Conditional Maximum Likelihood of Three-Phase Phasor Estimation for μPMU in Active Distribution Networks
Abstract
:1. Introduction
2. The Signal Model of Three-Phase Unbalanced System
3. Condition Maximum Likelihood Estimation
3.1. Conditions of Parameter Identification
- (1)
- θ contains 2 unknown variables at most.
- (2)
- All the θ of the measurement matrix c(θ) should satisfy.
3.2. Estimation of Phasor
4. Three-Phase Phasor Estimation
4.1. Estimate Eigenvector u
4.2. Estimate Variate θ
4.3. Closed Form Estimation
- (1)
- If μPMU is configured on the node , the phase angle of the node is considered to be known.
- (2)
- The branch current will vary with the phase angle of the voltage at both ends of the branch.
4.3.1. Amplitude Parameter Estimation
4.3.2. Phase Parameter Estimation
4.4. Flowchart of the Algorithm
5. Results and Demonstration
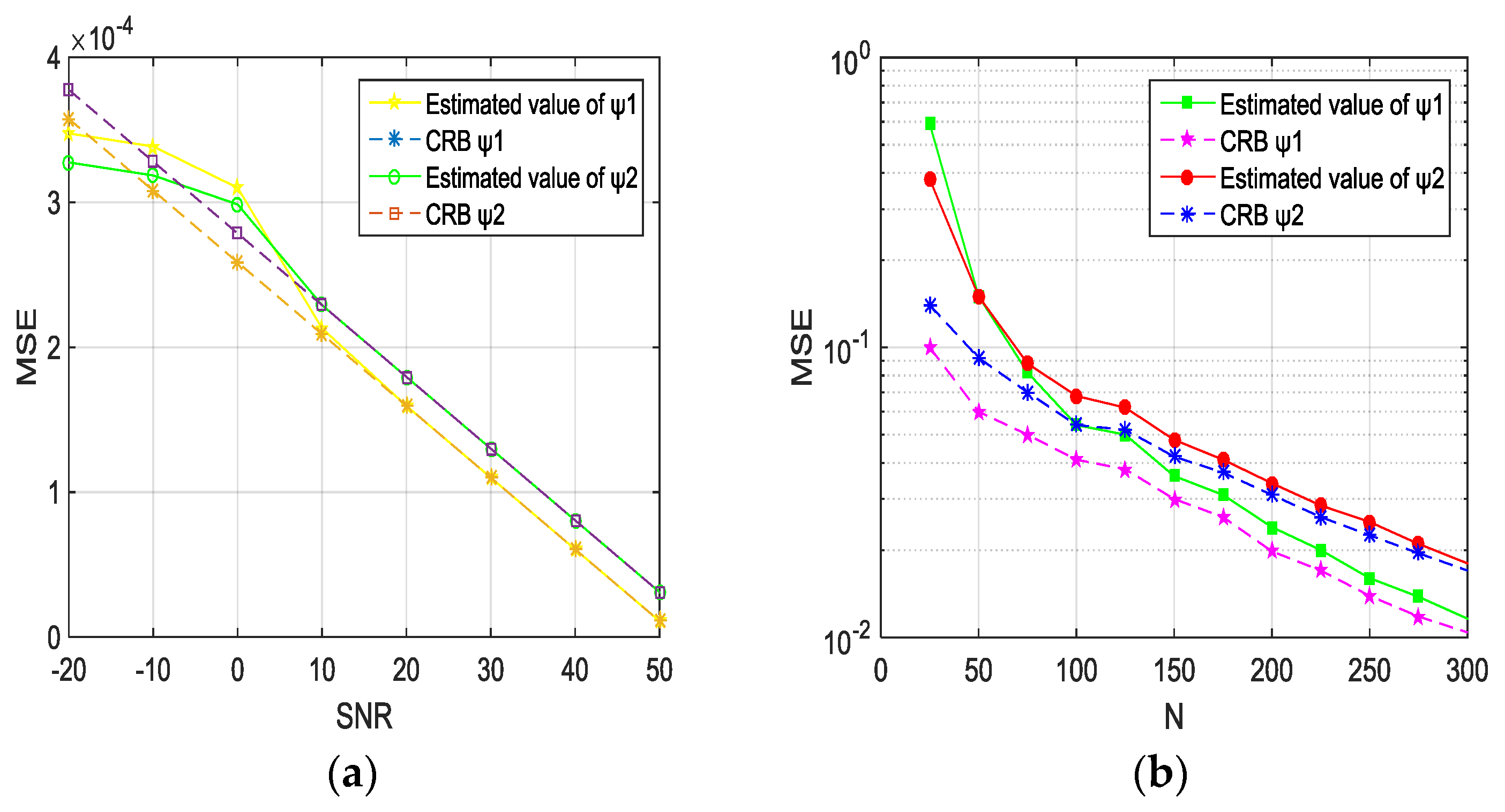
5.1. Performance Analysis of CML
5.2. Steady State Test
5.2.1. Analysis of Harmonic and Noise Suppression
5.2.2. Frequency Offset Simulation Analysis
5.3. Dynamic Interference Test
5.4. Application: Impedance Measurement Using CML Results under Noise Interference
6. Conclusions
- (1)
- This algorithm uses the geometric edges and inner angles to solve the amplitude and phase, reducing the amount of computation. The performance of CML is verified by MSE, and the signals under harmonic, noise and frequency offset are tested. The results meet the requirements of IEEE C37.118, and the algorithm has less calculation burden for μPMU, compared with DFT.
- (2)
- The dynamic test of the CML method is carried out and the impedance of the distribution network model is solved according to the phasor estimation results of CML method. The simulation shows that the impedance estimation performance based on the CML measurement value is satisfied.
- (3)
- The phasor measurement algorithm proposed in this paper can be applied to fault location, state estimation, and other advanced application in distribution networks, because of numerical stability and estimation precision under a quasi-steady-state condition.
Author Contributions
Conflicts of Interest
References
- Hamelink, J.B.; Nguyen, P.H.; Kling, W.L.; Ribeiro, P.F.; De Groot, R.J. Routing power flows in distribution networks using locally controlled power electronics. In Proceedings of the Universities Power Engineering Conference, London, UK, 4–7 September 2012; pp. 1–6. [Google Scholar]
- Fei, C.; Dong, L.; Chen, Y.; Center, D. Hierarchically distributed voltage control strategy for active distribution network. Autom. Electr. Power Syst. 2015, 39, 61–67. [Google Scholar]
- Phadke, A.G.; Thorp, J.S. Synchronized Phasor Measurements and Their Applications; Springer: New York, NY, USA, 2008; pp. 93–169. [Google Scholar]
- Bollen, M.H.J.; Gu, I.Y.H.; Santoso, S.; McGranaghan, M.F.; Crossley, P.A.; Ribeiro, M.V.; Ribeiro, P.F. Bridging the gap between signal and power. IEEE Signal Process. Mag. 2009, 26, 12–31. [Google Scholar] [CrossRef]
- Borges, F.A.S.; Fernandes, R.A.S.; Silva, I.N.; Silva, C.B.S. Feature extraction and power quality disturbances classification using smart meters signals. IEEE Trans. Ind. Inform. 2017, 12, 824–833. [Google Scholar] [CrossRef]
- Su, P.; Wang, H. Discussion of the short-window Morlet complex wavelet algorithm on the power system signal process. Autom. Electr. Power Syst. 2004, 28, 36–42. [Google Scholar]
- Mahmood, F.; Hooshyar, H.; Lavenius, J.; Lund, P.; Vanfretti, L. Real-time reduced steady state model synthesis of active distribution networks using PMU measurements. IEEE Trans. Power Deliv. 2017, 32, 546–555. [Google Scholar] [CrossRef]
- Su, H.Y.; Liu, T.Y. A PMU-Based method for smart transmission grid voltage security visualization and monitoring. Energies 2017, 10, 1103. [Google Scholar]
- Roberts, C.M.; Shand, C.M.; Brady, K.W.; Stewart, E.M.; Mcmorran, A.W.; Taylor, G.A. Improving distribution network model accuracy using impedance estimation from micro-synchrophasor data. In Proceedings of the IEEE Power & Energy Society General Meeting, Boston, MA, USA, 17–21 July 2016; pp. 1–5. [Google Scholar]
- Jia, K.; Gu, C.; Li, L.; Xuan, Z.; Bi, T.; Thomas, D. Sparse voltage amplitude measurement based fault location in large-scale photovoltaic power plants. Appl. Energy 2018, 211, 568–581. [Google Scholar] [CrossRef]
- Wang, D.; Wilson, D.; Venkata, S.; Murphy, G. PMU-based angle constraint active management on 33kV distribution network. In Proceedings of the International Conference and Exhibition on Electricity Distribution, Stockholm, Sweden, 10–13 June 2013; pp. 1–4. [Google Scholar]
- Mai, R.; He, Z.; Brian, K.; Bo, Z. A maximum likelihood based dynamic synchrophasor estimator for online purpose. In Proceedings of the IEEE Power & Energy Society General Meeting, Calgary, AB, Canada, 26–30 July 2009; pp. 1–5. [Google Scholar]
- IEEE Standards. C37.118.1-2011-IEEE Standard for Synchrophasor Measurements for Power Systems; Revision of IEEE Std C37.118-2005; IEEE: Piscataway, NJ, USA, 2011; pp. 1–61. [Google Scholar]
- Wu, K.; Zheng, S.; An, S.; Ding, X.; Zhang, F. A dynamic display method of distribution network’s monitoring information. In Proceedings of the IEEE International Conference on Software Engineering and Service Science, Beijing, China, 23–25 September 2015; pp. 710–713. [Google Scholar]
- Stoica, P.; Nehorai, A. Music, maximum likelihood, and Cramer-Rao bound. IEEE Trans. Signal Process. 2007, 37, 720–741. [Google Scholar] [CrossRef]
- Bollen, M.; Gu, I. Signal Processing of Power Quality Disturbances; John Wiley & Sons Inc.: Hoboken, NJ, USA, 2006. [Google Scholar]
- Horn, R.A.; Johnson, C.R. Matrix Analysis; Cambridge University Press: Cambridge, UK, 2012. [Google Scholar]
- Renaux, A.; Forster, P.; Chaumette, E.; Larzabal, P. On the High-SNR conditional maximum-likelihood estimator full statistical characterization. IEEE Trans. Signal Process. 2006, 54, 4840–4843. [Google Scholar] [CrossRef]
- Nguyen, C.T.; Srinivasan, K. A new technique for rapid tracking of frequency deviations based on level crossings. IEEE Trans. Power Appar. Syst. 1984, 103, 2230–2236. [Google Scholar] [CrossRef]
- Kun, Z.; Lei, Y.; Li, L.; Li, Q.; Lang, Y.S.; Jia, P.Y. A method of introducing PMU current measurement to nonlinear state estimation. Adv. Mater. Res. 2014, 10, 2816–2821. [Google Scholar] [CrossRef]
- Ren, Y. Low-voltage power distribution system fault protection and protection of electrical equipment selection. Build. Electr. 2016, 7, 3–10. [Google Scholar]
- Sengijpta, S. Fundamentals of statistical signal processing: Estimation theory. Technometrics 1998, 37, 465–466. [Google Scholar] [CrossRef]

















| Experimental Value | Estimated Value | |||||||
|---|---|---|---|---|---|---|---|---|
| N | CRB | MSE | Var() | Bias2(dk) | MSE | Var() | Bias2(dk) | |
| 100 | 0.0178 | 0.0181 | 0.0181 | 0.0013 | 0.0193 | 0.0192 | 0.0013 | |
| 200 | 0.0101 | 0.0113 | 0.0113 | 0.0007 | 0.0127 | 0.0127 | 0.0008 | |
| 1000 | 0.0026 | 0.0028 | 0.0028 | 0.0001 | 0.0031 | 0.0031 | 0.0000 | |
| 100 | 0.0495 | 0.0513 | 0.0513 | 0.0010 | 0.0524 | 0.0524 | 0.0011 | |
| 200 | 0.0281 | 0.0297 | 0.0297 | 0.0004 | 0.0309 | 0.0308 | 0.0003 | |
| 1000 | 0.0069 | 0.0071 | 0.0071 | 0.0001 | 0.0073 | 0.0073 | 0.0000 | |
| Experimental Value | Estimated Value | |||||||
|---|---|---|---|---|---|---|---|---|
| SNR dB | CRB | MSE | Var () | Bias2(dk) | MSE | Var() | Bias2(dk) | |
| 5 | 0.00023 | 0.00023 | 0.00023 | 0.00011 | 0.00024 | 0.00024 | 0.00012 | |
| 15 | 0.00017 | 0.00017 | 0.00017 | 0.00008 | 0.00018 | 0.00018 | 0.00008 | |
| 25 | 0.00014 | 0.00014 | 0.00014 | 0.00005 | 0.00016 | 0.00016 | 0.00006 | |
| 5 | 0.00016 | 0.00013 | 0.00012 | 0.00007 | 0.00014 | 0.00018 | 0.0008 | |
| 15 | 0.00012 | 0.00012 | 0.00012 | 0.00004 | 0.00013 | 0.00013 | 0.00004 | |
| 25 | 0.00008 | 0.00008 | 0.00008 | 0.00001 | 0.00007 | 0.00008 | 0.00001 | |
| f/Hz | The Maximum Amplitude Error (%) | The Maximum Phase Angle Error (°) | The Maximum TVE Error (%) |
|---|---|---|---|
| 49.7 | 0.095 | 0.029 | 2.017 |
| 49.8 | 0.068 | 0.018 | 1.003 |
| 49.9 | 0.037 | 0.011 | 0.008 |
| 50.0 | 3.488 × 10−9 | 1.013 × 10−8 | 3.491 × 10−9 |
| 50.1 | 0.037 | 0.030 | 0.008 |
| 50.2 | 0.069 | 0.019 | 1.001 |
| 50.3 | 0.096 | 0.013 | 2.019 |
| Actual Value (Ω) | Measured Value (Ω) | Estimated Value (Ω) | Deviation (Ω) | |
|---|---|---|---|---|
| Load 1 | 4.524 + j100.060 | 4.519 + j100.065 | 4.455 + j99.980 | 0.069 + j0.080 |
| Load 2 | 4.629 + j101.465 | 4.622 + j101.469 | 4.558 + j101.546 | 0.070 + j0.081 |
| Load 3 | 6.982 + j99.498 | 6.978 + j99.453 | 6.909 + j99.577 | 0.073 + j0.079 |
| Total load | 7.507 + j106.523 | 7.502 + j106.529 | 7.436 + j106.605 | 0.071 + j0.082 |
© 2018 by the authors. Licensee MDPI, Basel, Switzerland. This article is an open access article distributed under the terms and conditions of the Creative Commons Attribution (CC BY) license (http://creativecommons.org/licenses/by/4.0/).
Share and Cite
Li, J.; Wei, W.; Zhang, S.; Li, G.; Gu, C. Conditional Maximum Likelihood of Three-Phase Phasor Estimation for μPMU in Active Distribution Networks. Energies 2018, 11, 1320. https://doi.org/10.3390/en11051320
Li J, Wei W, Zhang S, Li G, Gu C. Conditional Maximum Likelihood of Three-Phase Phasor Estimation for μPMU in Active Distribution Networks. Energies. 2018; 11(5):1320. https://doi.org/10.3390/en11051320
Chicago/Turabian StyleLi, Jiang, Wenzhen Wei, Shuo Zhang, Guoqing Li, and Chenghong Gu. 2018. "Conditional Maximum Likelihood of Three-Phase Phasor Estimation for μPMU in Active Distribution Networks" Energies 11, no. 5: 1320. https://doi.org/10.3390/en11051320
APA StyleLi, J., Wei, W., Zhang, S., Li, G., & Gu, C. (2018). Conditional Maximum Likelihood of Three-Phase Phasor Estimation for μPMU in Active Distribution Networks. Energies, 11(5), 1320. https://doi.org/10.3390/en11051320
