Next Article in Journal
Political Viability of the Russia-North Korea-South Korea Gas Pipeline Project: An Analysis of the Role of the U.S.
Next Article in Special Issue
Multi-Domain Modelling of LEDs for Supporting Virtual Prototyping of Luminaires
Previous Article in Journal
A Generic Data Model for Describing Flexibility in Power Markets
Previous Article in Special Issue
Multiple Heat Source Thermal Modeling and Transient Analysis of LEDs
 
 
Font Type:
Arial Georgia Verdana
Font Size:
Aa Aa Aa
Line Spacing:
Column Width:
Background:
Article

Modelling a Switching Process of IGBTs with Influence of Temperature Taken into Account †

by
Paweł Górecki
and
Krzysztof Górecki
*
Department of Marine Electronics, Gdynia Maritime University, 81-225 Gdynia, Poland
*
Author to whom correspondence should be addressed.
This paper is an extended version of our paper published in 24th International Workshop on Thermal Investigations of ICs and Systems Therminic 2018, Kista, 164 40 Stockholm, Sweden, 26–28 September 2018, doi:10.1109/THERMINIC.2018.8592873.
Energies 2019, 12(10), 1894; https://doi.org/10.3390/en12101894
Submission received: 1 April 2019 / Revised: 27 April 2019 / Accepted: 14 May 2019 / Published: 18 May 2019
(This article belongs to the Special Issue Thermal and Electro-thermal System Simulation)

Abstract

:
In this article the problem of modelling a switching process of Insulated Gate Bipolar Transistors (IGBTs) in the SPICE software is considered. The new form of the considered transistor model is presented. The model includes controlled voltage and current sources, resistors and voltage sources. In the model, influence of temperature on dc and dynamic characteristics of the IGBT is taken into account. A detailed description of the dynamic part of this model is included in the article and some results of experimental verification are shown. Verification is performed for a transistor IRG4PC40UD by International Rectifier. The presented results of computations and measurements show clearly influence of temperature on on-time and off-time, and additionally switching energy losses are observed. Moreover, the results of investigations performed with the use of the new model are compared to the results of computations performed with classical models of the considered device given in the literature. It is proved that the new model makes it possible to obtain a better match to the results of measurements than the considered models described in the literature.

1. Introduction

Insulated Gate Bipolar Transistors (IGBTs) belong to the group of power semiconductor devices [1]. They are commonly used as electronic switches in power electronic applications [2,3,4]. In a process of designing such circuits computer simulations are typically realized.
In order to perform reliable simulations of an electronic circuit, proper software and accurate models of all electronic components included in this circuit are indispensable. One of the most popular software for a computer analysis of electronic and power electronic circuits is SPICE [2,4,5,6,7,8,9,10]. In this software, models of many semiconductor devices, including a model of the IGBT, are built-in. Additionally, in many papers, e.g., [11,12,13,14,15,16,17,18], different forms of IGBT models are described. Of course, these models differ from one another by accuracy and the form. In the mentioned models, physical phenomena occurring in the IGBT could be described using equations of different forms.
In the authors’ previous papers [16,17,19] accuracy of selected models of the considered transistor given in the literature are analysed and new forms of dc model of the considered transistor correctly describing influence of temperature on its dc characteristics are presented. The results of computations and measurements shown in the cited papers prove that the considered literature models correctly describe dc characteristics of the considered transistor at room temperature only, whereas visible differences between the results of computations and measurements can be obtained at a high temperature value (over 100 °C) and in the sub-threshold range of operation.
Typically, IGBTs are used as electronic switches operating in switch-mode power converters [2,3,4,20,21,22]. In such converters dynamic properties of the considered transistor are very important. These properties limit the value of switching frequency and they are characterised by such parameters as, e.g., by turn-off and turn-on times [3]. Values of these parameters change when temperature changes [23,24].
In this paper, which is an extended version of the conference paper [25], the problem of modelling dynamic properties of the IGBT is considered. Properties of selected literature models of the IGBT and their usefulness for proper computations of waveforms of terminal voltages and currents of this transistor during a switching process in a wide range of temperature are investigated. A new dynamic model of the IGBT for SPICE is proposed and its correctness is verified experimentally for different values of temperature.
In Section 2 the elaborated model is described, whereas in Section 3 some results of computations performed with the use of the new model and literature models as well as the results of measurements are shown and discussed.

2. Model Description

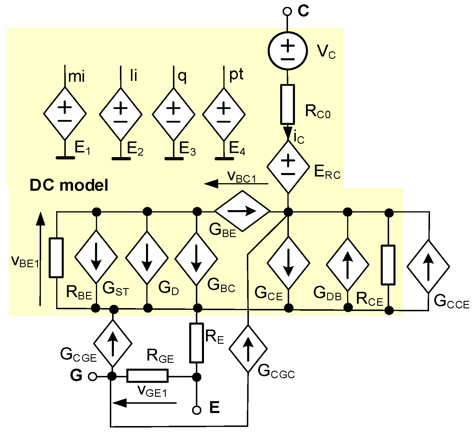
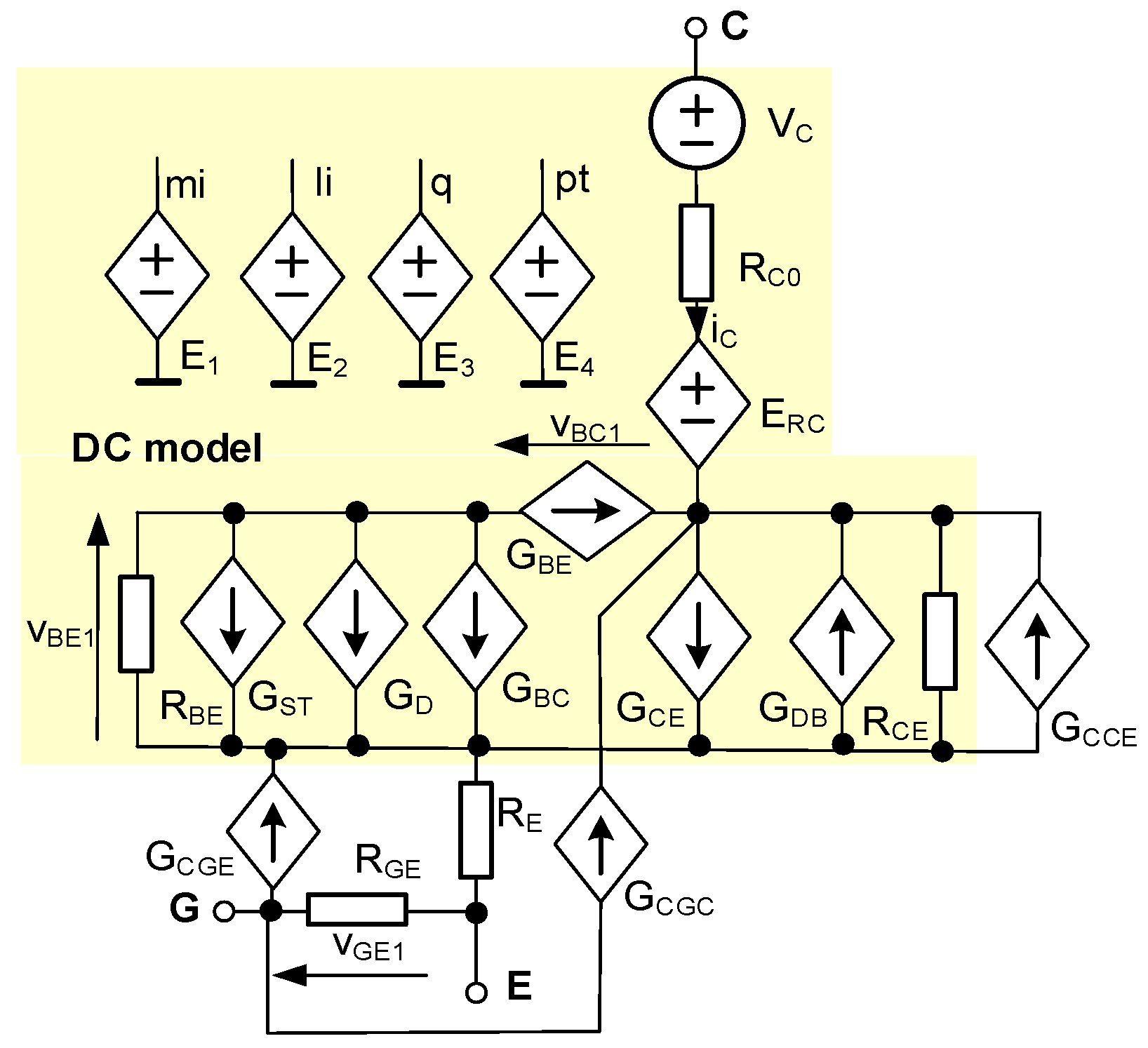
On the basis of the previously formulated by the authors dc model of the IGBT dedicated for the SPICE software [16], a new dynamic model of this device is formulated. In the new dynamic model controlled current sources describing currents flowing through parasitic capacitances of the considered transistor are added. In some papers, e.g., [1,11,26] the IGBT is typically modelled using the network representation of this device shown in Figure 1. As it is visible in the structure of the IGBT, three components can be distinguished: The MOSFET, the BJT and the diode.
On the basis of this classical IGBT structure presented in Figure 1 a new dynamic model taking into account parasitic capacitances is elaborated. The network representation of the new model, based on the conception presented in Figure 1, is shown in Figure 2.
In Figure 2, electronic components describing dc characteristics of the IGBT are marked with yellow colour and labelled as a dc model. In turn, controlled current sources GCGE, GCCE and GCGC model currents flowing through internal capacitances CGE, CCE and CGC, respectively, of the transistor. In analytical formulas describing the considered controlled current sources influence of temperature on the value of the mentioned capacitances is taken into account.
In the dc model of the IGBT, drain current of the internal MOS structure is represented by two controlled current sources: GD describing channel current of the MOS transistor and GST modelling the sub-threshold component of this current. To compute the values of currents and voltages in the model of the internal MOS structure, auxiliary controlled voltage sources (E1, E2, E3 and E4) are indispensable.
The controlled current source GBE represents current flowing between the base and the emitter of the bipolar transistor contained in the structure of the modelled transistor. In turn, the controlled current source GBC describes current flowing between the base and the collector of the bipolar transistor contained in the modelled IGBT.
The controlled current source GCE models the main current of the IGBT. The controlled current source GDB models dc characteristic of the diode. All the equations used to describe all the mentioned controlled current sources are described and discussed in paper [16].
In order to model electric inertia of the IGBT controlled current sources GCGE, GCCE and GCGC are used. The mentioned current sources model current flowing through parasitic capacitances of the transistor: CGE, CCE and CGC, respectively. These currents are described with formulas presented below. Capacitance between the collector and the emitter is described by formula of the form analogous to formula describing p-n junction capacitance. Because this junction does not rapidly change into the forward mode, in the equation describing this capacitance the diffusive component is omitted, but influence of temperature on this capacitance is described by following formula:
C C E = C C E 0 ( 1 + V C E V j ) M j ( 1 + r ( T j T 0 ) )
where VCE marks the collector emitter voltage, CCE0—output capacitance of the IGBT at zero voltage on the diode, Vj—built-in potential of reverse diode, Mj—parameter describing the doping profile of the junction, r—the temperature coefficient of parameter Mj, Tj—internal temperature of the IGBT, T0—reference temperature.
Capacitance between the gate and the emitter of the transistor is described by the following spline:
C G E = C G E 0 w + x ( T j T 0 ) + + { 0    i f   V G E < V G E min + V C 1 E C 0 x k 1 ( C G 1 V G C 1 + C G 2 )   i f   V G E min + V C 1 E < V G E V G E max + V C 1 E C 0 x   i f   V G E > V G E max + V C 1 E   a n d   V C 1 E < 0 C 0 x [ u ( T j T 0 ) + 0.75 ( V G C 1 2 V G E + V C 1 E ) 2 ]   i f   V G E > V G E max + V C 1 E   a n d   V C 1 E 0
where C0x is capacitance dependent on thickness of the layer of oxide under the gate tOX, w—width of the channel of the MOS structure, CGE0—capacitance per unit of channel widths between the gate and the emitter, VGEmax, VGEmin, CG1, CG2, x, u and k1—other parameters of the model, whereas VGE and VC1E are voltages marked in Figure 2.
Capacitance Cox occurring in Equation (2) is given by formula of the form [8,27]:
C o x = ε 0 ε o x L w t O X
where L denotes the length of the channel of the MOS structure, ε 0 is dielectric permeability of free air, and ε o x relative dielectric permeability of silicon oxide.
Capacitance between the gate and the collector is described by the dependence of the form:
C G C = C 2 i C q k T j + { C 1 w   i f   V G C 1 < V G C min + e ( T j T 0 ) [ C G D 0 + y ( T j T 0 ) ] w ( 1 + V C 1 E V j C ) M j 2 + n ( T j T 0 ) i f   V G C 1 V G C min + e ( T j T 0 )
where CGD0 is capacitance per the unit of channel width between the gate and the drain on the unit of the channel width, C1, C2, y, e, n, VGCmin—other parameters of the model, Mj2—parameter describing the doping profile of this junction, VjC—potential of the base-emitter junction, q—electron charge k—the Boltzmann constant, iC—collector current.
In practice, in order to model each of these capacitances, the use of a subcircuit shown in Figure 3 is needed.
This subcircuit consists of linear capacitor C1 of the fixed value of capacitance, voltage source VC1 of the zero value and the controlled current source GC1. The voltage source VC1 is used to monitor the value of current iC1, which is proportional to time derivatives of voltage on the current source GC1 and on the capacitor C1. The current flowing through the controlled current source GC1 modelling parasitic capacitance CX is given by the following formula:
  I G C 1 = C x C 1 C 1 i C 1
In the presented dynamic model of the IGBT output currents of the considered controlled current source (GCCE, GCGE and GCGC) describing current flowing through parasitic capacitances of the IGBT are described by Equation (5), in which capacitance Cx is equal to the appropriate capacitances described with Equations (1)–(4).

3. Results of Computations and Measurements

In order to verify usefulness of the worked out dynamic IGBT model many computations and measurements of waveforms of collector current while switching-on and switching-off this device were performed. Measurements were realised in the measurement set-up shown in Figure 4.
In the presented measurement set-up, voltage source VCC feeds the collector of the investigated device. The control signal is generated by the function generator and is amplified by the driver MCP1305. Resistor RL limits collector current and resistor RG limits the maximum current of the gate of the tested IGBT. In the measurement set-up the oscilloscope Rigol DS1052E, the current probe Tektronix TCPA 300, the feeder NDN of the type DF1760SL10A and the functional generator of the type NDN JC5603P are used. The case temperature of the investigated device is measured by the pyrometer Optex PT-3S. The band of the applied oscilloscope is 50 MHz, and the current probe −100 MHz. The applied driver is characterised with the maximum output current of 4.5 A and with the maximum output voltage amounting to 18 V. During measurements the investigated transistor is situated in the thermostat.
Investigations were performed for type the IRG4PC40UD transistor [28] manufactured by International Rectifier company. During measurements this transistor was screwed to a large aluminium heat-sink situated in the thermostat. The gate of this transistor was controlled by a rectangular pulses train. The amplitude of this signal was equal to 15 V, whereas its frequency was equal to 20 kHz. Resistor RG of resistance equal to 210 Ω was connected in series with the gate of the transistor. In order to minimise influence of a self-heating phenomenon on the investigated waveforms, all the measurements presented in this section were obtained just after switching-on or switching-off the control signal.
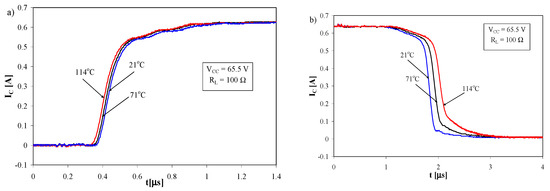
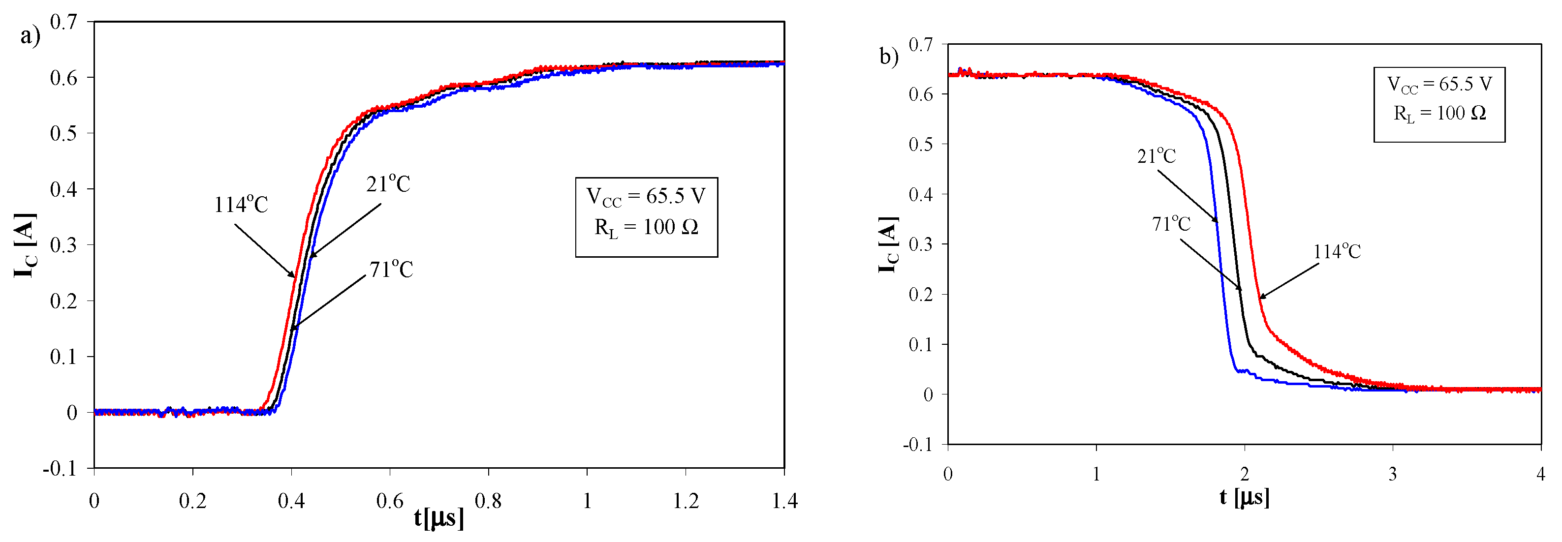
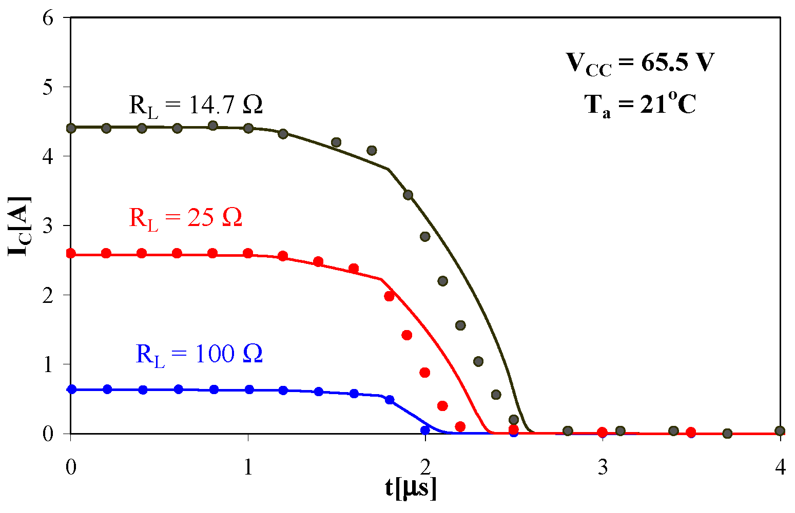
In Figure 5 influence of temperature on the measured waveforms of collector current obtained at selected temperature values in the range from 21 to 114 °C is shown. Such a range of investigations was selected arbitrarily taking into account three reasons. Firstly, the lowest value of temperature should be equal to typical room temperature. Secondly, the highest value of temperature must be lower than the maximum allowable temperature of operation of the considered transistor. Thirdly, differences between the highest and lowest temperature should be possibly big to visibly illustrate influence of temperature on dynamic properties of the tested transistor.
During measurements, the collector circuit of the tested IGBT was fed from the source VCC of constant voltage equal to 65.5 V Resistor RL of resistance 100 Ω which was connected between this source and the collector of the tested transistor. As it is visible, temperature very weakly influences waveforms IC(t) while switching-on, whereas influenced of temperature on these waveforms was strong while switching off. In particular, considerable extension of the so-called current tail could be observed at a temperature rise. The temperature rise caused acceleration of the switching-on process of the investigated transistor by 50 ns and a slowdown of the switching-off process of this transistor by almost 500 ns.
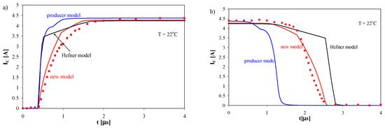
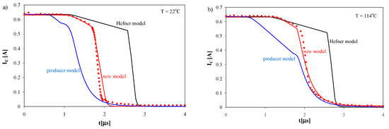
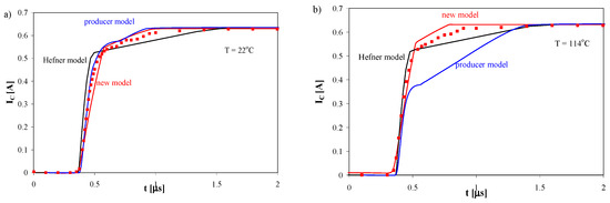
Using the presented in the previous section dynamic model of the IGBT, waveforms of voltages and currents of the considered device during the switching process at fixed values of temperature were computed. The results of computations obtained using the authors’ new model are presented in Figure 6, Figure 7 and Figure 8 as red lines. They are compared with the results of measurements (points) and the results of computations obtained by means of two popular literature models—the Hefner model [27,29] built-in in the SPICE (black lines) and the model available at the website of International Rectifier [15] (blue lines).
The considered literature models were described in detail in paper [16]. Figure 6 shows waveforms of collector current during the switching-off process of the considered device supplied in the identical manner as in the case considered in Figure 5. The results shown in Figure 6a correspond to temperature equal to 22 °C, whereas the results shown in Figure 6b correspond to temperature equal to 114 °C.
As it is visible, good agreement was obtained between the results of computations and measurements at both the considered values of temperatures only for the authors’ model. For the producer model [15], the switching-off process ran too quickly, especially for temperature T = 22 °C. In temperature equal to 114 °C, essential improvement in accuracy of computations performed with the described model within the range of current values below 300 mA could be observed. In turn, the results of computations obtained with the use of the Hefner model were characterised by the overlong switching-off process. Similarly, as it was presented for dc characteristics in paper [16], this model does not take into account influence of temperature on the shape of characteristics of the considered device.
Figure 7 shows waveforms of collector current of the investigated IGBT during the switching-on process for temperature equal to 22 °C (Figure 7a) and 114 °C (Figure 7b).
At temperature equal to 22 °C good agreement between the results of measurements and computations was obtained for all the tested models. In contrast, for temperature T = 114 °C good agreement between the results of computations and measurements was obtained with the use of the authors’ model, and acceptable agreement between these results was assured also by the literature models. The producer model is characterised by good accuracy only within for values of collector current below 300 mA.
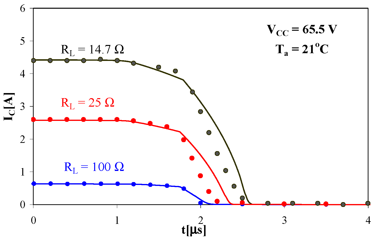
Figure 8 illustrates waveforms of collector current during the switching-on process (Figure 8a) and the switching-off process (Figure 8b) of the tested IGBT operating at room temperature and load resistance RL equal to 14.7 Ω.
Only for a new model good agreement between the results of measurements and computations was obtained. Computations performed with the use of both the literature models showed incorrectly too short duration time of the switching-on process. In turn, the computed with the use of these models waveform of collector current during the switching-off process showed too short duration time of this process for the producer model and too long—for the Hefner model.
Comparing the results of measurements and computations obtained for different values of load resistance (Figure 6a, Figure 7a and Figure 8), it is visible that at a higher value of this resistance both the considered switching times are shorter than for a lower value of resistance RL.
Table 1 shows the values of times ton and toff computed with the use of three considered models and measured values which correspond to different values of resistance RL and temperature. As one can notice, in five out of six considered cases the value of the mentioned times was computed with the use of the author′s model. In the case of time toff computed at temperature 114 °C and resistance RL = 100 Ω the value of this time was obtained with the use of the producer model. However, as it is visible in Figure 6b, this model does not describe exactly the whole course of collector current during the switching-off process, so the accurately computed value of time toff results from good modelling of the coordinates of only two points in the waveform IC(t) used in computing values of parameters shown in this table.
As it visible in the presented comparison of the results of computations and measurements (Table 1), only the authors’ model assured good accuracy. The computed by means of both literature models waveforms of collector current while switching significantly differ from the results of measurements. The proposed model is correct over a wide range of changes of temperature and load resistance.
As it can be observed, the literature models assured good agreement between the results of computations and measurements only in the case of the process of switching-on at room temperature. In other operating conditions visible differences between the results of computations and measurements were observed. In turn, the authors’ model correctly described influence of temperature on waveforms of collector current both while switching-on and switching-off the transistor.
Using the authors’ model, waveforms of the collector current while switching-off (Figure 9) and switching-on (Figure 10) the considered transistor are computed and the obtained results of computations are compared to the results of measurements.
In Figure 9 it is visible that the time of switching-off increases together with an increase of the switched current. In the investigated range of current iC values, time of switching-off increases from 1.22 μs to 2.34 μs. This increase is linear and time of switching-off increases with an increase of current with the slope equal to about 94 ns/A.
In Figure 10 it is visible that the on-time increases together with an increase of the switched current. In the investigated range of values of currents iC, the on-time increases from 620 ns to 1.69 μs. This increase is linear, and the on-time increases with an increase of current of 186 ns/A. This increase is double compared to the case of switching-off.
From the point of view of switched-mode electronic circuits energy losses during the switching process are essential. In Figure 11 and Figure 12 the computed and measured waveforms of power losses in the investigated transistor at two different values of temperature are presented. Figure 11 shows a shift between the maxima of courses p(t) obtained while switching-off in the considered temperatures, whereas the corresponding waveforms p(t) while switching-on shown in Figure 12 differs between one another imperceptibly.
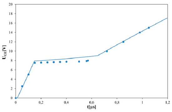
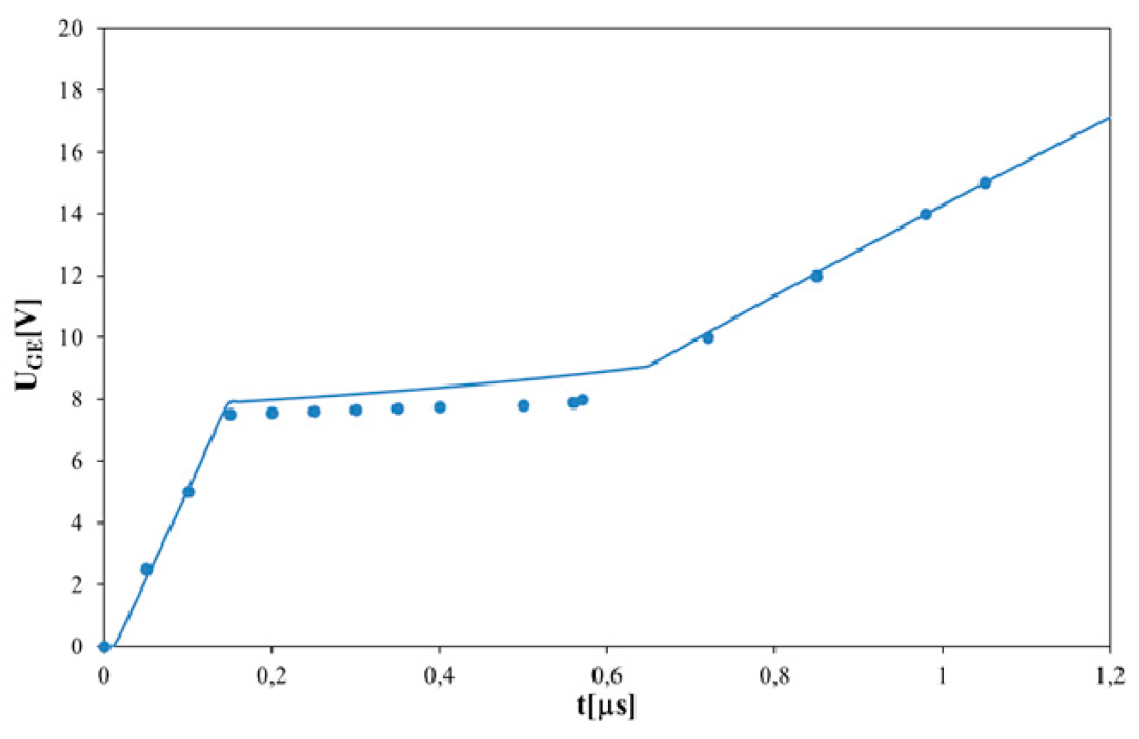
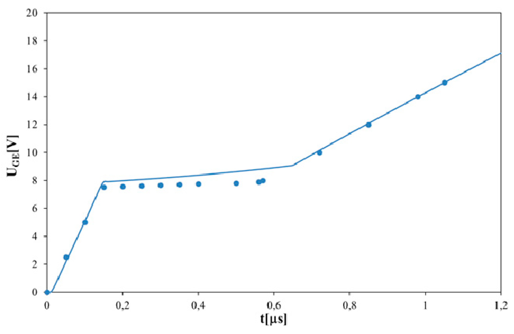
In Figure 13 the computed and measured waveforms of gate-emitter voltage while charging the gate of the investigated transistor are presented. These waveforms were measured and computed for collector current IC = 20 A and voltage feeding the collector VCC = 400 V. Current of the gate during the test amounted to 100 mA. As it is visible, the results of computations and measurements are convergent and satisfactory; the differences between them do not exceed 10%. This confirms correctness of the description of input capacitance of the considered transistor.

4. Conclusions

In this article a new form of the IGBT model dedicated for the SPICE software is proposed. This model takes into account influence of temperature on dynamic properties of the considered device. In the description of the proposed model new dependences of device parasitic capacitances on temperature and on the co-ordinates of the device operating point are included in the form of analytical formulas.
The usefulness of the elaborated model is verified for the transistor operating as a switch. Waveforms of collector current are computed with the use of the new model and two models given in the literature. Computations are performed at different values of temperature and load resistance. The results of computations are compared to the results of measurements. The waveforms of collector current while switching-on and switching-off obtained using the new model fit well the results of measurements in the whole considered range of changes of temperature and load resistance. In contrast, the results of computations obtained using the considered literature models visibly differ from results of measurements. The difference increase while load resistance decreases.
The performed computations and measurements prove correctness of the new model. It is also visible that temperature strongly influences the value of off-time, but its influence on on-time could be omitted. Moreover, it is also shown that the new model properly describes waveform of power dissipated in the investigated transistor while it is being switched. Correctness of the used description of the transistor input capacitance prove good agreement between the computed and measured waveforms of gate-emitter voltage while charging the gate.
The disadvantage of the proposed model is a complicated description of internal capacitances making use of splines. It could result in some problems with convergence of the analysis performed for a long time—equal to hundreds or thousands of periods of the signal controlling the gate of the considered transistor.
The presented dynamic model of the IGBT could be useful for designers of power electronics circuits, making possible realisation of more accurate computer simulation of such circuits. This model could be also useful in didactics to present influence of temperature changes on switching-on and switching-off processes in power converters including IGBTs.
As it is commonly known, temperature of the IGBT could change as a result of self-heating phenomena [17]. Therefore, in further investigations the authors will elaborate an electrothermal model of the IGBT on the basis of the dynamic model presented in this article.

Author Contributions

The measurements presented in this manuscript and their evaluation was carried out by P.G. Manuscript was prepared and the equations were formulated by P.G. and K.G. Finally, K.G. supervised the research.

Funding

The scientific work was financed with the Polish science budget resources in the years 2017–2021, as the investigation project within the framework of the program “Diamentowy Grant”. The project was financed within the program of the Ministry of Science and Higher Education called “Regionalna Inicjatywa Doskonałości” in the years 2019–2022, the project number is 006/RID/2018/19, the sum of financing is 11 870 000 PLN.

Conflicts of Interest

The authors declare no conflict of interest.

References

  1. Baliga, B.J.; Adler, M.S.; Love, R.P.; Gray, P.V.; Zommer, N.D. The insulated gate transistor—A new 3-terminal MOS-controlled bipolar power device. IEEE Trans. Electron Devices 1984, 31, 821–828. [Google Scholar] [CrossRef]
  2. Ericson, R.; Maksimovic, D. Fundamentals of Power Electronics, 2nd ed.; Kluwer Academic Publisher: Norwell, MA, USA, 2001. [Google Scholar]
  3. Rashid, M.H. Power Electronic Handbook, 2nd ed.; Academic Press: Oxford, UK, 2007. [Google Scholar]
  4. Kazimierczuk, M.K. Pulse-width Modulated DC-DC Power Converters, 2nd ed.; John Wiley & Sons: Hoboken, NJ, USA, 2008. [Google Scholar]
  5. Maksimovic, D.; Stankovic, A.M.; Thottuvelil, V.J.; Verghese, G.C. Modelling and simulation of power electronic converters. Proc. IEEE 2001, 89, 898–912. [Google Scholar] [CrossRef]
  6. Mohan, N.; Robbins, W.P.; Undeland, T.M.; Nilssen, R.; Mo, O. Simulation of Power Electronic and Motion Control Systems—An Overview. Proc. IEEE 1994, 82, 1287–1302. [Google Scholar] [CrossRef]
  7. Rashid, M. SPICE for Power Electronics and Electronic Power, 3rd ed.; Taylor and Francis Group: Oxfordshire, UK, 2016. [Google Scholar]
  8. Wilamowski, B.M.; Jaeger, R.C. Computerized Circuit Analysis Using SPICE Programs, 1st ed.; McGraw-Hill: New York, NY, USA, 1997. [Google Scholar]
  9. Górecki, K.; Zarębski, J. Influence of MOSFET model form on characteristics of the boost converter. Inf. MIDEM 2011, 41, 1–7. [Google Scholar]
  10. Bargieł, K.; Zarębski, J.; Bisewski, D. SPICE-aided modeling of high-voltage silicon carbide JFETs. In IOP Conference Series: Materials Science and Engineering; IOP Publishing Ltd.: Bristol, UK, 2016; Volume 104. [Google Scholar] [CrossRef]
  11. Hefner, A.R.; Diebolt, D.M. An experimentaly verified IGBT model implemented in the Saber circuit simulator. IEEE Trans. Power Electron. 1994, 9, 532–542. [Google Scholar] [CrossRef]
  12. Baliga, B.J. Analytical modelling of IGBTs: Challenges and solutions. IEEE Trans. Electron Devices 2013, 60, 535–543. [Google Scholar] [CrossRef]
  13. Apeldoorn, O.; Schmitt, S.; De Doncker, R.W. An electrical model of a NPT-IGBT including transient temperature effects realized with PSpice device equations modeling. In Proceedings of the IEEE International Symposium on Industrial Electronics, Guimaraes, Portugal, 7–11 July 1997; pp. 223–228. [Google Scholar]
  14. Wu, R.; Wang, H.; Pedersen, K.B.; Ma, K.; Ghimire, P.; Iannuzzo, F.; Blaabjerg, F. A temperature-dependent thermal model of IGBT modules suitable for circuit-level simulations. IEEE Trans. Ind. Appl. 2016, 52, 3306–3314. [Google Scholar] [CrossRef]
  15. Spice Models and Saber Models. Web-Site of International Rectifier. Available online: http://www.irf.com/product-info/models/saber/ (accessed on 4 February 2019).
  16. Górecki, P.; Górecki, K.; Zarębski, J. Modelling the temperature influence on dc characteristics of the IGBT. Microelectron. Reliab. 2017, 79, 96–103. [Google Scholar] [CrossRef]
  17. Górecki, K.; Górecki, P. Modelling the influence of self-heating on characteristics of IGBTs. In Proceedings of the 21st International Conference Mixed Design of Integrated Circuits and Systems MIXDES, Lublin, Poland, 19–21 June 2014; pp. 298–302. [Google Scholar]
  18. Sheng, K.; Williams, B.W.; Finney, S.J. A review of IGBT models. IEEE Trans. Power Electron. 2000, 15, 1250–1266. [Google Scholar] [CrossRef]
  19. Górecki, K.; Górecki, P. Modelling dynamic characteristics of the IGBT with thermal phenomena taken into account. Microelectron. Int. 2017, 34, 160–164. [Google Scholar] [CrossRef]
  20. Liu, Y.T.; Liang, S.Q.; Jin, D.H.; Peng, J.C. Performance comparison of Si IGBT and SiC MOSFET power devices based LCL three-phase inverter with double closed-loop control. IET Power Electron. 2019, 12, 322–329. [Google Scholar] [CrossRef]
  21. Seo, J.H.; Choi, C.H.; Hyun, D.S. A new simplified space-vector PWM method for three-level inverters. IEEE Trans. Power Electron. 2001, 16, 545–550. [Google Scholar]
  22. Blaabjerg, F.; Jaeger, U.; Munknielsen, S.; Pedersen, J.K. Power Losses in PWM-VSI Inverter Using NPT or PT IGBT Devices. IEEE Trans. Power Electron. 1995, 10, 358–367. [Google Scholar] [CrossRef]
  23. Górecki, P. Investigation of the influence of thermal phenomena on dynamic parameters of the IGBT. In Proceedings of the 25th International Conference on Mixed Design of Integrated Circuits and Systems MIXDES, Gdynia, Poland, 21–23 June 2018; pp. 243–247. [Google Scholar]
  24. Avenas, Y.; Dupont, L.; Khatir, Z. Temperature Measurement of Power Semiconductor Devices by Thermo-Sensitive Electrical Parameters—A Review. IEEE Trans. Power Electron. 2012, 27, 3081–3092. [Google Scholar] [CrossRef]
  25. Górecki, P.; Górecki, K. Modelling influence of temperature on the switching process of IGBTs. In Proceedings of the 24th International Workshop on Thermal Investigations of ICs and Systems Therminic 2018, Stokholm, Sweden, 26–28 September 2018. [Google Scholar] [CrossRef]
  26. Napieralski, A.; Napieralska, M. Polowe Półprzewodnikowe Przyrządy Dużej Mocy, 1st ed.; Wydawnictwa Naukowo-Techniczne: Warsaw, Poland, 1995. [Google Scholar]
  27. Hefner, A.R. An investigation of the drive circuit requirements for the power insulated gate bipolar transistor (IGBT). IEEE Trans. Power Electron. 1991, 6, 208–219. [Google Scholar] [CrossRef]
  28. IRG4PC40UD Insulated Gate Bipolar Transistor with Ultrafast Soft Recovery Diode, Data Sheet, International Rectifier. 1997. Available online: https://www.infineon.com/dgdl/irg4pc40udpbf.pdf?fileId=5546d462533600a4015356442ac722dc (accessed on 15 May 2019).
  29. PSpice A/D Reference Guide. Product Version 15.7. 2006. Available online: siyh.byethost11.com/PDF/PSpiceGuide.pdf?i=1 (accessed on 15 May 2019).
Figure 1. Network representation of the typical structure of the Insulated Gate Bipolar Transistor (IGBT).
Figure 1. Network representation of the typical structure of the Insulated Gate Bipolar Transistor (IGBT).
Energies 12 01894 g001
Figure 2. Network representation of the elaborated dynamic model of the IGBT.
Figure 2. Network representation of the elaborated dynamic model of the IGBT.
Energies 12 01894 g002
Figure 3. Manner of modelling internal capacitances of the transistor.
Figure 3. Manner of modelling internal capacitances of the transistor.
Energies 12 01894 g003
Figure 4. Diagram of a set-up to measure waveforms of voltage and currents of the IGBT while switching.
Figure 4. Diagram of a set-up to measure waveforms of voltage and currents of the IGBT while switching.
Energies 12 01894 g004
Figure 5. Measured waveforms of collector current of the considered transistor in (a) switching-on and (b) switching-off the IGBT at different values of temperature.
Figure 5. Measured waveforms of collector current of the considered transistor in (a) switching-on and (b) switching-off the IGBT at different values of temperature.
Energies 12 01894 g005
Figure 6. Computed and measured waveforms of collector current during the switching-off process at temperature equal to (a) 22 °C and (b) 114 °C.
Figure 6. Computed and measured waveforms of collector current during the switching-off process at temperature equal to (a) 22 °C and (b) 114 °C.
Energies 12 01894 g006
Figure 7. Measured and computed waveforms of collector current while switching-on at temperature equal to (a) 22 °C and (b) 114 °C.
Figure 7. Measured and computed waveforms of collector current while switching-on at temperature equal to (a) 22 °C and (b) 114 °C.
Energies 12 01894 g007
Figure 8. Measured and computed waveforms of collector current while (a) switching-on and (b) switching-off at RL = 14.7 Ω.
Figure 8. Measured and computed waveforms of collector current while (a) switching-on and (b) switching-off at RL = 14.7 Ω.
Energies 12 01894 g008
Figure 9. Computed and measured waveforms of current iC while switching-off the transistor.
Figure 9. Computed and measured waveforms of current iC while switching-off the transistor.
Energies 12 01894 g009
Figure 10. Computed and measured waveforms of current iC while switching-on the transistor.
Figure 10. Computed and measured waveforms of current iC while switching-on the transistor.
Energies 12 01894 g010
Figure 11. Measured and computed waveforms of power dissipated in the transistor while switching-on.
Figure 11. Measured and computed waveforms of power dissipated in the transistor while switching-on.
Energies 12 01894 g011
Figure 12. Measured and computed waveforms of power dissipated in the transistor while switching-off.
Figure 12. Measured and computed waveforms of power dissipated in the transistor while switching-off.
Energies 12 01894 g012
Figure 13. Computed and measured waveforms of gate-emitter voltage while charging the gate of the transistor.
Figure 13. Computed and measured waveforms of gate-emitter voltage while charging the gate of the transistor.
Energies 12 01894 g013
Table 1. Computed and measured values of times ton and toff.
Table 1. Computed and measured values of times ton and toff.
RL[Ω]Ta[°C]ton[ns]toff[ns]
Producer Model Hefner Model Authors’ Model MeasuredProducer Model Hefner Model Authors’ Model Measured
100225257945606181736272218821880
10011410338084605662312272522432370
14.722542870107213361295259224602236

Share and Cite

MDPI and ACS Style

Górecki, P.; Górecki, K. Modelling a Switching Process of IGBTs with Influence of Temperature Taken into Account. Energies 2019, 12, 1894. https://doi.org/10.3390/en12101894

AMA Style

Górecki P, Górecki K. Modelling a Switching Process of IGBTs with Influence of Temperature Taken into Account. Energies. 2019; 12(10):1894. https://doi.org/10.3390/en12101894

Chicago/Turabian Style

Górecki, Paweł, and Krzysztof Górecki. 2019. "Modelling a Switching Process of IGBTs with Influence of Temperature Taken into Account" Energies 12, no. 10: 1894. https://doi.org/10.3390/en12101894

APA Style

Górecki, P., & Górecki, K. (2019). Modelling a Switching Process of IGBTs with Influence of Temperature Taken into Account. Energies, 12(10), 1894. https://doi.org/10.3390/en12101894

Note that from the first issue of 2016, this journal uses article numbers instead of page numbers. See further details here.

Article Metrics

Back to TopTop