A Novel Improved Cuckoo Search Algorithm for Parameter Estimation of Photovoltaic (PV) Models
Abstract
:1. Introduction
- A new improved variant of CSA, known as ImCSA, is proposed for solving the PV models parameter estimation problem based on experimental I-V data.
- A novel improved CSA, named as ImCSA, by combining three strategies with original CSA to enhance its performance is proposed. First, a QOBL scheme is used in the population initialization step of original CSA. Then, a dynamic adaptation strategy is developed and introduced for the step size without Lévy flight step in original CSA. Finally, a dynamic adjustment mechanism for the fraction probability, Pa is proposed to provide better balance between the global exploration and local exploitation to increase searching ability. The proposed ImCSA is a global optimization method and could be applied to other real-world problems.
- The proposed ImCSA is able to seek out the best parameter values for PV models in such effective way for giving the best possible approximation to the experimental I-V data of real PV cells and modules. Compared with original CSA and other different methods used in recent literature, the superior performance of the ImCSA is confirmed. Therefore, the proposed ImCSA can serve as a potential alternative to accurately and reliably identify PV models parameters.
2. Photovoltaic (PV) Modeling and Problem Formulation
2.1. PV Cell Model
2.1.1. Single Diode Model
2.1.2. Double Diode Model
2.2. PV Module Model
2.3. Objective Function
3. The Original CSA
- One egg is laid by each cuckoo at a time and dumps its egg into any chosen nest randomly.
- Nests with the best quality eggs are maintained to the forthcoming generations.
- The fraction probability (Pa) of the host birds discovering cuckoo’s egg lies within probability range Pa ∈ [0, 1]. The available host nest is fixed.
| Algorithm 1: Pseudocode of the original CSA |
|
- Randomly initialize n host nests within specified range:where θi denotes the ith nest; θij denotes the jth element of the ith nest; d denotes the dimension. Set the value of discovery rate Pa [0, 1]. Set the maximum number of iterations Itmax.
- Compute fitness value fi (i = 1, …, n), select the best value of each nest θbesti and the global best nest Gbest, memorize fitness values and the best fitness value.
- Randomly generate a new solution using Lévy flights. As aforementioned, the new solution is given by:where rand1 is a random number drawn from a normal distribution and the step size is determined by:where α is the step size scaling factor and set to 0.01; β is the distribution factor and set to 1.5; u and v are two normally distributed stochastic variables ( and ) with respective the and aforementioned in (21).
- Compute the fitness values of the new solutions, decide the newly θbesti and Gbest via comparing the memorized fitness values in Step 2 with newly computed ones, update θbesti and Gbest, and memorize fitness values and the best fitness value.
- Drop several worst nests via probability (Pa) and build new solution. Due to this action, the new solution can be calculated by:where C is the updated coefficient resolved by Pa and given by:and the increased value is computed by:where rand2 and rand3 are random numbers drawn from normal distributions; randp1(θbesti) and randp2(θbesti) are the random perturbation for positions of nests in θbesti.
- Compute the fitness values of the new solutions, decide the newly θbesti and Gbest via comparing the computed fitness values of these new solutions with memorized fitness values in Step 4, update θbesti and Gbest, memorize fitness values and the best fitness value.
- If the predefined maximum number of iterations Itmax is reached, stop the calculation and display the results, else go to Step 3.
4. The Proposed Novel Improved Cuckoo Search Algorithm (ImCSA) and Its Application
4.1. Proposed ImCSA
4.1.1. Quasi-Opposition Based Learning Scheme for the Population Initialization
- Opposite number: Let be a real number defined on a certain interval: . The opposite number is defined by:
- Opposite point: Let be a point in n-dimensional space, where and . The opposite point is completely defined by its components where:
- Quasi-opposite number: Let be a real number defined on a certain interval: . The quasi-opposite number is defined by:where is the opposite number of X; is a random number uniformly distributed between and .
- Quasi-opposite point: Let be a point in n-dimensional space, where and . The quasi-opposite point is completely defined by its components where:where is the opposite point of Xi; is a random point uniformly distributed between and .
4.1.2. Dynamic Adaptation Strategy for the Step Size
4.1.3. Dynamic Adjustment Mechanism for the Fraction Probability
4.1.4. Implementation of the Proposed ImCSA
| Algorithm 2: Pseudocode of the proposed ImCSA |
| /* QOBL scheme for the population initialization */ 1. Generate uniformly distributed initial n host nests N0 2. for i = 1:n //n: Host nests size 3. for j = 1:d //d: Problem dimension 4. ON0i,j= aj + bj−N0i,j //ON0: Opposite of initial host nests N0;[aj, bj]: Range of the jth variable 5. Mi,j= (aj + bj)/2 //Mi,j: Middle point 6. if (N0i,j < Mi,j) 7. QON0i,j= Mi,j + (ON0i,j−Mi,j) × rand(0,1) //QON0: Quasi-opposite of initial host nests N0 //rand(0,1): Arandom number uniformly generated 8. else 9. QON0i,j= ON0i,j + (Mi,j−ON0i,j) × rand(0,1) 10. end if 11. end for 12. end for 13. Choose n fittest nests from set of {N0, QON0} as initial host nests N0 /* End of QOBL scheme for the population initialization */ 14. Compute fitness value fi (i = 1, …, n) 15. Determine the global best nest with the best fitness value 16. for It = 1:Itmax /* Dynamic adaptation strategy for the step size */ 17. Find the best fitness value Bestf(It) and the worst fitness value Wortf(It) in the iteration It 18. Randomly generate a new solution (say Ci) using Equations (23) and (32) /* End of dynamic adaptation strategy for the step size */ 19. Compute its fitness value ftr 20. Randomly choose a solution (say θm) from current n solutions 21. if (ftr < fm) then 22. θm = Ci 23. fm = ftr 24. end if /* Dynamic adjustment mechanism for the fraction probability */ 25. Calculate the dynamic adjustment fraction probability (Pa) using Equation (33) /* End of dynamic adjustment mechanism for the fraction probability */ 26. Drop several worst nests via probability (Pa) and build new ones 27. Keep the best solutions 28. Rank and seek out the current global best nest Gbest 29. end for 30. Postprocess results and visualization |
4.2. Procedure of the Proposed ImCSA-based PV Models Parameter Estimation
- Read the N measured I-V data values of Vt and It and set associated parameters of the proposed ImCSA such as the host nests size n, the dynamic adjustment fraction probability Pa amount within the domain of [Pa,min Pa,max], the number of variables to be optimized d, and Itmax.
- Initialize n host nests N0 considering the variables to be optimized (the unknown parameters of solar cell models, where the parameters solution vector θ = [Iph, Isd, a, Rs, Rsh] is for the SDM, θ = [Iph, Isd1, Isd2, a1, a2, Rs, Rsh] is for the DDM, and θ = [Iphm, Isdm, am, Rsm, Rshm] is for the PMM, respectively). The solution vector θ is randomly generated within the specified range which is widely used in the literature [4,25,31,32,34].
- Create quasi-opposite of initial host nests (QON0) using Equation (31).
- Evaluate the OF for the initial host nests (N0) and quasi-opposite of initial host nests (QON0) according to the OF(θ) in Equation (14).
- Select n (host nests size) fittest nests from the initial host nests (N0) and quasi-opposite of initial host nests (QON0) as initial host nests (N0).
- Evaluate the OF values for n host nests N0, select the best value of each nest θbesti and the global best nest Gbest which is corresponding to the best OF(θ), memorize objective values and the best objective value.
- Find the best objective value Bestf(It) and the worst objective value Wortf(It) in the current iteration number It.
- Randomly generate a new solution using Equations (23) and (32)
- Compute the OF values of the new solutions, decide the newly θbesti and Gbest via comparing the memorized objective values in Step 6 with newly computed ones, update θbesti and Gbest, and memorize objective values and the best objective value.
- Calculate the dynamic adjustment fraction probability (Pa) using Equation (33)
- Drop several worst nests with a dynamic control of the fraction probability or discovery rate, Pa and build new solution. Due to this action, the new solution can be calculated using Equations (25)–(27).
- Compute the OF values of the new solutions, decide the newly θbesti and Gbest via comparing the computed OF(θ) in Equation (14) of these new solutions with memorized objective values in Step 9, update θbesti and Gbest, memorize objective values and the best objective value.
- If the predefined maximum number of iterations Itmax is reached, terminate the computation and display the results (the best solution vector θ and the corresponding objective value OF (RMSE)), else go to Step 7.
5. Experimental Results and Discussion
5.1. Results on Benchmark Datasets
5.1.1. Case Study 1: Single Diode Model
5.1.2. Case Study 2: Double Diode Model
5.1.3. Case Study 3: PV Module Model
5.2. Results on Real Datasets of PV Panels
5.2.1. Case Study 1: PV Module Model with Real Dataset of a Polycrystalline Panel
5.2.2. Case Study 2: PV Module Model with Real Dataset of a Monocrystalline Panel
6. Conclusions
Author Contributions
Acknowledgments
Conflicts of Interest
References
- Askarzadeh, A.; Rezazadeh, A. Parameter identification for solar cell models using harmony search-based algorithms. Sol. Energy 2012, 86, 3241–3249. [Google Scholar] [CrossRef]
- Oliva, D.; Cuevas, E.; Pajares, G. Parameter identification of solar cells using artificial bee colony optimization. Energy 2014, 72, 93–102. [Google Scholar] [CrossRef]
- Askarzadeh, A.; Rezazadeh, A. Extraction of maximum power point in solar cells using bird mating optimizer-based parameters identification approach. Sol. Energy 2013, 90, 123–133. [Google Scholar] [CrossRef]
- Yuan, X.; He, Y.; Liu, L. Parameter extraction of solar cell models using chaotic asexual reproduction optimization. Neural Comput. Appl. 2015, 26, 1227–1239. [Google Scholar] [CrossRef]
- Jordehi, A.R. Parameter estimation of solar photovoltaic (PV) cells: A review. Renew. Sustain. Energy Rev. 2016, 61, 354–371. [Google Scholar] [CrossRef]
- Snapshot of Global Photovoltaic Markets, 5th ed. IEA-PVPS T1-31. 2017. Available online: http://www.iea-pvps.org/fileadmin/dam/public/report/statistics/IEA-PVPS_-_A_Snapshot_of_Global_PV_-_1992-2016__1_.pdf (accessed on 6 March 2018).
- Reinders, A.; van Sark, W.; Verlinden, P. Introduction. In Photovoltaic Solar Energy: From Fundamentals to Applications; Reinders, A., Verlinden, P., van Sark, W., Freundlich, A., Eds.; John Wiley & Sons, Ltd.: Chichester, UK, 2017; pp. 1–12. [Google Scholar]
- Jordehi, A.R. Time varying acceleration coefficients particle swarm optimisation (TVACPSO): A new optimisation algorithm for estimating parameters of PV cells and modules. Energy Convers. Manag. 2016, 129, 262–274. [Google Scholar] [CrossRef]
- Humada, A.M.; Hojabri, M.; Mekhilef, S.; Hamada, H.M. Solar cell parameters extraction based on single and double-diode models: A review. Renew. Sustain. Energy Rev. 2016, 56, 494–509. [Google Scholar] [CrossRef]
- Chen, X.; Yu, K.; Du, W.; Zhao, W.; Liu, G. Parameters identification of solar cell models using generalized oppositional teaching learning based optimization. Energy 2016, 99, 170–180. [Google Scholar] [CrossRef]
- Oliva, D.; Ewees, A.A.; Aziz, M.A.E.; Hassanien, A.E.; Cisneros, M.P. A chaotic improved artificial bee colony for parameter estimation of photovoltaic cells. Energies 2017, 10, 865. [Google Scholar] [CrossRef]
- Jain, A.; Kapoor, A. Exact analytical solutions of the parameters of real solar cells using Lambert W-function. Sol. Energy Mater. Sol. Cells 2004, 81, 269–277. [Google Scholar] [CrossRef]
- Lun, S.X.; Du, C.J.; Guo, T.T.; Wang, S.; Sang, J.S.; Li, J.P. A new explicit I-V model of a solar cell based on Taylor’s series expansion. Sol. Energy 2013, 94, 221–232. [Google Scholar] [CrossRef]
- Easwarakhanthan, T.; Bottin, J.; Bouhouch, I.; Boutrit, C. Nonlinear minimization algorithm for determining the solar cell parameters with microcomputers. Int. J. Sol. Energy 1986, 4, 1–12. [Google Scholar] [CrossRef]
- Chatterjee, A.; Keyhani, A.; Kapoor, D. Identification of photovoltaic source models. IEEE Trans. Energy Convers. 2011, 26, 883–889. [Google Scholar] [CrossRef]
- Shongwe, S.; Hanif, M. Gauss-Seidel iteration based parameter estimation for a single diode model of a PV module. In Proceedings of the 2015 IEEE Electrical Power and Energy Conference (EPEC), London, ON, Canada, 26–28 October 2015; pp. 278–284. [Google Scholar]
- Tossa, A.K.; Soro, Y.M.; Azoumah, Y.; Yamegueu, D. A new approach to estimate the performance and energy productivity of photovoltaic modules in real operating conditions. Sol. Energy 2014, 110, 543–560. [Google Scholar] [CrossRef]
- Laudani, A.; Riganti Fulginei, F.; Salvini, A. High performing extraction procedure for the one-diode model of a photovoltaic panel from experimental I–V curves by using reduced forms. Sol. Energy 2014, 103, 316–326. [Google Scholar] [CrossRef]
- Jervase, J.A.; Bourdoucen, H.; Al-Lawati, A. Solar cell parameter extraction using genetic algorithms. Meas. Sci. Technol. 2001, 12, 1922–1925. [Google Scholar] [CrossRef]
- Wei, H.; Cong, J.; Lingyun, X.; Deyun, S. Extracting solar cell model parameters based on chaos particle swarm alogorithm. In Proceedings of the 2011 International Conference on Electric Information and Control ngineering (ICEICE), Wuhan, China, 15–17 April 2011; pp. 398–402. [Google Scholar]
- Alhajri, M.F.; El-Naggar, K.M.; Alrashidi, M.R.; Al-Othman, A.K. Optimal extraction of solar cell parameters using pattern search. Renew. Energy 2012, 44, 238–245. [Google Scholar] [CrossRef]
- AlRashidi, M.R.; AlHajri, M.F.; El-Naggar, K.M.; Al-Othman, A.K. A new estimation approach for determining the I–V characteristics of solar cells. Sol. Energy 2011, 85, 1543–1550. [Google Scholar] [CrossRef]
- El-Naggar, K.M.; AlRashidi, M.R.; AlHajri, M.F.; Al-Othman, A.K. Simulated Annealing algorithm for photovoltaic parameters identification. Sol. Energy 2012, 86, 266–274. [Google Scholar] [CrossRef]
- Askarzadeh, A.; Rezazadeh, A. Artificial bee swarm optimization algorithm for parameters identification of solar cell models. Appl. Energy 2013, 102, 943–949. [Google Scholar] [CrossRef]
- Gong, W.; Cai, Z. Parameter extraction of solar cell models using repaired adaptive differential evolution. Sol. Energy 2013, 94, 209–220. [Google Scholar] [CrossRef]
- Yuan, X.; Xiang, Y.; He, Y. Parameter extraction of solar cell models using mutative-scale parallel chaos optimization algorithm. Sol. Energy 2014, 108, 238–251. [Google Scholar] [CrossRef]
- Niu, Q.; Zhang, L.; Li, K. A biogeography-based optimization algorithm with mutation strategies for model parameter estimation of solar and fuel cells. Energy Convers. Manag. 2014, 86, 1173–1185. [Google Scholar] [CrossRef]
- Jamadi, M.; Mehdi, F.M. Very accurate parameter estimation of single- and double-diode solar cell models using a modified artificial bee colony algorithm. Int. J. Energy Environ. Eng. 2015, 7, 13–25. [Google Scholar] [CrossRef]
- Wang, R.; Zhan, Y.; Zhou, H. Application of artificial bee colony in model parameter identification of solar cells. Energies 2015, 8, 7563–7581. [Google Scholar] [CrossRef]
- Chen, Z.; Wu, L.; Lin, P.; Wu, Y.; Cheng, S. Parameters identification of photovoltaic models using hybrid adaptive Nelder-Mead simplex algorithm based on eagle strategy. Appl. Energy 2016, 182, 47–57. [Google Scholar] [CrossRef]
- Yu, K.; Chen, X.; Wang, X.; Wang, Z. Parameters identification of photovoltaic models using self-adaptive teaching-learning-based optimization. Energy Convers. Manag. 2017, 145, 233–246. [Google Scholar] [CrossRef]
- Yu, K.; Liang, J.J.; Qu, B.Y.; Chen, X.; Wang, H. Parameters identification of photovoltaic models using an improved JAYA optimization algorithm. Energy Convers. Manag. 2017, 150, 742–753. [Google Scholar] [CrossRef]
- Lin, P.; Cheng, S.; Yeh, W.; Chen, Z.; Wu, L. Parameters extraction of solar cell models using a modified simplified swarm optimization algorithm. Sol. Energy 2017, 144, 594–603. [Google Scholar] [CrossRef]
- Chen, X.; Xu, B.; Mei, C.; Ding, Y.; Li, K. Teaching–learning–based artificial bee colony for solar photovoltaic parameter estimation. Appl. Energy 2018, 212, 1578–1588. [Google Scholar] [CrossRef]
- Wolpert, D.H.; Macready, W.G. No free lunch theorems for optimization. IEEE Trans. Evol. Comput. 1997, 1, 67–82. [Google Scholar] [CrossRef]
- Yang, X.S.; Deb, S. Cuckoo search via Lévy flights. In Proceedings of the 2009 World Congress on Nature & Biologically Inspired Computing, 2009 (NaBIC 2009), Coimbatore, India, 9–11 December 2009; pp. 210–214. [Google Scholar]
- Ljouad, T.; Amine, A.; Rziza, M. A hybrid mobile object tracker based on the modified cuckoo search algorithm and the kalman filter. Pattern Recogn. 2014, 47, 3597–3613. [Google Scholar] [CrossRef]
- Fister, I., Jr.; Fister, D.; Fister, I. A comprehensive review of cuckoo search: Variants and hybrids. Int. J. Math. Model. Numer. Optim. 2013, 4, 387–409. [Google Scholar]
- Kang, T.; Yao, J.; Duong, T.L.; Yang, S.; Zhu, X. A hybrid approach for power system security enhancement via optimal installation of flexible AC transmission system (FACTS) devices. Energies 2017, 10, 1305. [Google Scholar] [CrossRef]
- Tizhoosh, H.R. Opposition-based learning: A new scheme for machine intelligence. In Proceedings of the 2005 International Conference on Computational Intelligence for Modelling, Control and Automation, and International Conference on Intelligent Agents, Web Technologies and Internet Commerce (CIMCA-IAWTIC’05), Vienna, Austria, 28–30 November 2005; pp. 695–701. [Google Scholar]
- Rahnamayan, S.; Tizhoosh, H.R.; Salama, M.M.A. Opposition-based differential evolution. IEEE Trans. Evol. Comput. 2008, 12, 64–79. [Google Scholar] [CrossRef]
- Xu, Q.; Wang, L.; Wang, N.; Hei, X.; Zhao, L. A review of opposition-based learning from 2005 to 2012. Eng. Appl. Artif. Intell. 2014, 29, 1–12. [Google Scholar] [CrossRef]
- Rahnamayan, S.; Tizhoosh, H.R.; Salama, M.M.A. Quasi-oppositional differential evolution. In Proceedings of the 2007 IEEE Congress on Evolutionary Computation (CEC 2007), Singapore, 25–28 September 2007; pp. 2229–2236. [Google Scholar]
- Ergezer, M.; Simon, D. Mathematical and experimental analyses of oppositional algorithms. IEEE Trans. Cybern. 2014, 44, 2178–2189. [Google Scholar] [CrossRef] [PubMed]
- Tong, N.T.; Pora, W. A parameter extraction technique exploiting intrinsic properties of solar cells. Appl. Energy 2016, 176, 104–115. [Google Scholar] [CrossRef]
- Pannebakker, B.B.; de Waal, A.C.; van Sark, W.G.J.H.M. Photovoltaics in the shade: One bypass diode per solar cell revisited. Prog. Photovolt. Res. Appl. 2017, 25, 836–849. [Google Scholar] [CrossRef]













| Algorithm | OF (RMSE) | ||||
|---|---|---|---|---|---|
| Best | Mean | Median | Worst | Std | |
| ImCSA | 9.860219 × 10−4 | 9.860219 × 10−4 | 9.860219 × 10−4 | 9.860219 × 10−4 | 2.987589 × 10−12 |
| CSA | 9.860227 × 10−4 | 9.894848 × 10−4 | 9.865435 × 10−4 | 1.031010 × 10−3 | 8.570571 × 10−6 |
| Algorithm | Iph (A) | Isd (μA) | a | Rs (Ω) | Rsh (Ω) | OF (RMSE) |
|---|---|---|---|---|---|---|
| ImCSA | 0.760776 | 0.323021 | 1.481718 | 0.036377 | 53.718524 | 9.8602 × 10−4 |
| CSA | 0.760776 | 0.322821 | 1.481656 | 0.036380 | 53.696699 | 9.86023 × 10−4 |
| TLABC [34] | 0.76078 | 0.32302 | 1.48118 | 0.03638 | 53.71636 | 9.8602 × 10−4 |
| CIABC [11] | 0.760776 | 0.32302 | 1.48102 | 0.036377 | 53.71867 | 9.8602 × 10−4 |
| MSSO [33] | 0.760777 | 0.323564 | 1.481244 | 0.036370 | 53.742465 | 9.8607 × 10−4 |
| IJAYA [32] | 0.7608 | 0.3228 | 1.4811 | 0.0364 | 53.7595 | 9.8603 × 10−4 |
| SATLBO [31] | 0.7608 | 0.32315 | 1.48123 | 0.03638 | 53.7256 | 9.8602 × 10−4 |
| GOTLBO [10] | 0.760780 | 0.331552 | 1.483820 | 0.036265 | 54.115426 | 9.87442 × 10−4 |
| EHA-NMS [30] | 0.760776 | 0.323021 | 1.481184 | 0.036377 | 53.718521 | 9.8602 × 10−4 |
| CARO [4] | 0.76079 | 0.31724 | 1.48168 | 0.03644 | 53.0893 | 9.8665 × 10−4 |
| IABC [29] | 0.7599 | 0.33243 | 1.4842 | 0.0363 | 54.4610 | 10.000 × 10−4 |
| MABC [28] | 0.760779 | 0.321323 | 1.481385 | 0.036389 | 53.39999 | 9.861 × 10−4 |
| ABC [2] | 0.7608 | 0.3251 | 1.4817 | 0.0364 | 53.6433 | 9.862 × 10−4 |
| BBO-M [27] | 0.76078 | 0.31874 | 1.47984 | 0.03642 | 53.36227 | 9.8634 × 10−4 |
| Rcr-IJADE [25] | 0.760776 | 0.323021 | 1.481184 | 0.036377 | 53.718526 | 9.8602 × 10−4 |
| ABSO [24] | 0.76080 | 0.30623 | 1.47583 | 0.03659 | 52.2903 | 9.9124 × 10−4 |
| HS [1] | 0.76070 | 0.30495 | 1.47538 | 0.03663 | 53.5946 | 9.9510 × 10−4 |
| PS [21] | 0.7617 | 0.9980 | 1.6000 | 0.0313 | 64.1026 | 14.94 × 10−3 |
| CPSO [20] | 0.7607 | 0.4000 | 1.5033 | 0.0354 | 59.012 | 1.39 × 10−3 |
| GA [1] | 0.7619 | 0.8087 | 1.5751 | 0.0299 | 42.3729 | 19.08 × 10−3 |
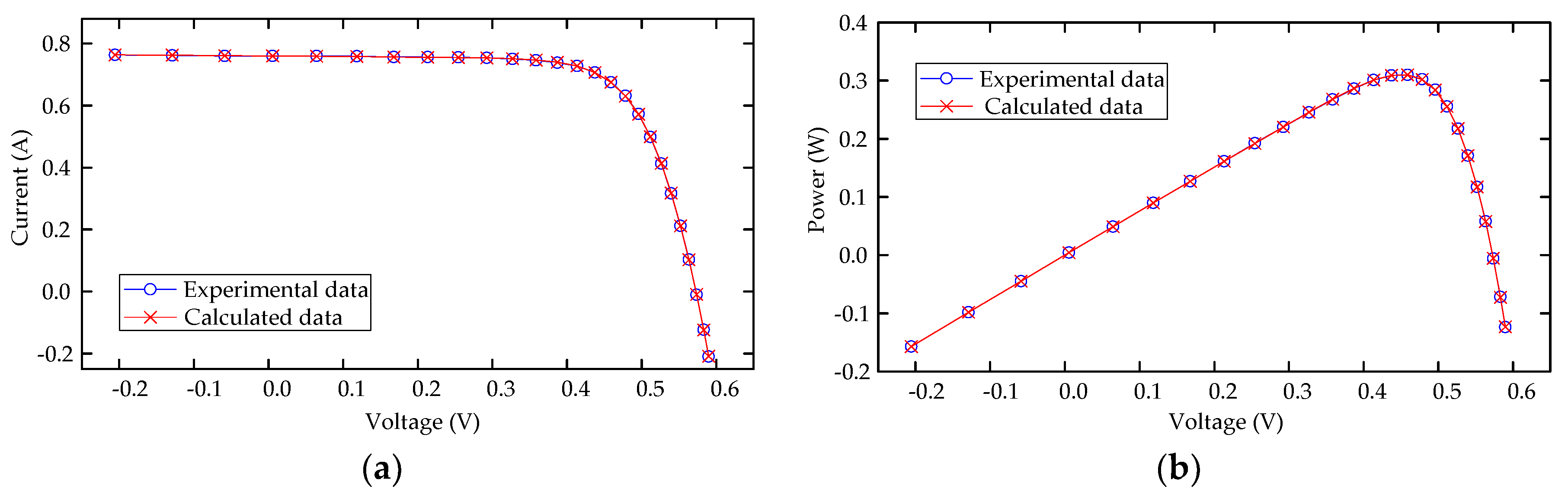
| Item | Experimental Data | Calculated Current Data | Calculated Power Data | |||
|---|---|---|---|---|---|---|
| V (V) | I (A) | Ical (A) | IAE | Pcal (W) | IAE | |
| 1 | −0.2057 | 0.7640 | 0.76408764 | 0.00008764 | −0.15717283 | 0.00001803 |
| 2 | −0.1291 | 0.7620 | 0.76266264 | 0.00066264 | −0.09845975 | 0.00008555 |
| 3 | −0.0588 | 0.7605 | 0.76135473 | 0.00085473 | −0.04476766 | 0.00005026 |
| 4 | 0.0057 | 0.7605 | 0.76015423 | 0.00034577 | 0.00433288 | 0.00000197 |
| 5 | 0.0646 | 0.7600 | 0.75905585 | 0.00094415 | 0.04903501 | 0.00006099 |
| 6 | 0.1185 | 0.7590 | 0.75804301 | 0.00095699 | 0.08982810 | 0.00011340 |
| 7 | 0.1678 | 0.7570 | 0.75709159 | 0.00009159 | 0.12703997 | 0.00001537 |
| 8 | 0.2132 | 0.7570 | 0.75614207 | 0.00085793 | 0.16120949 | 0.00018291 |
| 9 | 0.2545 | 0.7555 | 0.75508732 | 0.00041268 | 0.19216972 | 0.00010503 |
| 10 | 0.2924 | 0.7540 | 0.75366447 | 0.00033553 | 0.22037149 | 0.00009811 |
| 11 | 0.3269 | 0.7505 | 0.75138806 | 0.00088806 | 0.24562876 | 0.00029031 |
| 12 | 0.3585 | 0.7465 | 0.74734834 | 0.00084834 | 0.26792438 | 0.00030413 |
| 13 | 0.3873 | 0.7385 | 0.74009688 | 0.00159688 | 0.28663952 | 0.00061847 |
| 14 | 0.4137 | 0.7280 | 0.72739678 | 0.00060322 | 0.30092405 | 0.00024955 |
| 15 | 0.4373 | 0.7065 | 0.70695327 | 0.00045327 | 0.30915067 | 0.00019822 |
| 16 | 0.4590 | 0.6755 | 0.67529489 | 0.00020511 | 0.30996036 | 0.00009414 |
| 17 | 0.4784 | 0.6320 | 0.63088431 | 0.00111569 | 0.30181505 | 0.00053375 |
| 18 | 0.4960 | 0.5730 | 0.57208207 | 0.00091793 | 0.28375271 | 0.00045529 |
| 19 | 0.5119 | 0.4990 | 0.49949164 | 0.00049164 | 0.25568977 | 0.00025167 |
| 20 | 0.5265 | 0.4130 | 0.41349356 | 0.00049356 | 0.21770436 | 0.00025986 |
| 21 | 0.5398 | 0.3165 | 0.31721950 | 0.00071950 | 0.17123509 | 0.00038839 |
| 22 | 0.5521 | 0.2120 | 0.21210317 | 0.00010317 | 0.11710216 | 0.00005696 |
| 23 | 0.5633 | 0.1035 | 0.10272135 | 0.00077865 | 0.05786294 | 0.00043861 |
| 24 | 0.5736 | −0.0100 | −0.00924885 | 0.00075115 | −0.00530514 | 0.00043086 |
| 25 | 0.5833 | −0.1230 | −0.12438136 | 0.00138136 | −0.07255165 | 0.00080575 |
| 26 | 0.5900 | −0.2100 | −0.20919308 | 0.00080692 | −0.12342392 | 0.00047608 |
| Sum of IAE | 0.01770412 | 0.00658366 | ||||
| Algorithm | OF (RMSE) | ||||
|---|---|---|---|---|---|
| Best | Mean | Median | Worst | Std | |
| ImCSA | 9.8249 × 10−4 | 9.8258 × 10−4 | 9.8249 × 10−4 | 9.8396 × 10−4 | 2.8197 × 10−7 |
| CSA | 9.8292 × 10−4 | 9.8626 × 10−4 | 9.8535 × 10−4 | 1.0056 × 10−3 | 4.1755 × 10−6 |
| Algorithm | Iph (A) | Isd1 (μA) | Isd2 (μA) | a1 | a2 | Rs (Ω) | Rsh (Ω) | OF (RMSE) |
|---|---|---|---|---|---|---|---|---|
| ImCSA | 0.760781 | 0.225966 | 0.747309 | 1.451543 | 2.000000 | 0.036740 | 55.482685 | 9.8249 × 10−4 |
| CSA | 0.760772 | 0.503010 | 0.255099 | 1.999954 | 1.461682 | 0.036620 | 54.890635 | 9.8292 × 10−4 |
| TLABC [34] | 0.76081 | 0.42394 | 0.24011 | 1.9075 | 1.45671 | 0.03667 | 54.66797 | 9.8414 × 10−4 |
| CIABC [11] | 0.760781 | 0.227828 | 0.647650 | 1.451623 | 1.988343 | 0.036728 | 55.378261 | 9.8262 × 10−4 |
| MSSO [33] | 0.760748 | 0.234925 | 0.671593 | 1.454255 | 1.995305 | 0.036688 | 55.714662 | 9.8281 × 10−4 |
| IJAYA [32] | 0.7601 | 0.0050445 | 0.75094 | 1.2186 | 1.6247 | 0.0376 | 77.8519 | 9.8293 × 10−4 |
| SATLBO [31] | 0.76078 | 0.25093 | 0.545418 | 1.45982 | 1.99941 | 0.03663 | 55.1170 | 9.82804 × 10−4 |
| GOTLBO [10] | 0.760752 | 0.800195 | 0.220462 | 1.999973 | 1.448974 | 0.036783 | 56.075304 | 9.83177 × 10−4 |
| EHA-NMS [30] | 0.760781 | 0.225974 | 0.749346 | 1.451017 | 2.000000 | 0.036740 | 55.485441 | 9.8248 × 10−4 |
| CARO [4] | 0.76075 | 0.29315 | 0.09098 | 1.47338 | 1.77321 | 0.03641 | 54.3967 | 9.8260 × 10−4 |
| IABC [29] | 0.7609 | 0.26900 | 0.28198 | 1.4670 | 1.8722 | 0.0364 | 55.2307 | 10.000 × 10−4 |
| MABC [28] | 0.76078 | 0.63069 | 0.241029 | 2.000005 | 1.45685 | 0.036712 | 54.75500 | 9.8276 × 10−4 |
| ABC [2] | 0.7608 | 0.0407 | 0.2874 | 1.4495 | 1.4885 | 0.0364 | 53.7804 | 9.861 × 10−4 |
| BBO-M [27] | 0.76083 | 0.59115 | 0.24523 | 2.00000 | 1.45798 | 0.03664 | 55.0494 | 9.8272 × 10−4 |
| Rcr-IJADE [25] | 0.760781 | 0.225974 | 0.749347 | 1.451017 | 2.000000 | 0.036740 | 55.485443 | 9.8248 × 10−4 |
| ABSO [24] | 0.76078 | 0.26713 | 0.38191 | 1.46512 | 1.98152 | 0.03657 | 54.6219 | 9.8344 × 10−4 |
| HS [1] | 0.76176 | 0.12545 | 0.25470 | 1.49439 | 1.49989 | 0.03545 | 46.82696 | 1.26 × 10−3 |
| PS [21] | 0.7602 | 0.9889 | 0.0001 | 1.6000 | 1.1920 | 0.0320 | 81.3008 | 15.18 × 10−3 |
| Item | Experimental Data | Calculated Current Data | Calculated Power Data | |||
|---|---|---|---|---|---|---|
| V (V) | I (A) | Ical (A) | IAE | Pcal (W) | IAE | |
| 1 | −0.2057 | 0.7640 | 0.76398357 | 0.00001643 | −0.15715142 | 0.00000338 |
| 2 | −0.1291 | 0.7620 | 0.76260378 | 0.00060378 | −0.09845215 | 0.00007795 |
| 3 | −0.0588 | 0.7605 | 0.76133716 | 0.00083716 | −0.04476663 | 0.00004923 |
| 4 | 0.0057 | 0.7605 | 0.76017397 | 0.00032603 | 0.00433299 | 0.00000186 |
| 5 | 0.0646 | 0.7600 | 0.75910819 | 0.00089181 | 0.04903839 | 0.00005761 |
| 6 | 0.1185 | 0.7590 | 0.75812190 | 0.00087810 | 0.08983745 | 0.00010405 |
| 7 | 0.1678 | 0.7570 | 0.75718834 | 0.00018834 | 0.12705620 | 0.00003160 |
| 8 | 0.2132 | 0.7570 | 0.75624409 | 0.00075591 | 0.16123124 | 0.00016116 |
| 9 | 0.2545 | 0.7555 | 0.75517755 | 0.00032245 | 0.19219269 | 0.00008206 |
| 10 | 0.2924 | 0.7540 | 0.75372279 | 0.00027721 | 0.22038854 | 0.00008106 |
| 11 | 0.3269 | 0.7505 | 0.75139612 | 0.00089612 | 0.24563139 | 0.00029294 |
| 12 | 0.3585 | 0.7465 | 0.74729625 | 0.00079625 | 0.26790571 | 0.00028546 |
| 13 | 0.3873 | 0.7385 | 0.73999153 | 0.00149153 | 0.28659872 | 0.00057767 |
| 14 | 0.4137 | 0.7280 | 0.72726505 | 0.00073495 | 0.30086955 | 0.00030405 |
| 15 | 0.4373 | 0.7065 | 0.70683595 | 0.00033595 | 0.30909936 | 0.00014691 |
| 16 | 0.4590 | 0.6755 | 0.67523018 | 0.00026982 | 0.30993065 | 0.00012385 |
| 17 | 0.4784 | 0.6320 | 0.63088762 | 0.00111238 | 0.30181664 | 0.00053216 |
| 18 | 0.4960 | 0.5730 | 0.57214020 | 0.00085980 | 0.28378154 | 0.00042646 |
| 19 | 0.5119 | 0.4990 | 0.49957049 | 0.00057049 | 0.25573014 | 0.00029204 |
| 20 | 0.5265 | 0.4130 | 0.41355625 | 0.00055625 | 0.21773737 | 0.00029287 |
| 21 | 0.5398 | 0.3165 | 0.31724205 | 0.00074205 | 0.17124726 | 0.00040056 |
| 22 | 0.5521 | 0.2120 | 0.21208151 | 0.00008151 | 0.11709020 | 0.00004500 |
| 23 | 0.5633 | 0.1035 | 0.10267162 | 0.00082838 | 0.05783492 | 0.00046663 |
| 24 | 0.5736 | −0.0100 | −0.00929718 | 0.00070282 | −0.00533286 | 0.00040314 |
| 25 | 0.5833 | −0.1230 | −0.12439038 | 0.00139038 | −0.07255691 | 0.00081101 |
| 26 | 0.5900 | −0.2100 | −0.20914698 | 0.00085302 | −0.12339672 | 0.00050328 |
| Sum of IAE | 0.01731892 | 0.00655397 | ||||
| Algorithm | OF (RMSE) | ||||
|---|---|---|---|---|---|
| Best | Mean | Median | Worst | Std | |
| ImCSA | 2.425075 × 10−3 | 2.425075 × 10−3 | 2.425075 × 10−3 | 2.425091 × 10−3 | 2.915426 × 10−3 |
| CSA | 2.425082 × 10−3 | 2.430857 × 10−3 | 2.426771 × 10−3 | 2.499628 × 10−3 | 1.418512 × 10−5 |
| Algorithm | Iphm (A) | Isdm (μA) | am | Rsm (Ω) | Rshm (Ω) | OF (RMSE) |
|---|---|---|---|---|---|---|
| ImCSA | 1.030514 | 3.482263 | 48.660397 | 1.201271 | 981.982233 | 2.425 × 10−3 |
| CSA | 1.030496 | 3.485411 | 48.663834 | 1.201201 | 984.320163 | 2.42508 × 10−3 |
| TLABC [34] | 1.03056 | 3.4715 | 48.63131 | 1.20165 | 972.93567 | 2.425 × 10−3 |
| IJAYA [32] | 1.0305 | 3.4703 | 48.6298 | 1.2016 | 977.3752 | 2.425 × 10−3 |
| SATLBO [31] | 1.030511 | 3.48271 | 48.6433077 | 1.201263 | 982.40376 | 2.425 × 10−3 |
| EHA-NMS [30] | 1.030514 | 3.482263 | 48.642835 | 1.201271 | 981.982256 | 2.425 × 10−3 |
| CARO [4] | 1.03185 | 3.28401 | 48.4.363 | 1.20556 | 841.3213 | 2.427 × 10−3 |
| MPCOA [26] | 1.03188 | 3.37370 | 48.50646 | 1.20295 | 849.6927 | 2.425 × 10−3 |
| Rcr-IJADE [25] | 1.030514 | 3.482263 | 48.642835 | 1.201271 | 981.982240 | 2.425 × 10−3 |
| SA [23] | 1.0331 | 3.6642 | 48.8211 | 1.1989 | 833.3333 | 2.7 × 10−3 |
| PS [21] | 1.0313 | 3.1756 | 48.2889 | 1.2053 | 714.2857 | 1.18 × 10−2 |
| CPSO [20] | 1.0286 | 8.3010 | 52.2430 | 1.0755 | 1850.1000 | 3.5 × 10−3 |
| Item | Experimental Data | Calculated Current Data | Calculated Power Data | |||
|---|---|---|---|---|---|---|
| V (V) | I (A) | Ical (A) | IAE | Pcal (W) | IAE | |
| 1 | 0.1248 | 1.0315 | 1.02912209 | 0.00237791 | 0.12843444 | 0.00029676 |
| 2 | 1.8093 | 1.0300 | 1.02738435 | 0.00261565 | 1.85884651 | 0.00473249 |
| 3 | 3.3511 | 1.0260 | 1.02574214 | 0.00025786 | 3.43736448 | 0.00086412 |
| 4 | 4.7622 | 1.0220 | 1.02410399 | 0.00210399 | 4.87698803 | 0.01001963 |
| 5 | 6.0538 | 1.0180 | 1.02228341 | 0.00428341 | 6.18869931 | 0.02593091 |
| 6 | 7.2364 | 1.0155 | 1.01991740 | 0.00441740 | 7.38053027 | 0.03196607 |
| 7 | 8.3189 | 1.0140 | 1.01635081 | 0.00235081 | 8.45492077 | 0.01955617 |
| 8 | 9.3097 | 1.0100 | 1.01049143 | 0.00049143 | 9.40737206 | 0.00457506 |
| 9 | 10.2163 | 1.0035 | 1.00067876 | 0.00282124 | 10.22323441 | 0.02882264 |
| 10 | 11.0449 | 0.9880 | 0.98465335 | 0.00334665 | 10.87539777 | 0.03696343 |
| 11 | 11.8018 | 0.9630 | 0.95969741 | 0.00330259 | 11.32615687 | 0.03897653 |
| 12 | 12.4929 | 0.9255 | 0.92304875 | 0.00245125 | 11.53155579 | 0.03062316 |
| 13 | 13.1231 | 0.8725 | 0.87258816 | 0.00008816 | 11.45106168 | 0.00115693 |
| 14 | 13.6983 | 0.8075 | 0.80731012 | 0.00018988 | 11.05877623 | 0.00260102 |
| 15 | 14.2221 | 0.7265 | 0.72795782 | 0.00145782 | 10.35308888 | 0.02073323 |
| 16 | 14.6995 | 0.6345 | 0.63646618 | 0.00196618 | 9.35573459 | 0.02890184 |
| 17 | 15.1346 | 0.5345 | 0.53569607 | 0.00119607 | 8.10754576 | 0.01810206 |
| 18 | 15.5311 | 0.4275 | 0.42881615 | 0.00131615 | 6.65998648 | 0.02044123 |
| 19 | 15.8929 | 0.3185 | 0.31866866 | 0.00016866 | 5.06456910 | 0.00268045 |
| 20 | 16.2229 | 0.2085 | 0.20785711 | 0.00064289 | 3.37204517 | 0.01042948 |
| 21 | 16.5241 | 0.1010 | 0.09835421 | 0.00264579 | 1.62521481 | 0.04371929 |
| 22 | 16.7987 | −0.0080 | −0.00816934 | 0.00016934 | −0.13723426 | 0.00284466 |
| 23 | 17.0499 | −0.1110 | −0.11096846 | 0.00003154 | −1.89200116 | 0.00053774 |
| 24 | 17.2793 | −0.2090 | −0.20911762 | 0.00011762 | −3.61340604 | 0.00203234 |
| 25 | 17.4885 | −0.3030 | −0.30202238 | 0.00097762 | −5.28191833 | 0.01709717 |
| Sum of IAE | 0.04178790 | 0.40460442 | ||||
| Algorithm | OF (RMSE) | ||||
|---|---|---|---|---|---|
| Best | Mean | Median | Worst | Std | |
| ImCSA | 1.5865799 × 10−2 | 1.5865799 × 10−2 | 1.5865799 × 10−2 | 1.5865799 × 10−2 | 4.6901709 × 10−15 |
| CSA | 1.5865806 × 10−2 | 1.5869596 × 10−2 | 1.5866453 × 10−2 | 1.5892796 × 10−2 | 6.2673061 × 10−6 |
| Algorithm | Iph (A) | Isd (μA) | a | Rs (mΩ) | Rsh (Ω) | OF (RMSE) |
|---|---|---|---|---|---|---|
| ImCSA | 7.482778 | 1.00 | 1.197729 | 5.386970 | 10.00 | 0.015865799 |
| CSA | 7.482777 | 1.00 | 1.197733 | 5.387310 | 10.00 | 0.015865806 |
| ABC [11] | 7.476291 | 1.2 | 1.206992 | 4.91 | 9.70 | 0.019174 |
| CIABC [11] | 7.484126 | 1.29 | 1.214854 | 5.1 | 9.89 | 0.016286553 |
| Reference [45] | 7.4838 | 1.2 | 1.2072 | 4.9 | 9.745 | 0.017879 |
| Item | Experimental Data | Calculated Current Data | Calculated Power Data | |||
|---|---|---|---|---|---|---|
| V (V) | I (A) | Ical (A) | IAE | Pcal (W) | IAE | |
| 1 | 17.65 | 3.83 | 3.84520015 | 0.01520015 | 67.86778268 | 0.26828268 |
| 2 | 17.41 | 4.29 | 4.27711948 | 0.01288052 | 74.46465022 | 0.22424978 |
| 3 | 17.25 | 4.56 | 4.54504650 | 0.01495350 | 78.40205219 | 0.25794781 |
| 4 | 17.10 | 4.79 | 4.78171108 | 0.00828892 | 81.76725939 | 0.14174061 |
| 5 | 16.90 | 5.07 | 5.07559408 | 0.00559408 | 85.77753992 | 0.09453992 |
| 6 | 16.76 | 5.27 | 5.26678078 | 0.00321922 | 88.27124595 | 0.05395405 |
| 7 | 16.34 | 5.75 | 5.77098920 | 0.02098920 | 94.29796346 | 0.34296346 |
| 8 | 16.08 | 6.00 | 6.03372193 | 0.03372193 | 97.02224861 | 0.54224861 |
| 9 | 15.71 | 6.36 | 6.34833199 | 0.01166801 | 99.73229550 | 0.18330450 |
| 10 | 15.39 | 6.58 | 6.57014416 | 0.00985584 | 101.11451856 | 0.15168144 |
| 11 | 14.93 | 6.83 | 6.81958450 | 0.01041550 | 101.81639658 | 0.15550342 |
| 12 | 14.58 | 6.97 | 6.96396943 | 0.00603057 | 101.53467435 | 0.08792565 |
| 13 | 14.17 | 7.10 | 7.09353516 | 0.00646484 | 100.51539327 | 0.09160673 |
| 14 | 13.59 | 7.23 | 7.22168365 | 0.00831635 | 98.14268079 | 0.11301921 |
| 15 | 13.16 | 7.29 | 7.28648376 | 0.00351624 | 95.89012630 | 0.04627370 |
| 16 | 12.74 | 7.34 | 7.33223712 | 0.00776288 | 93.41270088 | 0.09889912 |
| 17 | 12.36 | 7.37 | 7.36266685 | 0.00733315 | 91.00256226 | 0.09063774 |
| 18 | 11.81 | 7.38 | 7.39363210 | 0.01363210 | 87.31879509 | 0.16099509 |
| 19 | 11.17 | 7.41 | 7.41667187 | 0.00667187 | 82.84422481 | 0.07452481 |
| 20 | 10.32 | 7.44 | 7.43458678 | 0.00541322 | 76.72493553 | 0.05586447 |
| 21 | 9.74 | 7.42 | 7.44205922 | 0.02205922 | 72.48565679 | 0.21485679 |
| 22 | 9.06 | 7.45 | 7.44806806 | 0.00193194 | 67.47949662 | 0.01750338 |
| Sum of IAE | 0.23591924 | 3.46852297 | ||||
| Algorithm | OF (RMSE) | ||||
|---|---|---|---|---|---|
| Best | Mean | Median | Worst | Std | |
| ImCSA | 1.79436329 × 10−3 | 1.79436329 × 10−3 | 1.79436329 × 10−3 | 1.79436329 × 10−3 | 2.11238634 × 10−14 |
| CSA | 1.79436368 × 10−3 | 1.79562418 × 10−3 | 1.79438763 × 10−3 | 1.80652265 × 10−3 | 3.06943955 × 10−6 |
| Algorithm | Iph (A) | Isd (μA) | a | Rs (mΩ) | Rsh (Ω) | OF (RMSE) |
|---|---|---|---|---|---|---|
| ImCSA | 1.663971 | 2.0000 | 1.533499 | 2.913631 | 15.840511 | 0.00179436329 |
| CSA | 1.663969 | 2.0000 | 1.533497 | 2.912981 | 15.840727 | 0.00179436368 |
| ABC [11] | 1.50 | 1.6644 | 1.4866 | 4.99 | 15.206 | 0.0018379 |
| CIABC [11] | 1.6642 | 1.6760 | 1.4976 | 4.40 | 15.617 | 0.001819 |
| Reference [45] | 1.6635 | 1.4142 | 1.4986 | 4.879 | 15.419 | 0.002181 |
| Item | Experimental Data | Calculated Current Data | Calculated Power Data | |||
|---|---|---|---|---|---|---|
| V (V) | I (A) | Ical (A) | IAE | Pcal (W) | IAE | |
| 1 | 0.118 | 1.663 | 1.66345723 | 0.00045723 | 0.19628795 | 0.00005395 |
| 2 | 2.237 | 1.661 | 1.65973491 | 0.00126509 | 3.71282700 | 0.00283000 |
| 3 | 5.434 | 1.653 | 1.65406328 | 0.00106328 | 8.98817985 | 0.00577785 |
| 4 | 7.260 | 1.650 | 1.65068943 | 0.00068943 | 11.98400525 | 0.00500525 |
| 5 | 9.680 | 1.645 | 1.64550162 | 0.00050162 | 15.92845565 | 0.00485565 |
| 6 | 11.590 | 1.640 | 1.63922838 | 0.00077162 | 18.99865687 | 0.00894313 |
| 7 | 12.600 | 1.636 | 1.63364948 | 0.00235052 | 20.58398349 | 0.02961651 |
| 8 | 13.370 | 1.629 | 1.62716998 | 0.00183002 | 21.75526261 | 0.02446739 |
| 9 | 14.090 | 1.619 | 1.61814834 | 0.00085166 | 22.79971010 | 0.01199990 |
| 10 | 14.880 | 1.597 | 1.60286544 | 0.00586544 | 23.85063775 | 0.08727775 |
| 11 | 15.590 | 1.581 | 1.58139412 | 0.00039412 | 24.65393434 | 0.00614434 |
| 12 | 16.400 | 1.542 | 1.54224568 | 0.00024568 | 25.29282922 | 0.00402922 |
| 13 | 16.710 | 1.524 | 1.52122273 | 0.00277727 | 25.41963176 | 0.04640824 |
| 14 | 16.980 | 1.500 | 1.49929099 | 0.00070901 | 25.45796106 | 0.01203894 |
| 15 | 17.130 | 1.485 | 1.48541163 | 0.00041163 | 25.44510128 | 0.00705128 |
| 16 | 17.320 | 1.465 | 1.46585878 | 0.00085878 | 25.38867413 | 0.01487413 |
| 17 | 17.910 | 1.388 | 1.38804371 | 0.00004371 | 24.85986286 | 0.00078286 |
| 18 | 19.080 | 1.118 | 1.11802403 | 0.00002403 | 21.33189856 | 0.00045856 |
| Sum of IAE | 0.02111015 | 0.27261495 | ||||
| Comparison | Case Study | t-Value | h | CI | p-Value |
|---|---|---|---|---|---|
| ImCSA versus CSA | Benchmark Datasets | ||||
| Case Study 1 | −2.2130 | 1 | [−6.5951 × 10−6, −3.3068 × 10−7] | 0.03084 | |
| Case Study 2 | −4.8129 | 1 | [−5.2069 × 10−6, −2.1479 × 10−6] | 0.000011 | |
| Case Study 3 | −2.2325 | 1 | [−1.0966 × 10−5, −5.9756 × 10−7] | 0.02946 | |
| Real Datasets of PV Panels | |||||
| Case Study 1 | −3.3177 | 1 | [−6.0867 × 10−6, −1.5058 × 10−6] | 0.00157 | |
| Case Study 2 | −2.2500 | 1 | [−2.3827 × 10−6, −1.3913 × 10−7] | 0.02826 |
| Comparison | Case Study | z-Value | h | p-Value |
|---|---|---|---|---|
| ImCSA versus CSA | Benchmark Datasets | |||
| Case Study 1 | −6.645692 | 1 | 3.017967 × 10−11 | |
| Case Study 2 | −6.527324 | 1 | 6.695519 × 10−11 | |
| Case Study 3 | −6.616030 | 1 | 3.689726 × 10−11 | |
| Real Datasets of PV Panels | ||||
| Case Study 1 | −6.646061 | 1 | 3.010407 × 10−11 | |
| Case Study 2 | −6.645692 | 1 | 3.017967 × 10−11 |
© 2018 by the authors. Licensee MDPI, Basel, Switzerland. This article is an open access article distributed under the terms and conditions of the Creative Commons Attribution (CC BY) license (http://creativecommons.org/licenses/by/4.0/).
Share and Cite
Kang, T.; Yao, J.; Jin, M.; Yang, S.; Duong, T. A Novel Improved Cuckoo Search Algorithm for Parameter Estimation of Photovoltaic (PV) Models. Energies 2018, 11, 1060. https://doi.org/10.3390/en11051060
Kang T, Yao J, Jin M, Yang S, Duong T. A Novel Improved Cuckoo Search Algorithm for Parameter Estimation of Photovoltaic (PV) Models. Energies. 2018; 11(5):1060. https://doi.org/10.3390/en11051060
Chicago/Turabian StyleKang, Tong, Jiangang Yao, Min Jin, Shengjie Yang, and ThanhLong Duong. 2018. "A Novel Improved Cuckoo Search Algorithm for Parameter Estimation of Photovoltaic (PV) Models" Energies 11, no. 5: 1060. https://doi.org/10.3390/en11051060
APA StyleKang, T., Yao, J., Jin, M., Yang, S., & Duong, T. (2018). A Novel Improved Cuckoo Search Algorithm for Parameter Estimation of Photovoltaic (PV) Models. Energies, 11(5), 1060. https://doi.org/10.3390/en11051060

