funding

We acknowledge the support provided by Open Fund of State Key Laboratory of Oil and Gas Reservoir Geology and Exploitation (PLN201627), the Natural Science Project of Sichuan Province Department of Education (No. 17ZA0425), the Scientific Research Starting Project of SWPU (No. 2017QHZ031).

Conflicts of Interest

The authors declare no conflict of interest.

Nomenclature

Roman Symbols
B volume factor, m 3 / m 3
c f fluid compressibility, Pa 1
c r rock compressibility, Pa 1
c t total compressibility, Pa 1
h formation thickness, m
I 0 ( x ) modified Bessel function of the first kind, zero order
I 1 ( x ) modified Bessel function of the first kind, first order
K 0 ( x ) modified Bessel function of the second kind, zero order
K 1 ( x ) modified Bessel function of the second kind, first order
k permeability, m 2
M number of the space grid
N original oil-in-place, m 3
p formation pressure, Pa
p D * pseudo-dimensionless pressure, defined in Table 2
p i initial formation pressure, Pa
p w bottomhole pressure, Pa
p wD * pseudo-dimensionless bottomhole pressure, defined in Table 2
q flow rate, m 3 / s
q * transformed flow rate, defined in Equation (12)
q D * pseudo-dimensionless flow rate, defined in Table 2
r radial distance, m
r e outer boundary radius, m
r w wellbore radius, m
r wa effective wellbore radius, m
s Laplace transform variable
S skin factor
t time, s
t c material balance time, s
t c * modified material balance time, s
Greek Symbols
Δ p pressure difference, Δ p = p i p , Pa
Δ p * transformed pressure difference for Δ p , defined in Equation (11)
Δ p w drawdown pressure, Δ p w = p i p w , Pa
Δ p w * transformed pressure difference for Δ p w , defined in Equation (11)
Δ t time step size, s
Δ χ space step size, m
δ relative difference between the actual value and estimated value
μ fluid viscosity, Pa s
ρ fluid density, kg / m 3
υ velocity, m / s
ϕ porosity
χ variable related to r , defined in Equation (A52)
χ e variable related to r e , defined in Equation (A52)
χ w variable related to r w , defined in Equation (A52)
Superscript
Laplace space
Subscript
D dimensionless variable
Dd dimensionless decline variable
i integral function
id integral derivative function
MP match point

Appendix A. Derivation of the Governing Equation with the QGT

Substituting Equation (2) into Equation (1) yields that
1 r r ( r ρ k μ p r ) = ( ρ ϕ ) t .
Equation (A1) can be rewritten as
1 r ρ k μ p r + k μ ρ r p r + ρ p r ( k / μ ) r + ρ k μ 2 p r 2 = ρ ϕ t + ϕ ρ t .
According to Equations (3) and (4), one can obtain that
ρ r = ρ c f p r ,
ρ t = ρ c f p t ,
ϕ t = ϕ c r p t .
Substituting Equations (A3)–(A5) into Equation (A2), one can derive that
1 r ρ k μ p r + k μ ρ c f ( p r ) 2 + ρ p r ( k / μ ) r + ρ k μ 2 p r 2 = ρ ϕ c r p t + ϕ ρ c f p t .
With the assumptions of the physical model, the permeability k and fluid viscosity μ are considered to be constant, so ( k / μ ) / r = 0 and Equation (A6) is simplified as
2 p r 2 + 1 r p r + c f ( p r ) 2 = ϕ μ c t k p t ,
where c t is the total compressibility expressed by c t = c f + c r .

Appendix B. Pressure Solution of Dimensionless Seepage Model under the CPP Condition

The seepage model of vertical wells in finite closed reservoirs based on the conventional governing equation can be expressed as [39]:
1 r r ( r Δ p r ) = ϕ μ c t k Δ p t ,
Δ p | t = 0 = 0 ,
Δ p r | r = r e = 0 ,
Δ p | r = r w = Δ p w ,
where Δ p = p i p .
Introducing the definitions of dimensionless variables for CPP cases listed in Table 1, the dimensionless seepage model of vertical wells in finite closed reservoirs under the CPP condition can be expressed as [39]:
1 r D r D ( r D p D r D ) = p D t D ,
p D | t D = 0 = 0 ,
p D r D | r D = r eD = 0 ,
p D | r D = 1 = 1 .
Using the Laplace transform of Equations (A12)–(A15) with respect to t D yields that [43,44]:
1 r D r D ( r D p ¯ D r D ) = s p ¯ D ,
p ¯ D r D | r D = r eD = 0 ,
p ¯ D | r D = 1 = 1 s .
The general solution of Equation (A16) is expressed by:
p ¯ D = A 1 I 0 ( s r D ) + B 1 K 0 ( s r D ) .
Substituting Equation (A19) into Equation (A17) yields that:
A 1 I 1 ( s r eD ) B 1 K 1 ( s r eD ) = 0 .
With the aid of Equations (A18) and (A19), one can obtain that:
A 1 I 0 ( s ) + B 1 K 0 ( s ) = 1 s .
Combining Equations (A20) and (A21), one can obtain that:
A 1 = K 1 ( r eD s ) s [ I 0 ( s ) K 1 ( r eD s ) + K 0 ( s ) I 1 ( r eD s ) ] ,
B 1 = I 1 ( r eD s ) s [ I 0 ( s ) K 1 ( r eD s ) + K 0 ( s ) I 1 ( r eD s ) ] .
Substituting Equations (A22) and (A23) into Equation (A19), the pressure solution in Laplace space is derived as:
p ¯ D = K 1 ( r eD s ) I 0 ( s r D ) + I 1 ( r eD s ) K 0 ( s r D ) s [ I 0 ( s ) K 1 ( r eD s ) + K 0 ( s ) I 1 ( r eD s ) ] .

Appendix C. Bottomhole Pressure Solution of Dimensionless Seepage Model under the CRP Condition

The dimensionless seepage model of vertical wells in finite closed reservoirs under the CRP condition is expressed as [39]:
1 r D r D ( r D p D r D ) = p D t D ,
p D | t D = 0 = 0 ,
p D r D | r D = r eD = 0 ,
( r D p D r D ) | r D = 1 = 1 ,
where the definitions of dimensionless variables for CRP cases are listed in Table 1.
Using the Laplace transform of Equations (A25)–(A28) with respect to t D , one can obtain that:
1 r D r D ( r D p ¯ D r D ) = s p ¯ D ,
p ¯ D r D | r D = r eD = 0 ,
p ¯ D r D | r D = 1 = 1 s .
The general solution of Equation (A29) is given as:
p ¯ D = A 2 I 0 ( s r D ) + B 2 K 0 ( s r D ) .
Substituting Equation (A32) into Equation (A30) results in that:
A 2 I 1 ( s r eD ) B 2 K 1 ( s r eD ) = 0 .
Substituting Equation (A32) into Equation (A31) yields that:
A 2 I 1 ( s ) B 2 K 1 ( s ) = 1 s s .
Combining Equations (A33) and (A34), A 2 and B 2 are determined as:
A 2 = K 1 ( r eD s ) s s [ K 1 ( s ) I 1 ( r eD s ) I 1 ( s ) K 1 ( r eD s ) ] ,
B 2 = I 1 ( r eD s ) s s [ K 1 ( s ) I 1 ( r eD s ) I 1 ( s ) K 1 ( r eD s ) ] .
Substituting Equations (A35) and (A36) into Equation (A32), the dimensionless bottomhole pressure solution in Laplace space is obtained as:
p ¯ wD = p ¯ D | r D = 1 = K 1 ( r eD s ) I 0 ( s ) + I 1 ( r eD s ) K 0 ( s ) s s [ K 1 ( s ) I 1 ( r eD s ) I 1 ( s ) K 1 ( r eD s ) ] .

Appendix D. Procedure for BPDA of Production Data of Oil Wells

The procedure for BPDA of production data of oil wells is listed as follows:
(1) Computation of material balance time
t c = 1 q 0 t q ( τ ) d τ .
(2) Computation of the normalized rate function
( q / Δ p w ) = q Δ p w = q p i p w .
(3) Computation of the normalized rate integral function
( q / Δ p w ) i = 1 t c 0 t c q Δ p w d τ = 1 t c 0 t c q p i p w d τ .
(4) Computation of the normalized rate integral derivative function
( q / Δ p w ) id = d ( q / Δ p w ) i d ln t c = t c d ( q / Δ p w ) i d t c .
(5) Three log–log plots of ( q / Δ p w ) vs. t c , ( q / Δ p w ) i vs. t c , and ( q / Δ p w ) id vs. t c are plotted, respectively, and then matched on Blasingame type curves shown in Figure 3. The matched r eD and the match point are recorded.
(6) The formation permeability can be obtained by
k = B μ 2 π h ( q / Δ p w ) MP ( q Dd ) MP ( ln r eD 1 2 ) ,
where ( q / Δ p w ) MP is the real value of the match point, ( q Dd ) MP is the dimensionless value of the match point in Blasingame type curves.
(7) The drainage radius can be calculated by
r e = B c t ( t c ) MP ( t cDd ) MP ( q / Δ p w ) MP ( q Dd ) MP π h ϕ .
(8) The effective wellbore radius and skin factor are given as, respectively
r wa = r e r eD ,
S = ln ( r w r wa ) .
(9) The original oil-in-place is estimated by
N = 1 c t ( t c ) MP ( t cDd ) MP ( q / Δ p w ) MP ( q Dd ) MP .

Appendix E. Numerical Solution of Seepage Model on the Basis of the Governing Equation with the QGT

The seepage model of vertical wells in finite closed reservoirs on the basis of the governing equation with the QGT is given as [36]:
1 r r ( r Δ p r ) c f ( Δ p r ) 2 = ϕ μ c t k Δ p t ,
Δ p | t = 0 = 0 ,
Δ p r | r = r e = 0 ,
q ( t ) = 2 π k h μ B ( r Δ p r ) | r = r w ,
Δ p w ( t ) = Δ p | r = r w ,
where Δ p = p i p , Δ p w = p i p w .
Introducing the variable χ related to r :
χ = ln r .
Equations (A47)–(A51) are rewritten as:
2 Δ p χ 2 c f ( Δ p χ ) 2 = ϕ μ c t k e 2 χ Δ p t ,
Δ p | t = 0 = 0 ,
( e χ Δ p χ ) | χ = χ e = 0 ,
q ( t ) = 2 π k h μ B Δ p χ | χ = χ w ,
Δ p w ( t ) = Δ p | χ = χ w ,
where χ e = ln r e , χ w = ln r w .
Equations (A53)–(A57) are discretized by the fully implicit finite-difference method:
( Δ p ) i 1 j + 1 2 ( Δ p ) i j + 1 + ( Δ p ) i + 1 j + 1 ( Δ χ ) 2 c f [ ( Δ p ) i j + 1 ( Δ p ) i 1 j + 1 Δ χ ] 2 = ϕ μ c t k e 2 ( i 1 ) Δ χ ( Δ p ) i j + 1 ( Δ p ) i j Δ t ,
where i = 2 , 3 , , M ;   j = 0 , 1 , 2 , .
( Δ p ) i 0 = 0 , ( i = 1 , 2 , , M , M + 1 ) ,
e M Δ χ ( Δ p ) M + 1 j + 1 ( Δ p ) M j + 1 Δ χ = 0 , ( j = 0 , 1 , 2 , ) ,
q j + 1 = 2 π k h μ B ( Δ p ) 2 j + 1 ( Δ p ) 1 j + 1 Δ χ , ( j = 0 , 1 , 2 , ) ,
( Δ p w ) j + 1 = ( Δ p ) 1 j + 1 ,
where Δ χ = χ e / M = ln r e / M .
Equations (A58)–(A62) compose a system of nonlinear equations, which are solved by the Newton–Raphson method [45].

References

  1. He, Y.; Cheng, S.; Rui, Z.; Qin, J.; Fu, L.; Shi, J.; Wang, Y.; Li, D.; Patil, S.; Yu, H.; et al. An improved rate-transient analysis model of multi-fractured horizontal wells with non-uniform hydraulic fracture properties. Energies 2018, 11, 393. [Google Scholar] [CrossRef]
  2. He, Y.; Cheng, S.; Li, S.; Huang, Y.; Qin, J.; Hu, L.; Yu, H. A semianalytical methodology to diagnose the locations of underperforming hydraulic fractures through pressure-transient analysis in tight gas reservoir. SPE J. 2017, 22, 924–939. [Google Scholar] [CrossRef]
  3. Ali, A.J.; Siddiqui, S.; Dehghanpour, H. Analyzing the production data of fractured horizontal wells by a linear triple porosity model: Development of analysis equations. J. Pet. Sci. Eng. 2013, 112, 117–128. [Google Scholar] [CrossRef]
  4. Liang, P.; Aguilera, R.; Mattar, L. A New Method for Production Data Analysis and Well Testing Using Superposition-Rate; Unconventional Resources Technology Conference: San Antonio, TX, USA, 2016. [Google Scholar]
  5. Wang, Y.; Zhang, C.; Chen, T.; Ma, X. Modeling the nonlinear flow for a multiple-fractured horizontal well with multiple finite-conductivity fractures in triple media carbonate reservoir. J. Porous Media 2018, 21, 1283–1305. [Google Scholar] [CrossRef]
  6. Ren, J.; Guo, P. A Novel Semi-analytical model for finite-conductivity multiple fractured horizontal wells in shale gas reservoirs. J. Nat. Gas. Sci. Eng. 2015, 24, 35–51. [Google Scholar] [CrossRef]
  7. Ren, J.; Guo, P. Anomalous diffusion performance of multiple fractured horizontal wells in shale gas reservoirs. J. Nat. Gas. Sci. Eng. 2015, 26, 642–651. [Google Scholar] [CrossRef]
  8. Ren, J.; Guo, P.; Peng, S.; Ma, Z. Performance of Multi-stage fractured horizontal wells with stimulated reservoir volume in tight gas reservoirs considering anomalous diffusion. Environ. Earth Sci. 2018, 77, 768. [Google Scholar] [CrossRef]
  9. Ren, J.; Guo, P. Performance of vertical fractured wells with multiple finite-conductivity fractures. J. Geophys. Eng. 2015, 12, 978–987. [Google Scholar] [CrossRef]
  10. Ren, J.; Guo, P.; Guo, Z.; Wang, Z. A lattice Boltzmann model for simulating gas flow in kerogen pores. Transp. Porous Med. 2015, 106, 285–301. [Google Scholar] [CrossRef]
  11. Ren, J.; Guo, P.; Peng, S.; Yang, C. Investigation on permeability of shale matrix using the lattice Boltzmann method. J. Nat. Gas Sci. Eng. 2016, 29, 169–175. [Google Scholar] [CrossRef]
  12. Ren, J.; Guo, P.; Guo, Z. Rectangular lattice Boltzmann equation for gaseous microscale flow. Adv. Appl. Math. Mech. 2016, 8, 306–330. [Google Scholar] [CrossRef]
  13. Ren, J.; Guo, P. Lattice Boltzmann simulation of steady flow in a semi-elliptical cavity. Commun. Comput. Phys. 2017, 21, 692–717. [Google Scholar] [CrossRef]
  14. Ren, J.; Zheng, Q.; Guo, P.; Peng, S.; Wang, Z.; Du, J. Pore-scale lattice Boltzmann simulation of two-component shale gas flow. J. Nat. Gas. Sci. Eng. 2019, 61, 46–70. [Google Scholar] [CrossRef]
  15. Ren, J.; Zheng, Q.; Guo, P.; Zhao, C. Lattice Boltzmann model for gas flow through tight porous media with multiple mechanisms. Entropy 2019, 21, 133. [Google Scholar] [CrossRef]
  16. Arps, J.J. Analysis of decline curves. Trans. AIME 1945, 160, 228–247. [Google Scholar] [CrossRef]
  17. Ilk, D.; Rushing, J.A.; Perego, A.D.; Blasingame, T.A. Exponential vs. Hyperbolic Decline in Tight Gas Sands: Understanding the Origin and Implications for Reserve Estimates Using Arps’ Decline Curves; SPE Annual Technical Conference and Exhibition: Denver, CO, USA, 2008. [Google Scholar]
  18. Mattar, L.; Moghadam, S. Modified Power Law Exponential Decline for Tight Gas; Canadian International Petroleum Conference: Calgary, AB, Canada, 2009. [Google Scholar]
  19. Fetkovich, M.J. Decline curve analysis using type curves. J. Pet. Technol. 1980, 32, 1065–1077. [Google Scholar] [CrossRef]
  20. Fetkovich, M.J.; Vienot, M.E.; Bradley, M.D.; Kiesow, U.G. Decline-curve analysis using type curves—Case histories. SPE Form. Eval. 1987, 2, 637–656. [Google Scholar] [CrossRef]
  21. Fetkovich, M.J.; Fetkovich, E.J.; Fetkovich, M.D. Useful concepts for decline-curve forecasting, reserve estimation, and analysis. SPE Reserv. Eng. 1996, 11, 13–22. [Google Scholar] [CrossRef]
  22. Blasingame, T.A.; McCray, T.L.; Lee, W.J. Decline Curve Analysis for Variable Pressure Drop/Variable Flowrate Systems; SPE Gas Technology Symposium: Houston, TX, USA, 1991. [Google Scholar]
  23. Palacio, J.C.; Blasingame, T.A. Decline-Curve Analysis Using Type Curves—Analysis of Gas Well Production Data; SPE Joint Rocky Mountain Regional and Low Permeability Reservoirs Symposium: Denver, CO, USA, 1993. [Google Scholar]
  24. Doublet, L.E.; Pande, P.K.; McCollum, T.J.; Blasingame, T.A. Decline Curve Analysis Using Type Curves-Analysis of Oil Well Production Data Using Material Balance Time: Application to Field Cases; Petroleum Conference and Exhibition of Mexico: Veracruz, Mexico, 1994. [Google Scholar]
  25. Doublet, L.E.; Blasingame, T.A. Evaluation of Injection Well Performance Using Decline Type Curves; SPE Permian Basin Oil and Gas Recovery Conference: Midland, TX, USA, 1996. [Google Scholar]
  26. Marhaendrajana, T.; Blasingame, T.A. Decline Curve Analysis Using Type Curves-Evaluation of Well Performance Behavior in a Multiwell Reservoir System; Annual Technical Conference and Exhibition: New Orleans, LA, USA, 2001. [Google Scholar]
  27. Pratikno, H.; Rushing, J.A.; Blasingame, T.A. Decline Curve Analysis Using Type Curves-Fractured Wells; SPE Annual Technical Conference and Exhibition: Denver, CO, USA, 2003. [Google Scholar]
  28. Nie, R.S.; Meng, Y.F.; Jia, Y.L.; Zhang, F.X.; Yang, X.T.; Niu, X.N. Dual porosity and dual permeability modeling of horizontal well in naturally fractured reservoir. Transp. Porous Med. 2012, 92, 213–235. [Google Scholar] [CrossRef]
  29. Wang, J.; Wang, X.; Dong, W. Rate Decline curves analysis of multiple-fractured horizontal wells in heterogeneous reservoirs. J. Hydrol. 2017, 553, 527–539. [Google Scholar] [CrossRef]
  30. Finjord, J. Curling up the Slope: Effects of the Quadratic Gradient Term in the Infinite-Acting Period for Two-Dimensional Reservoir Flow; Society of Petroleum Engineers: Richardson, TX, USA, 1986. [Google Scholar]
  31. Bai, M.; Ma, Q.; Roegiers, J.C. A nonlinear dual porosity model. Appl. Math. Model. 1994, 18, 602–610. [Google Scholar] [CrossRef]
  32. Yao, Y.; Wu, Y.S.; Zhang, R. The transient flow analysis of fluid in a fractal, double-porosity reservoir. Transp. Porous Med. 2012, 94, 175–187. [Google Scholar] [CrossRef]
  33. Lu, C.; Nie, R.S.; Guo, J.C.; Wang, D.L. Modeling the nonlinear flow behavior for horizontal well production in an underground porous-media formation. J. Porous Media 2015, 18, 43–56. [Google Scholar] [CrossRef]
  34. Ren, J.; Guo, P. Nonlinear flow model of multiple fractured horizontal wells with stimulated reservoir volume including the quadratic gradient term. J. Hydrol. 2017, 554, 155–172. [Google Scholar] [CrossRef]
  35. Ren, J.; Guo, P. Nonlinear seepage model for multiple fractured horizontal wells with the effect of the quadratic gradient term. J. Porous Media 2018, 21, 223–239. [Google Scholar] [CrossRef]
  36. Ren, J.; Guo, P. Analytical method for transient flow rate with the effect of the quadratic gradient term. J. Pet. Sci. Eng. 2018, 162, 774–784. [Google Scholar] [CrossRef]
  37. Ahmed, T. Reservoir Engineering Handbook; Gulf Professional Publishing: Houston, TX, USA, 2010. [Google Scholar]
  38. Ren, J.; Guo, P. A general analytical method for transient flow rate with the stress-sensitive effect. J. Hydrol. 2018, 565, 262–275. [Google Scholar] [CrossRef]
  39. Van Everdingen, A.F.; Hurst, W. The application of the laplace transformation to flow problems in reservoirs. Trans. AIME 1949, 186, 305–324. [Google Scholar] [CrossRef]
  40. Stehfest, H. Numerical inversion of laplace transforms. Commun. ACM 1970, 13, 47–49. [Google Scholar] [CrossRef]
  41. Lu, X.; Wang, Y.; Tian, F.; Li, X.; Yang, D.; Li, T.; Lv, Y.; He, X. New insights into the carbonate karstic fault system and reservoir formation in the southern tahe area of the tarim basin. Mar. Petrol. Geol. 2017, 86, 587–605. [Google Scholar] [CrossRef]
  42. Mu, L.; Wang, R.; Wu, X. Development features and affecting factors of natural depletion of sandstone reservoirs in sudan. Petrol. Explor. Develop. 2015, 42, 379–383. [Google Scholar]
  43. Wang, Y.; Yi, X. Transient pressure behavior of a fractured vertical well with a finite-conductivity fracture in triple media carbonate reservoir. J. Porous Media 2017, 20, 707–722. [Google Scholar] [CrossRef]
  44. Wang, Y.; Yi, X. Flow Modeling of well test analysis for a multiple-fractured horizontal well in triple media carbonate reservoir. Int. J. Nonlinear Sci. Numer. Simul. 2018, 19, 439–457. [Google Scholar] [CrossRef]
  45. Mathews, J.H.; Fink, K.D. Numerical Methods Using MATLAB, 4th ed.; Pearson: London, UK, 2004. [Google Scholar]
Figure 1. Schematic of the physical model for a vertical well in a finite closed reservoir.
Figure 1. Schematic of the physical model for a vertical well in a finite closed reservoir.
Energies 12 02092 g001
Figure 2. Comparison between the “ 1 / p wD vs. t cD ” curve for the CRP case and the “ q D vs. t cD ” curve for the CPP case.
Figure 2. Comparison between the “ 1 / p wD vs. t cD ” curve for the CRP case and the “ q D vs. t cD ” curve for the CPP case.
Energies 12 02092 g002
Figure 3. Blasingame type curves of vertical wells.
Figure 3. Blasingame type curves of vertical wells.
Energies 12 02092 g003
Figure 4. Production data for CPP cases with different values of drawdown pressure Δ p w .
Figure 4. Production data for CPP cases with different values of drawdown pressure Δ p w .
Energies 12 02092 g004
Figure 5. Normalized rate functions and modified normalized rate functions for CPP case of Δ p w = 30   MPa .
Figure 5. Normalized rate functions and modified normalized rate functions for CPP case of Δ p w = 30   MPa .
Energies 12 02092 g005
Figure 6. Normalized rate functions and modified normalized rate functions for CPP case of Δ p w = 50   MPa .
Figure 6. Normalized rate functions and modified normalized rate functions for CPP case of Δ p w = 50   MPa .
Energies 12 02092 g006
Figure 7. Normalized rate functions and modified normalized rate functions for CPP case of Δ p w = 70   MPa .
Figure 7. Normalized rate functions and modified normalized rate functions for CPP case of Δ p w = 70   MPa .
Energies 12 02092 g007
Figure 8. Match of production data for CPP case of Δ p w = 30   MPa .
Figure 8. Match of production data for CPP case of Δ p w = 30   MPa .
Energies 12 02092 g008
Figure 9. Match of production data for CPP case of Δ p w = 50   MPa .
Figure 9. Match of production data for CPP case of Δ p w = 50   MPa .
Energies 12 02092 g009
Figure 10. Match of production data for CPP case of Δ p w = 70   MPa .
Figure 10. Match of production data for CPP case of Δ p w = 70   MPa .
Energies 12 02092 g010
Figure 11. Production data for CRP cases with different values of flow rate q .
Figure 11. Production data for CRP cases with different values of flow rate q .
Energies 12 02092 g011
Figure 12. Normalized rate functions and modified normalized rate functions for CRP case of q = 10 m 3 / d .
Figure 12. Normalized rate functions and modified normalized rate functions for CRP case of q = 10 m 3 / d .
Energies 12 02092 g012
Figure 13. Normalized rate functions and modified normalized rate functions for CRP case of q = 20   m 3 / d .
Figure 13. Normalized rate functions and modified normalized rate functions for CRP case of q = 20   m 3 / d .
Energies 12 02092 g013
Figure 14. Normalized rate functions and modified normalized rate functions for CRP case of q = 30   m 3 / d .
Figure 14. Normalized rate functions and modified normalized rate functions for CRP case of q = 30   m 3 / d .
Energies 12 02092 g014
Figure 15. Match of production data for CRP case of q = 10   m 3 / d .
Figure 15. Match of production data for CRP case of q = 10   m 3 / d .
Energies 12 02092 g015
Figure 16. Match of production data for CRP case of q = 20   m 3 / d .
Figure 16. Match of production data for CRP case of q = 20   m 3 / d .
Energies 12 02092 g016
Figure 17. Match of production data for CRP case of q = 30   m 3 / d .
Figure 17. Match of production data for CRP case of q = 30   m 3 / d .
Energies 12 02092 g017
Figure 18. Production data for Cases 1–3 with variable rate and pressure.
Figure 18. Production data for Cases 1–3 with variable rate and pressure.
Energies 12 02092 g018
Figure 19. Production data for Case 4 with variable rate and pressure.
Figure 19. Production data for Case 4 with variable rate and pressure.
Energies 12 02092 g019
Figure 20. Normalized rate functions and modified normalized rate functions for Case 1.
Figure 20. Normalized rate functions and modified normalized rate functions for Case 1.
Energies 12 02092 g020
Figure 21. Normalized rate functions and modified normalized rate functions for Case 2.
Figure 21. Normalized rate functions and modified normalized rate functions for Case 2.
Energies 12 02092 g021
Figure 22. Normalized rate functions and modified normalized rate functions for Case 3.
Figure 22. Normalized rate functions and modified normalized rate functions for Case 3.
Energies 12 02092 g022
Figure 23. Normalized rate functions and modified normalized rate functions for Case 4.
Figure 23. Normalized rate functions and modified normalized rate functions for Case 4.
Energies 12 02092 g023
Figure 24. Match of production data for Case 1.
Figure 24. Match of production data for Case 1.
Energies 12 02092 g024
Figure 25. Match of production data for Case 2.
Figure 25. Match of production data for Case 2.
Energies 12 02092 g025
Figure 26. Match of production data for Case 3.
Figure 26. Match of production data for Case 3.
Energies 12 02092 g026
Figure 27. Match of production data for Case 4.
Figure 27. Match of production data for Case 4.
Energies 12 02092 g027
Figure 28. Production data for Well XHa.
Figure 28. Production data for Well XHa.
Energies 12 02092 g028
Figure 29. Normalized rate functions and modified normalized rate functions for Well XHa.
Figure 29. Normalized rate functions and modified normalized rate functions for Well XHa.
Energies 12 02092 g029
Figure 30. Match of production data for Well XHa.
Figure 30. Match of production data for Well XHa.
Energies 12 02092 g030
Table 1. Definitions of dimensionless variables for vertical wells.
Table 1. Definitions of dimensionless variables for vertical wells.
NomenclatureCPP CaseCRP Case
Dimensionless pressure p D = p i p p i p w = Δ p Δ p w p D = 2 π k h Δ p q B μ
Dimensionless bottomhole pressure p wD = 1 p wD = 2 π k h Δ p w q B μ
Dimensionless time t D = k t ϕ c t μ r w 2 t D = k t ϕ c t μ r w 2
Dimensionless distance r D = r r w , r eD = r e r w r D = r r w , r eD = r e r w
Dimensionless flow rate q D = q B μ 2 π k h Δ p w q D = 1
Table 2. Definitions of pseudo-dimensionless and dimensionless variables for vertical wells.
Table 2. Definitions of pseudo-dimensionless and dimensionless variables for vertical wells.
NomenclatureConstant- Δ p w * CaseConstant- q * Case
Pseudo-dimensionless pressure p D * = Δ p * Δ p w * p D * = 2 π k h Δ p * q * B μ
Pseudo-dimensionless bottomhole pressure p wD * = 1 p wD * = 2 π k h Δ p w * q * B μ
Dimensionless time t D = k t ϕ c t μ r w 2 t D = k t ϕ c t μ r w 2
Dimensionless distance r D = r r w , r eD = r e r w r D = r r w , r eD = r e r w
Pseudo-dimensionless flow rate q D * = q * B μ 2 π k h Δ p w * q D * = 1
Table 3. Data used for the simulated cases.
Table 3. Data used for the simulated cases.
ParameterValue
CPP CaseCRP CaseVariable-Rate/Pressure Case
Permeability, k , mD 555
Volume factor, B , m 3 / m 3 1.11.11.1
Viscosity, μ , mPa s 202020
Reservoir thickness, h , m 151515
Porosity, ϕ 0.10.10.1
Oil compressibility, c f , MPa 1 50 × 10 4 50 × 10 4 50 × 10 4
Wellbore radius, r w , m 0.10.10.1
Initial reservoir pressure, p i , MPa 808080
Drainage radius, r e , m 10010100
Table 4. Comparison between the results obtained by BPDA and PPDA for CPP cases.
Table 4. Comparison between the results obtained by BPDA and PPDA for CPP cases.
ParameterActual ValueProduction Decline Analysis Result
Δ p w = 30   MPa Δ p w = 50   MPa Δ p w = 70   MPa
BPDAPPDABPDAPPDABPDAPPDA
k , mD 55.39555.68155.9875
r e , m 100103.870100106.588100109.423100
N , 10 4 m 3 4.2844.6224.2844.8674.2845.1294.284
S 0−0.0380−0.0640−0.0900
Table 5. Relative differences between the actual values and estimated values for CPP cases.
Table 5. Relative differences between the actual values and estimated values for CPP cases.
ParameterRelative Difference δ (%)
Δ p w = 30   MPa Δ p w = 50   MPa Δ p w = 70   MPa
BPDAPPDABPDAPPDABPDAPPDA
k , mD 7.90013.62019.740
r e , m 3.8706.5909.420
N , 10 4 m 3 7.89013.61019.720
S ------
Table 6. Comparison between the results obtained by BPDA and PPDA for CRP cases.
Table 6. Comparison between the results obtained by BPDA and PPDA for CRP cases.
ParameterActual ValueProduction Decline Analysis Result
q = 10   m 3 / d q = 20   m 3 / d q = 30   m 3 / d
BPDAPPDABPDAPPDABPDAPPDA
k , mD 55.59655.96956.4555
r e , m 1010.4711010.9641011.41510
N , 10 4 m 3 0.04280.04700.04280.05150.04280.05580.0428
S 00.13600.170300.2730
Table 7. Relative differences between the actual values and estimated values for CRP cases.
Table 7. Relative differences between the actual values and estimated values for CRP cases.
ParameterRelative Difference δ (%)
q = 10   m 3 / d q = 20   m 3 / d q = 30   m 3 / d
BPDAPPDABPDAPPDABPDAPPDA
k , mD 11.92019.38029.100
r e , m 4.7109.64014.150
N , 10 4 m 3 9.81020.33030.370
S ------
Table 8. Production histories of cases for a vertical well first producing at a constant rate and then producing at a constant pressure.
Table 8. Production histories of cases for a vertical well first producing at a constant rate and then producing at a constant pressure.
CaseConstant Rate ProductionConstant Pressure Production
q , m 3 / d Δ p w , MPa
Case 11030
Case 21070
Case 32070
Table 9. Production history of Case 4 for a vertical well producing at multiple rate/pressure changes.
Table 9. Production history of Case 4 for a vertical well producing at multiple rate/pressure changes.
t , day q , m 3 / d Δ p w , MPa
0–5010variable
51–10014variable
101–15012variable
151–20016variable
201–350variable60
351–700variable50
701–1500variable55
Table 10. Comparison between the results obtained by BPDA and PPDA for variable-rate/pressure cases.
Table 10. Comparison between the results obtained by BPDA and PPDA for variable-rate/pressure cases.
ParameterActual ValueProduction Decline Analysis Result
Case 1Case 2Case 3Case 4
BPDAPPDABPDAPPDABPDAPPDABPDAPPDA
k , mD 55.54855.80056.38755.9035
r e , m 100103.870100107.152100109.423100107.822100
N , 10 4 m 3 4.2844.6224.2844.9194.2845.1294.2844.9804.284
S 00.14400.30300.49800.3300
Table 11. Relative differences between the actual values and estimated values for variable-rate/pressure cases.
Table 11. Relative differences between the actual values and estimated values for variable-rate/pressure cases.
ParameterRelative Difference δ (%)
Case 1Case 2Case 3Case 4
BPDAPPDABPDAPPDABPDAPPDABPDAPPDA
k , mD 10.96016.00027.74018.060
r e , m 3.8707.1509.4207.820
N , 10 4 m 3 7.89014.82019.72016.250
S --------
Table 12. Basic parameters of Well XHa.
Table 12. Basic parameters of Well XHa.
ParameterValue
Volume factor, B , m 3 / m 3 1.18
Viscosity, μ , mPa s 5.35
Reservoir thickness, h , m 12
Porosity, ϕ 0.08
Oil compressibility, c f , MPa 1 56 × 10 4
Total compressibility, c t , MPa 1 58 × 10 4
Wellbore radius, r w , m 0.06
Initial reservoir pressure, p i , MPa 77.6
Table 13. Comparison between the results obtained by BPDA and PPDA for Well XHa.
Table 13. Comparison between the results obtained by BPDA and PPDA for Well XHa.
Index of Correlation (R2)ParameterProduction Decline Analysis ResultRelative Difference (%)
BPDAPPDABPDAPPDA
0.98950.9932 k , mD 15.55014.6805.93
r e , m 65.92862.5995.32
N , 10 4 m 3 1.1111.00210.88
S −1.704−1.6523.15

Share and Cite

MDPI and ACS Style

Ren, J.; Zheng, Q.; Zhao, C. A Modified Blasingame Production Analysis Method for Vertical Wells Considering the Quadratic Gradient Term. Energies 2019, 12, 2092. https://doi.org/10.3390/en12112092

AMA Style

Ren J, Zheng Q, Zhao C. A Modified Blasingame Production Analysis Method for Vertical Wells Considering the Quadratic Gradient Term. Energies. 2019; 12(11):2092. https://doi.org/10.3390/en12112092

Chicago/Turabian Style

Ren, Junjie, Qiao Zheng, and Chunlan Zhao. 2019. "A Modified Blasingame Production Analysis Method for Vertical Wells Considering the Quadratic Gradient Term" Energies 12, no. 11: 2092. https://doi.org/10.3390/en12112092

APA Style

Ren, J., Zheng, Q., & Zhao, C. (2019). A Modified Blasingame Production Analysis Method for Vertical Wells Considering the Quadratic Gradient Term. Energies, 12(11), 2092. https://doi.org/10.3390/en12112092

Note that from the first issue of 2016, this journal uses article numbers instead of page numbers. See further details here.

Article Metrics

Back to TopTop