Abstract
Mature oilfields usually encounter the problem of high watercut. It is practical to use chemical methods for water-shutoff in production wells, however conventional water-shutoff agents have problems of long gelation time, low gel strength, and poor stability under low temperature and high salinity conditions. In this work a novel polymer gel for low temperature and high salinity reservoirs was developed. This water-shutoff agent had controllable gelation time, adjustable gel strength and good stability performance. The crosslinking process of this polymer gel was studied by rheological experiments. The process could be divided into an induction period, a fast crosslinking period, and a stable period. Its gelation behaviors were investigated in detail. According to the Gel Strength Code (GSC) and vacuum breakthrough method, the gel strength was displayed in contour maps. The composition of the polymer gel was optimized to 0.25~0.3% YG100 + 0.6~0.9% resorcinol + 0.2~0.4% hexamethylenetetramine (HMTA) + 0.08~0.27% conditioner (oxalic acid). With the concentration increase of the polymer gel and temperature, the decrease of pH, the induction period became shorter and the crosslinking was more efficient, resulting in better stability performance. Various factors of the gelation behavior which have an impact on the crosslinking reaction process were examined. The relationships between each impact factor and the initial crosslinking time were described with mathematical equations.
1. Introduction
The problem of heterogeneity is very common in mature oilfields, which leads to water breakthrough along highly permeable channels in long-term oilfield waterflooding. The heterogeneity problem underground will reduce the sweep efficiency and keep producing water uneconomically. For example, the watercut in some mature oilfields is over 95%, which means the oil percentage in the production liquid is less than 5%. Continuous water injection would result in inefficient water cycling from the ground surface to underground reservoir. At the same time, a large amount of residual oil exists in the unswept area, which features relatively low permeability, compared with that in high permeable channels. Therefore, to remediate this problem and increase the volumetric sweep efficiency [], water shut-off treatments are widely used [,,].
Among the numerous water shut-off methods, chemical methods are proved to be applicable for most oil reservoirs which featuring disproportionate permeability reduction [,,]. Polymer, foam, and gel systems are widely used for their characteristics of simple preparation, low cost, etc. [,,,]. However, the application of polymers is limited by their non-selective properties. The effective time for foams is relatively short and the injection process and equipment are relatively complex. Gel systems have many good properties, such as controllable gelation time, adjustable gel strength, in-depth performance, long effective time, low cost, etc. [,], therefore gels are commonly employed as a chemical water shut-off method for oil wells [,,,].
Gels generally consists of a polymer and crosslinker []. Due to the negative charge on the pore surface, anionic polymers, such as polyacrylamide (PAM) are generally used to minimize the adsorption and enhance the in-depth performance. It can be crosslinked either inorganically or organically, with metallic crosslinkers and organic crosslinkers, respectively. Metallically crosslinked gels, with crosslinkers including Cr3+, Al3+ and Zr4+, etc. [,,] typically have lower thermal stability, due to the ionic bonding between the negatively charged carboxylate groups and the multivalent cations. In addition, at elevated temperatures (>70 °C), the reaction rate of metallic crosslinkers with polymers is too fast to place the gel system in the target zones. The organically cross-linkers used in polymer gels mainly include polyethyleneimine (PEI) and phenol-formaldehyde gel [,,]. With covalent bonding crosslinking, the organically crosslinked polymer gel can withstand high temperatures []. The PEI cross-linker gels are environmentally-friendly, non-toxic, salt-resistant and temperature-tolerant []. However, the high cost of PET limits its development and application in oilfields. Meanwhile, the phenol/formaldehyde crosslinker gel is much cheaper, but the main problem lies in the toxicity of phenol and formaldehyde, especially the carcinogenicity of formaldehyde.
To overcome the listed problems, lower toxicity substitutes have been found for phenol and formaldehyde, such as hydroquinone (HQ) or resorcinol for phenol, and hexamethylenetriamine for formaldehyde [,,]. The HQ-HMTA crosslinking polyacrylamide gel system displays good thermal stability and salt-resistance. It is found to be cost-effective and is a good replacement for the phenol/formaldehyde system, thus being widely used from low temperature reservoir to high temperature reservoirs by adjusting the pH. Dovan [] compared the gelation characteristics and thermal stability of various organically crosslinked polymer gels. The results indicated that the HQ-HMTA system has a longer gelation time and better thermal stability. Sengupta [] prepared polymer gels by crosslinking HQ and HMTA with PAM at 85 °C. The system viscosity was less than than 300 mPa·s over a pH range from 7.5 to 9.5 and the gelation time was up to 7 days. Liu [] prepared a HQ-HMTA gel with nonionic polyacrylamide and distilled water. The factors impacting the gelation and its thermal stability were investigated. The results indicated that the gel system could withstand temperatures up to 140 °C. He [] investigated a polymer gel made by crosslinking partially hydrolyzed polyacrylamide (HPAM) with resorcinol and HMTA at 57 °C. Formation water with TDS of 2902 mg/L was used to prepare the gel. With a constant ratio of resorcinol: HMTA = 1:4, the gelation time under various conditions was illustrated. The gel viscosity was measured up to 100,000 mPa·s. Therefore, the gelation of polymer gel system has potential for low temperature reservoirs [,]. However, for low temperature and high salinity reservoirs, such as the Obangue oilfield in Gabon (reservoir temperature is 50 °C, water salinity is 286,257 ppm), the gelation behavior is not clear. In this study, a large number of experiments were conducted on the resorcinol-HMTA polymer gel at low temperature and high salinity. Three periods were identified in the gelation process. The gel strength is displayed in a contour map. The gelation behaviors of the polymer gel with time were investigated systematically and various impact factors were studied. The mathematical expressions of gelation time and these factors were established, which could provide basic information and guidance for the plugging depth and project design for the gel system in field applications.
2. Experimental
2.1. Materials
Partially hydrolyzed anionic polyacrylamide: YG100 (relative molecular mass is 12 × 106, degree of hydrolysis is 22%), crosslinking agents: resorcinol and HMTA (AR, Shanghai Aladdin Biochemical Technologies Inc., Shanghai, China). Formation water is CaCl2 type. Simulated formation water was prepared with a total salinity of 286,257 mg/L: Ca2+-4407, Mg2+-2127, Ba2+-158, Na+-104522, NH4+-131, HCO3-118, Cl−-174839 mg/L (AR, Sinopharm Chemical Reagent Co., Ltd., Shanghai, China).
2.2. Equipment
Digital balance (PL4002, Metter Toledo, Greifensee, Switzerland) with an accuracy of 0.0001 g, magnetic stirrer (C-MAG MS4, IKA, Staufen, Germany), pH meter (PT-10, Sartorius, Göttingen, Germany), rotational viscometer (DV-II, Brookfield, Middleboro, MA, USA), rheometer (MCR301, Anton Paar, Graz, Austria), Oven (UFP 500, Memmert Company, Schwabach, Germany), Waring Blender (GJ-3S, Senxin, Qingdao, China).
2.3. Procedures
2.3.1. Gel Preparation
The gelant solution was prepared by mixing the polymer solution with the resorcinol and HMTA crosslinkers at room temperature. The polymer solution was prepared with the designed concentration, then a certain amount of the crosslinkers were added, and the mixture was stirred at 500 rpm for 6 min with a magnetic stirrer. The stirring time was equal for all the samples. The gelant solution was filled into an ampoule (25 mL), leaving about half of the ampoule empty as headspace. Then the ampoules were sealed at the neck using a blowtorch, and transferred into an oven at the desired temperature.
2.3.2. Gelation Time
Gelation time is the time where a gel is formed from a liquid state to high strength gel, which is an important index to evaluate the applicability of any plugging agent system. Proper gelation time is desired when effective water shutoff treatment is applied in high permeable water-producing channels. According to Sydansk’s [] gel strength grading code, gel strengths are ranked from grade A to G. Gelation time is considered from grade A to a certain stable level. The experimental steps were as follows: 20 mL of gelling solution was placed into ampoules. After the ampoules were sealed, they were placed in an oven. The flowing condition of the gel was observed at certain time intervals. In this experiment, the time of gelation is determined as the time when the gel strength reaches F level.
2.3.3. Determination of Gel Strength
Gel strength was quantified by a breakthrough vacuum setup [], as shown in Figure 1. After all the parts were connected, the ampoule filled with sample was hooked up and the vacuum pump was started. The maximum pressure on the vacuum pressure gauge was considered as the breakthrough vacuum value (atmospheric pressure is 0.1 MPa). Distilled water and glycerol were used to calibrate the setup before measurement. The breakthrough vacuum values of distilled water and glycerol is 0.007 and 0.018 MPa, respectively. For each condition, the samples were measured three times and the average value was taken as its gel strength.

Figure 1.
Schematic diagram of the breakthrough vacuum setup.
3. Results and Discussion
3.1. Crosslinking Reaction Process between Polymer and Resorcinol-Hexamethylenetetramine
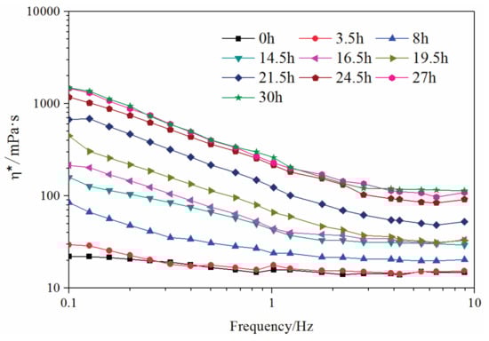
The polymer gel solution was prepared with 0.3% YG100, 0.6% resorcinol, 0.4% HMTA, polymer, and simulated formation water (pH = 5.5). The reaction was performed at 50 °C. A certain volume of solution was sampled at certain time intervals, and placed in the fridge at 5 °C to stop the reaction. The samples’ complex viscosity were given by a rheometer with a coaxial cylinder. The curves of complex viscosity vs. frequency after different reaction times are shown in Figure 2.

Figure 2.
Complex viscosity vs. frequency of polymer gels at different gelation times.
The crosslinking reaction process of the polymer gels was characterized by complex viscosity with an angular frequency of 0.1 Hz. Different stages of the crosslinking reaction were identified. In order to characterize the crosslinking reaction, a line was drawn to fit the rapidly increasing complex viscosity. Tg is defined as the value when this line is extended to the time axis, as the intersect on the x axis in the fitting equation. The crosslinking reaction process of 0.3% YG100 + 0.6% resorcinol + 0.4% HMTA (pH = 5.5) system is shown in Figure 3.

Figure 3.
Crosslinking reaction process of the polymer gel.
As can be seen from Figure 3, the crosslinking reaction process of the polymer gel can be divided into three stages: induction period, fast crosslinking period, and stable period. During the induction period, the complex viscosity of the plugging agent system is basically stable. HMTA could produce formaldehyde in the presence of H+, and the formaldehyde molecules would diffuse in solution and condense with polyacrylamide and resorcinol to form the polymer elastic network as a gel. The amount of crosslinking polymer molecules and phenolic resin in the plugging agent system is not enough to form an effective network structure, therefore, the complex viscosity remains stable, thus displaying the induction period.
The complex viscosity increases rapidly during the fast crosslinking period. In this period, polyacrylamide, resorcinol, and HMTA condense and produce crosslinked polymer, linear and structural phenolic resin. Thus, the polymer gel structure forms rapidly and the crosslinking density increases rapidly.
At the stable period, HMTA produces NH4+ and this decreases the concentration of H+. With the decreasing concentration of amide, resorcinol and HMTA in solution, the crosslinking reaction rate slows down, and the system density does not change much, therefore the complex viscosity remains stable. For this system, the initial crosslinking time is 16 h. It is in the middle of the fast crosslinking period. At this time, the network has been formed in the plugging agent, but there are still many components in the solution where they are going to participate in the crosslinking reaction.
3.2. Gelling Property
YG100 polymer solutions were prepared using simulated formation water, resorcinol and HMTA, and conditioner with different mass fractions. Too low or too high pH are not favorable for the gelation of the plugging agent system and its stability, thus the pH was controlled within the range of 5~6. Gelling conditions at different pH were compared. Experimental data are shown in Table 1. Golden Software Surfer could interpret these data as more predicted data with trend lines. Contour maps of gel strength at 50 °C are drawn in Figure 4. With limited experiments, this method gives much more gel strength data with the built-in function.

Table 1.
Breakthrough vacuum value of various gel compositions.

Figure 4.
Contour map of the polymer gel breakthrough vacuum value (ω(resorcinol) : ω(HMTA) = 1.5:1). (a) pH = 6; (b) pH = 5.
As can be seen from Figure 4, with the increase of mass fraction of polymer and crosslinking agent, the gel strength becomes bigger. In the pH range from 5 to 6, the gel strength of 0.2~0.4% YG100 + 0.3~0.9% resorcinol + 0.2~0.6% HMTA + 0.05~0.27% conditioner ranges from 0.034 to 0.069 MPa.
3.3. Mass Fraction of Polymer Impact on the Crosslinking Reaction Process
Based on the component optimization in this study, the gel solution was prepared with simulated formation water. The effect of polymer mass fraction on the crosslinking process of plugging agent was investigated at a temperature of 50 °C, while the mass fraction of resorcinol was kept at 0.6%, HMTA at 0.4%, and pH = 5.5. The effect of polymer mass fraction on the reaction process and the initial crosslinking time are shown in Figure 5 and Figure 6.

Figure 5.
Polymer concentration effect on crosslinking reaction process of the polymer gel.

Figure 6.
Polymer concentration effect on initial gelation time of the polymer gel.
From Figure 5 and Figure 6, with the increase of polymer mass fraction, the induction period and the initial crosslinking time become shorter, and the crosslinking reaction rate becomes higher. The complex viscosity is higher during the stable period. With the increase of polymer concentration, the number of amide groups which is able to participate in crosslinking reaction in solution is increased, the formaldehyde molecules produced by resorcinol have a higher chance to diffuse and contact with amide groups through irregular motion. The time to form a network structure is shortened, so the induction period is getting shorter.
At the same time, the increased number of amide group results in a higher content of formaldehyde and phenol formaldehyde resin where they participate in the crosslinking reaction. The crosslinking reaction speeds up, and the initial crosslinking time becomes shorter. The mass fraction increase of polymer generates more crosslinking points. Therefore the complex viscosity of plugging agent system would also increase during the stable period. The relationship between the initial crosslinking time, Tg and the mass fraction of the polymer can be described as Tg = 6.05ω(YG100)−0.81 while other reaction conditions remain the same, as shown in Figure 6.
3.4. Mass Fraction of Resorcinol Impact on Crosslinking Reaction Process
Resorcinol is the main component of the crosslinking agents. The phenolic gel was prepared with simulated formation water. The mass fraction of polymer YG100 is kept at 0.3%, HMTA at 0.4%, and pH = 5.5. The effect of resorcinol on the crosslinking process of plugging agent and initial crosslinking time was investigated at a temperature of 50 °C. The experimental results are shown in Figure 7 and Figure 8.

Figure 7.
Effect of resorcinol concentration on crosslinking reaction process of the polymer gel.

Figure 8.
Effect of resorcinol concentration on initial gelation time of the polymer gel.
As shown in Figure 7 and Figure 8, with the increase of the mass fraction of HMTA, the induction period of the plugging agent system is shortened, therefore, the complex viscosity is improved during the stable period. The reason is that the mass fraction increase of HMTA can increase the molecular weight of formaldehyde in solution, which can increase the contact possibility of formaldehyde molecule with amide groups and resorcinol. Thus, the formation of crosslinked polymer network and phenolic resin is accelerated. The relationship between the mass fraction of resorcinol and the initial crosslinking time was obtained from Figure 8: Tg = 21.88 − 10.82ω(resorcinol). Since the mass fraction of HMTA is increased, the crosslinking density is higher, and the complex viscosity increases during the stable period.
3.5. Mass Fraction of Hexamethylenetetramine Impact on Crosslinking Reaction Process
The phenolic resin is generated in the polycondensation reaction by resorcinol and HMTA, and a tight crosslinking network structure is formed by bridging the polymer chain. At the same time, the introduction of benzene rings could increase the salt tolerance and shear resistance of this plugging system. Simulated formation water was used to prepare the polymer solution. The polymer mass fraction was kept at 0.3%, resorcinol at 0.6%, pH = 5.5, temperature of 50 °C. The effect of HMTA concentration on crosslinking reaction process and the initial crosslinking time are shown in Figure 9 and Figure 10.

Figure 9.
Effect of HMTA concentration on crosslinking reaction process of the polymer gel.

Figure 10.
Effect of HMTA concentration on initial gelation time of the polymer gel.
It can be concluded from Figure 9 and Figure 10 that the increase of HMTA mass fraction could shorten the induction period, increase the crosslinking reaction rate, and increase the complex viscosity in the stable period. The increase of HMTA mass fraction raises the contact possibility between resorcinol and formaldehyde molecules, so that the production rate of phenolic resin increases. The increased amount of phenolic resin could also improve the crosslinking reaction rate, thus resulting in a tighter network structure and higher complex viscosity. From Figure 10, the relationship between the mass fraction of HMTA and initial crosslinking time is obtained as Tg = 9.7ω(HMTA)−0.499.
3.6. pH Impact on Crosslinking Reaction Process
The hydrolysis reaction of HMTA producing formaldehyde and ammonia hydrate is a reversible reaction. During the reaction, the pH of solution increases. H+ neutralize the OH− which is produced by the reversible reaction, so that the reaction could proceed in the positive reaction direction, so the pH of the solution is directly related to the crosslinking reaction process. An acid environment leads to a faster reaction rate and greater crosslinking densities []. Therefore, the solution pH was adjusted from 5.08~6.58 to study the effect of pH on crosslinking reaction. The simulated formation water was used to prepare the polymer solution. Under the condition that the polymer mass fraction was kept at 0.3%, HMTA at 0.6%, resorcinol at 0.4%, the results is shown in Figure 11.

Figure 11.
Effect of pH on the crosslinking reaction process of the polymer gel.
With the increase of the initial pH of the gel solution, the induction period and gelation time become longer and the gel strength is reduced, as shown in Figure 11. When pH = 6.58, there is no apparent fast crosslinking period in the gel solution, and the complex viscosity is very low. The increase of pH might inhibit the hydrolysis reaction of HMTA, which makes the mass fraction of formaldehyde too low to form a tight crosslinking network structure with the polymer and resorcinol. Therefore, for a certain amount of HMTA, the initial pH of the gel solution would greatly affect the rate and amount of hydrolysis of formaldehyde molecules.
3.7. Temperature Impact on Crosslinking Reaction Process
Temperature is one of the key factors affecting the crosslinking reaction of the gel. The optimal constitution of the polymer gel is 0.3% YG100 + 0.6% resorcinol + 0.4% HMTA (pH = 5.5) and the temperature ranges from 40 °C to 60 °C. The crosslinking reaction process and the initial crosslinking time of the polymer phenolic gel at various temperatures are shown in Figure 12 and Figure 13.

Figure 12.
Effect of temperature on the crosslinking reaction process of the polymer gel.

Figure 13.
Effect of temperature on the initial gelation time of the polymer gel.
From Figure 12 and Figure 13, a higher temperature results in a shorter induction period, faster reaction rate, and higher complex viscosity during the stable period. Higher temperature increased the amount of activated molecule, the irregular motion of molecules and the possibility of effective collision, which resulted in more crosslinking points. Therefore, the crosslinking induction period was shortened and the complex viscosity was increased. The relationship between temperature and initial crosslinking time is obtained as Tg = 5.52(1/T)29.31.
4. Conclusions
In conclusion, the formation of a crosslinking phenolic gel is reported, which has good gelling properties at low temperature and high salinity. Its gelation behaviors are investigated in detail. The following conclusion may be drawn from this study:
- (1)
- The polymer gel is majorly composed of anionic polymer, resorcinol, HMTA, and conditioner. The applicable concentration ranges for each component are 0.25~0.3% YG100 + 0.6~0.9% resorcinol + 0.2~0.4% HMTA + 0.08~0.27% conditioner (oxalic acid). The gelation time can be controlled within 13 to 40 h. The gel strength can be adjusted from 0.037 to 0.064 MPa at 50 °C.
- (2)
- The complex viscosity in relationship with frequency is drawn to reflect the reaction process of polymer and crosslinker. This process is further divided into three identical periods: induction period, fast crosslinking period, and stable period.
- (3)
- The induction period determines the mobility of the gel system, where it shows very low complex viscosity. After the induction period, the viscosity increases and mobility of the gel system decreases dramatically.
- (4)
- The gel strength at different pH values are displayed in contour maps. With higher doses of components, lower pH, and higher temperature, the induction period becomes shorter, and the crosslinking process displays higher efficiency, resulting in a better gel stability and gel strength performance.
- (5)
- The gelation behavior was examined from the impact of various factors on the crosslinking reaction process. The relationship between each impact factors and the initial crosslinking time was described with mathematical equations.
Acknowledgments
The work was supported by the National Key Basic Research Program (No. 2015CB250904), the Postdoctoral Science Foundation of China (2016M590672), the National Science Fund for Distinguished Young Scholars (51425406), the Chang Jiang Scholars Program (T2014152) and PetroChina Innovation Foundation (2016D-5007-0202). The authors express their appreciation to the technical reviewers for their constructive comments.
Author Contributions
Yongpeng Sun designed experiment and prepared the manuscript. Yanchao Fang and Ang Chen performed all the experiments. Rui Cheng and Yifei Liu discussed the results and revised the manuscript. The whole work was supervised by both Qing You and Caili Dai.
Conflicts of Interest
The authors declare no conflict of interest.
References
- Hamouda, A.A.; Amiri, H.A.A. Factors affecting alkaline sodium silicate gelation for in-depth reservoir profile modification. Energies 2014, 7, 568–590. [Google Scholar] [CrossRef]
- Dai, C.; Zhao, G.; You, Q.; Zhao, M. A study on environment-friendly polymer gel for water shut-off treatments in low-temperature reservoirs. J. Appl. Polym. Sci. 2014, 131, 40154. [Google Scholar] [CrossRef]
- Chung, T.; Bae, W.; Nguyen, N.; Dang, C.; Lee, W.; Jung, B. A review of polymer conformance treatment: A successful guideline for water control in mature fields. Energy Sources Part A Recovery Utili. Environ. Eff. 2011, 34, 122–133. [Google Scholar] [CrossRef]
- Ju, B.; Qiu, X.; Dai, S.; Fan, T.; Wu, H.; Wang, X. A Study to Prevent Bottom Water From Coning in Heavy-Oil Reservoirs: Design and Simulation Approaches. J. Energy Resour. Technol. 2008, 130, 033102. [Google Scholar] [CrossRef]
- Vossoughi, S. Profile modification using in situ gelation technology—A review. J. Pet. Sci. Eng. 2000, 26, 199–209. [Google Scholar] [CrossRef]
- Liang, J.-T.; Sun, H.; Seright, R.S. Why Do Gels Reduce Water Permeability More Than Oil Permeability? SPE Reserv. Eng. 1995, 10, 282–286. [Google Scholar] [CrossRef]
- Seright, R.S. Disproportionate Permeability Reduction With Pore-Filling Gels. SPE J. 2009, 14, 5–13. [Google Scholar] [CrossRef]
- Liu, Y.; Bai, B.; Shuler, P. Application and Development of Chemical-Based Conformance Control Treatments in China Oilfields. In Proceedings of the SPE/DOE Symposium on Improved Oil Recovery, Tulsa, OK, USA, 22–26 April 2006. [Google Scholar]
- Kabir, A.H. Chemical Water & Gas Shutoff Technology—An Overview. In Proceedings of the SPE Asia Pacific Improved Oil Recovery Conference, Kuala Lumpur, Malaysia, 6–9 October 2001. [Google Scholar]
- Zhong, H.; Zhang, W.; Fu, J.; Lu, J.; Yin, H. The Performance of Polymer Flooding in Heterogeneous Type II Reservoirs—An Experimental and Field Investigation. Energies 2017, 10, 454. [Google Scholar] [CrossRef]
- Zhu, D.; Wei, L.; Wang, B.; Feng, Y. Aqueous hybrids of silica nanoparticles and hydrophobically associating hydrolyzed polyacrylamide used for EOR in high-temperature and high-salinity reservoirs. Energies 2014, 7, 3858–3871. [Google Scholar] [CrossRef]
- Sengupta, B.; Sharma, V.; Udayabhanu, G. A Study of the Effect of the Concentration of Constituents on the Characteristics of a Cross-Linked Polyacrylamide Gel. Pet. Sci. Technol. 2012, 30, 1865–1881. [Google Scholar] [CrossRef]
- Zhang, H.; Bai, B. Preformed-Particle-Gel Transport Through Open Fractures and Its Effect on Water Flow. SPE J. 2011, 16, 388–400. [Google Scholar]
- Al-Muntasheri, G.A. Conformance control with polymer gels: What it takes to be successful. Arab. J. Sci. Eng. 2012, 37, 1131–1141. [Google Scholar] [CrossRef]
- El-Karsani, K.S.M.; Al-Muntasheri, G.A.; Hussein, I.A. Polymer systems for water shutoff and profile modification: A review over the last decade. SPE J. 2014, 19, 135–149. [Google Scholar] [CrossRef]
- Akhlaghi Amiri, H.A.; Hamouda, A.A.; Roostaei, A. Sodium Silicate Behavior in Porous Media Applied for In-Depth Profile Modifications. Energies 2014, 7, 2004–2026. [Google Scholar] [CrossRef]
- Sydansk, R.D.; Southwell, G.P. More Than 12 Years of Experience with a Successful Conformance-Control Polymer Gel Technology. In Proceedings of the SPE/AAPG Western Regional Meeting, Long Beach, CA, USA, 19–22 June 2000. [Google Scholar]
- Lockhart, T.P. Chemical Properties of Chromium/Polyacrylamide Gels. SPE Adv. Technol. Ser. 1994, 2, 13–24. [Google Scholar] [CrossRef]
- Zhang, X.; Zhang, S.; Li, L.; Wu, R.; Liu, D.; Wu, J.; Wu, W. High-temperature-resistant polymer gel system with metal–organic mixed cross-linking agents. J. Appl. Polym. Sci. 2015, 132, 42261. [Google Scholar] [CrossRef]
- Goel, N.; Shah, S.N.; Yuan, W.L.; O’Rear, E.A. Suspension characteristics of borate-crosslinked gels: Rheology and atomic force microscopy measurements. J. Appl. Polym. Sci. 2001, 82, 2978–2990. [Google Scholar] [CrossRef]
- Bryant, S.L.; Bartosek, M.; Lockhart, T.P. Laboratory evaluation of phenol—Formaldehyde/polymer gelants for high-temperature applications. J. Pet. Sci. Eng. 1997, 17, 197–209. [Google Scholar] [CrossRef]
- Albonico, P.; Bartosek, M.; Malandrino, A.; Bryant, S.; Lockhart, T.P. Studies on Phenol-Formaldehyde Crosslinked Polymer Gels in Bulk and in Porous Media. In Proceedings of the SPE International Symposium on Oilfield Chemistry, San Antonio, TX, USA, 14–17 February 1995. [Google Scholar]
- ElKarsani, K.S.; Al-Muntasheri, G.A.; Sultan, A.S.; Hussein, I.A. Performance of PAM/PEI gel system for water shut-off in high temperature reservoirs: Laboratory study. J. Appl. Polym. Sci. 2015, 132, 41869. [Google Scholar] [CrossRef]
- Dovan, H.; Hutchins, R.; Sandiford, B. Delaying Gelation of Aqueous Polymers at Elevated Temperatures Using Novel Organic Crosslinkers. In Proceedings of the International Symposium on Oilfield Chemistry, Houston, TX, USA, 18–21 February 1997. [Google Scholar]
- Jia, H.; Zhao, J.-Z.; Jin, F.-Y.; Pu, W.-F.; Li, Y.-M.; Li, K.-X.; Li, J.-M. New insights into the gelation behavior of polyethyleneimine cross-linking partially hydrolyzed polyacrylamide gels. Ind. Eng. Chem. Res. 2012, 51, 12155–12166. [Google Scholar] [CrossRef]
- Zhuang, Y.; Pandey, S.; McCool, N.C.; Willhite, G. Permeability modification with sulfomethylated resorcinol-formaldehyde gel system. SPE Reserv. Eval. Eng. 2000, 3, 386–393. [Google Scholar] [CrossRef]
- Gommes, C.J.; Roberts, A.P. Structure development of resorcinol-formaldehyde gels: Microphase separation or colloid aggregation. Phys. Rev. E 2008, 77, 041409. [Google Scholar] [CrossRef] [PubMed]
- Yadav, U.S.; Mahto, V. Experimental studies, modeling and numerical simulation of gelation behavior of a partially hydrolyzed polyacrylamide-hexamine-pyrocatechol polymer gel system for profile modification jobs. Int. J. Adv. Pet. Eng. Technol. 2012, 1, 1–16. [Google Scholar]
- Liu, Y.; Dai, C.; Wang, K.; Zhao, M.; Zhao, G.; Yang, S.; Yan, Z.; You, Q. New insights into the hydroquinone (HQ)–hexamethylenetetramine (HMTA) gel system for water shut-off treatment in high temperature reservoirs. J. Ind. Eng. Chem. 2016, 35, 20–28. [Google Scholar] [CrossRef]
- He, H.; Wang, Y.; Zhang, J.; Xu, X.; Zhu, Y.; Bai, S. Comparison of Gelation Behavior and Morphology of Resorcinol–Hexamethylenetetramine–HPAM Gel in Bulk and Porous Media. Transp. Porous Media 2015, 109, 377–392. [Google Scholar] [CrossRef]
- Albonico, P.; Burrafato, G.; Di Lullo, A.; Lockhart, T. Effective Gelation-Delaying Additives for Cr+ 3/polymer Gels. In Proceedings of the SPE International Symposium on Oilfield Chemistry, New Orleans, LA, USA, 2–5 March 1993. [Google Scholar]
- Willhite, G.P.; Pancake, R.E. Controlling Water Production Using Gelled Polymer Systems. SPE Reserv. Eval. Eng. 2008, 11, 454–465. [Google Scholar] [CrossRef]
- Sydansk, R.D.; Argabright, P.A. Conformance Improvement in a Subterranean Hydrocarbon-Bearing Formation Using a Polymer Gel. Google Patents US4683949 A, 4 August 1987. [Google Scholar]
- He, H.; Wang, Y.; Zhang, J. Novel Gel with Controllable Strength for In-Depth Conformance Control: Bulk Gelation Performance and Propagation Properties in Porous Media. J. Dispers. Sci. Technol. 2015, 36, 626–633. [Google Scholar] [CrossRef]
- Haas, P.A.; Pitt, W.W., Jr.; Robinson, S.M.; Ryon, A.D. Preparation of metal oxide gel spheres with hexamethylenetetramine as an ammonia donor. Ind. Eng. Chem. Prod. Res. Dev. 1983, 22, 461–466. [Google Scholar] [CrossRef]
© 2017 by the authors. Licensee MDPI, Basel, Switzerland. This article is an open access article distributed under the terms and conditions of the Creative Commons Attribution (CC BY) license (http://creativecommons.org/licenses/by/4.0/).