Real-Time Implementation of High Performance Control Scheme for Grid-Tied PV System for Power Quality Enhancement Based on MPPC-SVM Optimized by PSO Algorithm
Abstract
:1. Introduction
2. General Configuration of the System
3. Control Structure
3.1. General Description of MPPC-SVM Approach
3.2. Computational Analysis of the Model
3.3. Control of DC Bus Voltage
4. Photovoltaic System
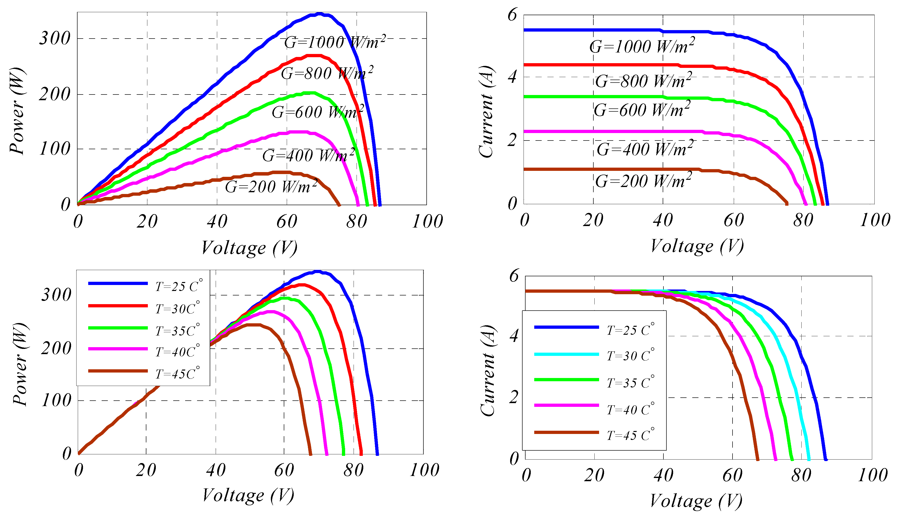
4.1. Modeling of Solar PV Module
4.2. Sliding Mode Based MPPT
5. Parameters Optimization Using PSO
5.1. Designing of PSO Algorithm
5.2. The Optimization Problem
6. Results and Discussion
- Three phase power supply based on three-phase autotransformer.
- Two-level inverter and boost converter manufactured by SEMIKRON based on IGBTs (SKM 50 GB 123D) in addition to three-phase diode bridge rectifier.
- Measurement and visualization tools.
- Coils and resistor load.
- Four PV Panels (ALPV85-125M-36).
7. Conclusions
Author Contributions
Funding
Acknowledgments
Conflicts of Interest
Nomenclature
| Source voltage of phase a, b, c respectively (V) | |
| Voltage at the point of common coupling of phase a, b, c respectively (V) | |
| Current at the point of common coupling of phase a, b, c respectively (A) | |
| Filter current of phase a, b, c respectively (A) | |
| Load current of phase a, b, c respectively (A) | |
| , , | Source, series load and filter resistance (Ω) | 
| , , | Source, series load and filter inductance (H) | 
| Load resistance (Ω) | |
| DC bus voltage (V) | |
| DC bus capacitor (F) | |
| Capacitor at the output of the boost (F) | |
| Voltage at output of the inverter (V) | |
| , | Actual and reference of active power (W) | 
| Fundamental component of the current (A) | |
| Harmonic components of the current (A) | |
| Sampling time (S) | |
| Error of active power (W) | |
| Error of reactive power (var) | |
| , | Proportional and integral gains | 
| Anti-windup gain | |
| , | Measured and reference value of PV power (W) | 
| Output current of PV string (A) | |
| Output of sliding mode controller | |
| Sliding mode surface | |
| Sliding mode gain | |
| Error of DC bus voltage control loop (V) | |
| Error between the measured PV power and its reference (W) | |
| Inductance of the boost (H) | |
| Total harmonic distortion of source current | |
| Laplace operator | |
| Solar irradiance (W/m2) | |
| Temperature at operating condition (C°) | |
| Maximum number of iteration | 
References
- Bhim, S.; Shailendra, K.; Chinmay, J. Damped-SOGI Based Control Algorithm For Solar PV Power Generating System. IEEE Trans. Ind. Appl. 2017, 53, 1780–1788. [Google Scholar] [CrossRef]
- Guo, Y.; Cha, J.; Liu, W.; Tian, Y. A system modeling method for optimization of a single axis solar tracker. In Proceedings of the 2010 International Conference on Computer Application and System Modeling (ICCASM), Taiyuan, China, 22–24 October 2010; Volume 11, pp. 30–34. [Google Scholar] [CrossRef]
- Babu, B.C.; Gurjar, S. A novel simplified two-diode model of photovoltaic (PV) module. IEEE J. Photovolt. 2014, 4, 1156–1161. [Google Scholar] [CrossRef]
- Bouzelata, Y.; Kurt, E.; Altin, N.; Chenni, R. Design and simulation of a solar supplied multifunctional active power filter and a comparative study on the current-detection algorithms. Renew. Sustain. Energy Rev. 2015, 43, 1114–1126. [Google Scholar] [CrossRef]
- Djerioui, A.; Aliouane, K.; Bouchafaa, F. Sliding mode observer of a power quality in grid connected renewable energy systems. Int. J. Renew. Energy Res. 2012, 2, 541–548. [Google Scholar]
- Liu, L.; Meng, X.; Liu, C. A review of maximum power point tracking methods of PV power system at uniform and partial shading. Renew. Sustain. Energy Rev. 2016, 53, 1500–1507. [Google Scholar] [CrossRef]
- Molina, M.G.; Espejo, E.J. Modeling and simulation of grid-connected photovoltaic energy conversion systems. Int. J. Hydrog. Energy 2014, 39, 8702–8707. [Google Scholar] [CrossRef]
- Spertino, F.; Corona, F. Monitoring and checking of performance in photovoltaic plants: A tool for design, installation and maintenance of grid-connected systems. Renew. Energy 2013, 60, 722–732. [Google Scholar] [CrossRef]
- Rahmani-Andebili, M.; Haiying, S. Price-Controlled Energy Management of Smart Homes for Maximizing Profit of a GENCO. IEEE Trans. Syst. Man Cybern. 2017, 1–13. [Google Scholar] [CrossRef]
- Tian, H.; Mancilla-David, F.; Ellis, K.; Muljadi, E.; Jenkins, P. A cell-to-module-to-array detailed model for photovoltaic panels. Sol. Energy 2012, 86, 2695–2706. [Google Scholar] [CrossRef]
- Laib, A.; Krim, F.; Talbi, B.; Kihal, A.; Feroura, H. Improved control of three phase dual-stage grid-connected PV system based on a predictive control strategy. Control Eng. Appl. Inform. 2018, 20, 12–23. [Google Scholar]
- Piegari, L.; Rizzo, R.; Spina, I.; Tricoli, P. Optimized adaptive perturb and observe maximum power point tracking control for photovoltaic generation. Energies 2015, 8, 3418–3436. [Google Scholar] [CrossRef]
- Safari, A.; Mekhilef, S. Simulation and hardware implementation of incremental conductance MPPT with direct control method using cuk converter. IEEE Trans. Ind. Electron. 2011, 58, 1154–1161. [Google Scholar] [CrossRef]
- Algarín, C.R.; Giraldo, J.T.; Álvarez, O.R. Fuzzy logic based MPPT controller for a PV system. Energies 2017, 10, 2036. [Google Scholar] [CrossRef]
- Ben Salah, C.; Ouali, M. Comparison of fuzzy logic and neural network in maximum power point tracker for PV systems. Electr. Power Syst. Res. 2011, 81, 43–50. [Google Scholar] [CrossRef]
- Priyadarshi, N.; Padmanaban, S.; Mihet-Popa, L.; Blaabjerg, F.; Azam, F. Maximum power point tracking for brushless DC motor-driven photovoltaic pumping systems using a hybrid ANFIS-FLOWER pollination optimization algorithm. Energies 2018, 11, 1067. [Google Scholar] [CrossRef]
- Messai, A.; Mellit, A.; Guessoum, A.; Kalogirou, S.A. Maximum power point tracking using a GA optimized fuzzy logic controller and its FPGA implementation. Sol. Energy 2011, 85, 265–277. [Google Scholar] [CrossRef]
- Mohanty, S.; Subudhi, B.; Ray, P.K. A Grey Wolf-Assisted Perturb & Observe MPPT Algorithm for a PV System. IEEE Trans. Energy Convers. 2017, 32, 340–347. [Google Scholar] [CrossRef]
- Du, Y.; Yan, K.; Ren, Z.; Xiao, W. Designing Localized MPPT for PV Systems Using Fuzzy-Weighted Extreme Learning Machine. Energies 2018, 11, 2615. [Google Scholar] [CrossRef]
- Levron, Y.; Shmilovitz, D.; Yoash Levron, D.S. Maximum Power Point Tracking Employing Sliding Mode Control. IEEE Trans. Circuits Syst. I Regul. Pap. 2013, 60, 724–732. [Google Scholar] [CrossRef]
- Menadi, A.; Abdeddaim, S.; Betka, A.; Benchouia, M.T. Real Time Implementation of A Fuzzy Logic Based Mppt Controller for Grid Connected Photovoltaic System. Int. J. Renew. Energy Res. 2015, 5, 236–244. [Google Scholar]
- Mellit, A.; Kalogirou, S.A. Artificial intelligence techniques for photovoltaic applications: A review. Prog. Energy Combust. Sci. 2008, 34, 574–632. [Google Scholar] [CrossRef]
- Antoniewicz, K.; Jasinski, M.; Kazmierkowski, M.P.; Malinowski, M. Model Predictive Control for Three-Level Four-Leg Flying Capacitor Converter Operating as Shunt Active Power Filter. IEEE Trans. Ind. Electron. 2016, 63, 5255–5262. [Google Scholar] [CrossRef]
- Krama, A.; Laid, Z.; Boualaga, R. Anti-Windup Proportional Integral Strategy for Shunt Active Power Filter Interfaced by Photovoltaic System using Technique of Direct Power Control. Rev. Roum. Sci. Tech. Électrotech. Énerg. 2017, 62, 252–257. [Google Scholar]
- Emadi, A.; Abdolhosein, N.; Bekiarov, S. Uninterruptible Power Supplies and Active Filters; CRC Press: Boca Raton, FL, USA, 2005; ISBN 0849330351. [Google Scholar]
- Musa, S.; Radzi, M.A.M.; Hizam, H.; Wahab, N.I.A.; Hoon, Y.; Zainuri, M.A.A.M. Modified synchronous reference frame based shunt active power filter with fuzzy logic control pulse width modulation inverter. Energies 2017, 10, 758. [Google Scholar] [CrossRef]
- Bouzidi, M.; Benaissa, A.; Barkat, S. Hybrid direct power/current control using feedback linearization of three-level four-leg voltage source shunt active power filter. Int. J. Electr. Power Energy Syst. 2014, 61, 629–646. [Google Scholar] [CrossRef]
- Roasto, I.; Romero-cadavai, E.; Martins, J.; Smolenski, R. State of the Art of Active Power Electronic Transformers for Smart Grids. In Proceedings of the IECON 2012—38th Annual Conference on IEEE Industrial Electronics Society, Montreal, QC, Canada, 25–28 October 2012; pp. 5241–5246. [Google Scholar]
- Boukezata, B.; Gaubert, J.P.; Chaoui, A.; Hachemi, M. Predictive current control in multifunctional grid connected inverter interfaced by PV system. Sol. Energy 2016, 139, 130–141. [Google Scholar] [CrossRef]
- Benaissa, A.; Rabhi, B.; Benkhoris, M.F.; Zellouma, L. An investigation on combined operation of five-level shunt active power filter with PEM fuel cell. Electr. Eng. 2017, 99, 649–663. [Google Scholar] [CrossRef]
- Hoon, Y.; Radzi, M.A.M.; Hassan, M.K.; Mailah, N.F. Control algorithms of shunt active power filter for harmonics mitigation: A review. Energies 2017, 10, 2038. [Google Scholar] [CrossRef]
- Jayanand, B. Harmonic and Reactive Power Compensation of Grid Connected Photovoltaic System. Procedia Technol. 2015, 21, 438–442. [Google Scholar] [CrossRef]
- Saad, S.; Zellouma, L. Fuzzy Logic Controller for Three-phase Shunt Active Filter Compensating Harmonics and Reactive Power Simultaneously. Electr. Power Syst. Res. 2009, 79, 1337–1341. [Google Scholar] [CrossRef]
- Benchouia, M.T.; Ghadbane, I.; Golea, A.; Srairi, K.; Benbouzid, M.E.H. Implementation of adaptive fuzzy logic and PI controllers to regulate the DC bus voltage of shunt active power filter. Appl. Soft Comput. J. 2015, 28, 125–131. [Google Scholar] [CrossRef]
- Chaoui, A.; Gaubert, J.-P.; Krim, F. Power quality improvement using DPC controlled three-phase shunt active filter. Electr. Power Syst. Res. 2010, 80, 657–666. [Google Scholar] [CrossRef]
- Krama, A.; Zellouma, L.; Rabhi, B. Improved control of shunt active power filter connected to a photovoltaic system using technique of direct power control. In Proceedings of the 2016 8th International Conference on Modelling, Identification and Control, ICMIC 2016, Algiers, Algeria, 15–17 November 2016. [Google Scholar]
- Ouchen, S.; Betka, A.; Abdeddaim, S.; Menadi, A. Fuzzy-predictive direct power control implementation of a grid connected photovoltaic system, associated with an active power filter. Energy Convers. Manag. 2016, 122, 515–525. [Google Scholar] [CrossRef]
- Bouafia, A.; Gaubert, J.-P.; Krim, F. Predictive Direct Power Control of Three-Phase Pulsewidth Modulation (PWM) Rectifier Using Space-Vector Modulation (SVM). IEEE Trans. Power Electron. 2010, 25, 228–236. [Google Scholar] [CrossRef]
- Malinowski, M.; Jasinski, M.; Kazmierkowski, M.P. Simple Direct Power Control of Three-Phase PWM Rectifier Using Space Vector Modulation. EPE J. 2003, 13, 28–34. [Google Scholar] [CrossRef]
- Tarisciotti, L.; Formentini, A.; Gaeta, A.; Degano, M.; Zanchetta, P.; Rabbeni, R.; Pucci, M. Model Predictive control for Shunt Active Filters with Fixed Switching Frequency. IEEE Trans. Ind. Appl. 2016. [Google Scholar] [CrossRef]
- Abu-rub, H.; Member, S.; Holtz, J.; Rodriguez, J.; Member, S.; Baoming, G. Medium-Voltage Multilevel Converters—State of the Industrial Applications. IEEE Trans. Ind. Electron. 2010, 57, 2581–2596. [Google Scholar] [CrossRef]
- Abido, M.A. Optimal design of power-system stabilizers using particle swarm optimization. IEEE Trans. Energy Convers. 2002, 17, 406–413. [Google Scholar] [CrossRef]
- Pati, S.; Sahu, B.K.; Panda, S. Hybrid differential evolution particle swarm optimisation optimised fuzzy proportional–integral derivative controller for automatic generation control of interconnected power system. IET Gener. Transm. Distrib. 2014, 8, 1789–1800. [Google Scholar] [CrossRef]
- Eberhart, R.; Kennedy, J. A new optimizer using particle swarm theory. In Proceedings of the Sixth International Symposium on Micro Machine and Human Science, Nagoya, Japan, 4–6 October 1995; pp. 39–43. [Google Scholar] [CrossRef]
- Benhabib, M.C.; Saadate, S. A new robust experimentally validated Phase-Looked Loop for power electronic control. EPE J. 2005, 15, 36–48. [Google Scholar] [CrossRef]
- Rodriguez, J.; Cortés, P. Predictive Control of Power Converters and Electrical Drives; John Wiley & Sons: Hoboken, NJ, USA, 2012; ISBN 9781119963981. [Google Scholar]
- Karatepe, E.; Boztepe, M.; Colak, M. Neural network based solar cell model. Energy Convers. Manag. 2006, 47, 1159–1178. [Google Scholar] [CrossRef]
- Bhuvaneswari, G.; Annamalai, R. Development of a solar cell model in MATLAB for PV based generation system. In Proceedings of the 2011 Annual IEEE India Conference, Hyderabad, India, 16–18 December 2011. [Google Scholar] [CrossRef]
- Villalva, M.G.; Gazoli, J.R.; Filho, E.R. Comprehensive Approach to Modeling and Simulation of Photovoltaic Arrays. IEEE Trans. Power Electron. 2009, 24, 1198–1208. [Google Scholar] [CrossRef]
- Saadi, A.; Becherif, M.; Ramadan, H.S. Hydrogen production horizon using solar energy in Biskra, Algeria. Int. J. Hydrog. Energy 2016, 41, 21899–21912. [Google Scholar] [CrossRef]
- Castillo-Toledo, B.; Castro-Linares, R. On robust regulation via sliding mode for nonlinear systems. Syst. Control Lett. 1995, 24, 361–371. [Google Scholar] [CrossRef]
- Zellouma, L.; Rabhi, B.; Krama, A.; Benaissa, A.; Benkhoris, M.F. Simulation and real time implementation of three phase four wire shunt active power filter based on sliding mode controller. Rev. Roum. Des. Sci. Tech. Ser. Electrotech. Energ. 2018, 63, 77–82. [Google Scholar]
- Vandenbergh, F.; Engelbrecht, A.P. A Cooperative Approach to Particle Swarm Optimization. IEEE Trans. Evol. Comput. 2004, 8, 225–239. [Google Scholar] [CrossRef]
- Sun, J.; Lai, C.; Wu, X. Particle Swarm Optimization: Classical and Quantum Perspectives; CRC Press: Boca Raton, FL, USA, 2012; ISBN 13: 978-1-4398-3577-7. [Google Scholar]
- Shi, Y.; Eberhart, R. A modified particle swarm optimizer. In Proceedings of the 1998 IEEE International Conference on Evolutionary Computation Proceedings and IEEE World Congress on Computational Intelligence (Cat. No. 98TH8360), Anchorage, AK, USA, 4–9 May 1998; pp. 69–73. [Google Scholar] [CrossRef]
- Lee, H.; Lee, J. Design of iterative sliding mode observer for sensorless PMSM control. IEEE Trans. Control Syst. Technol. 2013, 21, 1394–1399. [Google Scholar] [CrossRef]





















| Parameters of the PV Module ALPV85-125M-36 | |
|---|---|
| Maximum power Pmax | 85 W (±5%) | 
| Maximum power point Voltage (Vmpp) | 17.36 V | 
| Open circuit voltage (Uoc) | 22.38 V | 
| Maximum power point Current (Impp) | 4.95 A | 
| Short circuit current (Ioc) | 5.48 A | 
| Number of particles in a swarm | 50 | 
| Max number of iteration | 40 | 
| Acceleration coefficients | 2 | 
| Inertia coefficients | 0.6, 0.9 | 
| Optimized Gains | Calculated Gains | |
|---|---|---|
| DC bus controller | Kp = 0.176, Ki = 6.714, Ga = 456.17 | Kp = 0.1, Ki = 6.12, Ga = 1000 (chosen manually) | 
| SMC gain | K = 0.074 | - | 
| Source | Load | SAPF | Boost | ||||
|---|---|---|---|---|---|---|---|
| Vs | 65 V | Lc | 1 mH | Rf | 0.9 Ω | L | 5 mH | 
| f | 50 Hz | Rc | 0.6 Ω | Lf | 4 mH | C2 | 560 µF | 
| Rs | 0.45 Ω | Rl | 11 Ω | C1 | 1100 µF | ||
| Ls | 2.5 mH | ||||||
© 2018 by the authors. Licensee MDPI, Basel, Switzerland. This article is an open access article distributed under the terms and conditions of the Creative Commons Attribution (CC BY) license (http://creativecommons.org/licenses/by/4.0/).
Share and Cite
Krama, A.; Zellouma, L.; Rabhi, B.; Refaat, S.S.; Bouzidi, M. Real-Time Implementation of High Performance Control Scheme for Grid-Tied PV System for Power Quality Enhancement Based on MPPC-SVM Optimized by PSO Algorithm. Energies 2018, 11, 3516. https://doi.org/10.3390/en11123516
Krama A, Zellouma L, Rabhi B, Refaat SS, Bouzidi M. Real-Time Implementation of High Performance Control Scheme for Grid-Tied PV System for Power Quality Enhancement Based on MPPC-SVM Optimized by PSO Algorithm. Energies. 2018; 11(12):3516. https://doi.org/10.3390/en11123516
Chicago/Turabian StyleKrama, Abdelbasset, Laid Zellouma, Boualaga Rabhi, Shady S. Refaat, and Mansour Bouzidi. 2018. "Real-Time Implementation of High Performance Control Scheme for Grid-Tied PV System for Power Quality Enhancement Based on MPPC-SVM Optimized by PSO Algorithm" Energies 11, no. 12: 3516. https://doi.org/10.3390/en11123516
APA StyleKrama, A., Zellouma, L., Rabhi, B., Refaat, S. S., & Bouzidi, M. (2018). Real-Time Implementation of High Performance Control Scheme for Grid-Tied PV System for Power Quality Enhancement Based on MPPC-SVM Optimized by PSO Algorithm. Energies, 11(12), 3516. https://doi.org/10.3390/en11123516
 
        


 
       