Multi-Frequency Control in a Stand-Alone Multi-Microgrid System Using a Back-To-Back Converter
Abstract
:1. Introduction
2. Inverter-Based Distributed Generation
3. A Stand-Alone MMG System and Proposed Multi-Frequency Control
3.1. Control Diagram of Converter 1
3.2. Multi-Frequency Control for Converter 2
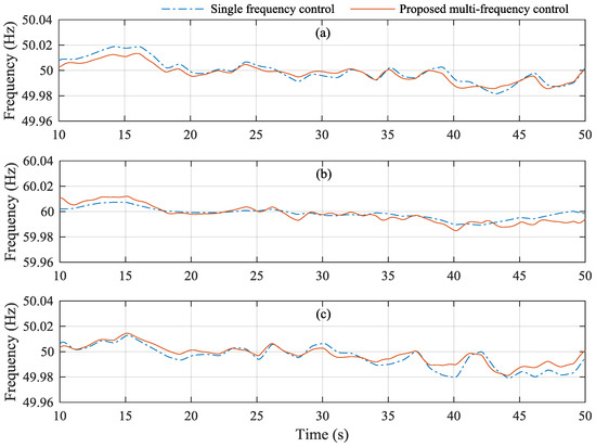
4. Simulation Results
4.1. Simple MMG system
- Case 1: 10 kW load connects to MG1 at 3 s and 20 kW load disconnects from MG1 at 7 s.
- Case 2: 10 kW load connects to MG2 at 3 s and 20 kW load disconnects from MG2 at 7 s.
- Case 3: 10 kW load connects to MG1 at 3 s and 10 kW load connects to MG2 at 7 s.
4.2. Complex MMG system
5. Conclusions
Acknowledgments
Author Contributions
Conflicts of Interest
References
- Nikmehr, N.; Najafi, R.S. Reliability Evaluation of Multi-Microgrids Considering Optimal Operation of Small Scale Energy Zones under Load-Generation Uncertainties. Int. J. Electr. Power Energy Syst. 2016, 78, 80–87. [Google Scholar] [CrossRef]
- Arefifar, S.A.; Ordonez, M.; Mohamed, Y.A.I.; Member, S. Energy Management in Multi-Microgrid Systems—Development and Assessment. IEEE Trans. Power Syst. 2017, 32, 910–922. [Google Scholar] [CrossRef]
- Song, N.-O.; Lee, J.-H.; Kim, H.-M. Optimal Electric and Heat Energy Management of Multi-Microgrids with Sequentially-Coordinated Operations. Energies 2016, 9, 473. [Google Scholar] [CrossRef]
- Chanda, S.; Srivastava, A.K.; Member, S. Electric Distribution Systems with Multiple Microgrids. IEEE Trans. Smart Grid. 2016, 7, 2859–2868. [Google Scholar] [CrossRef]
- Hussain, A.; Bui, V.-H.; Kim, H.-M. Robust Optimization-Based Scheduling of Multi-Microgrids Considering Uncertainties. Energies 2016, 9, 278. [Google Scholar] [CrossRef]
- Farzin, H.; Member, S.; Fotuhi-firuzabad, M. Enhancing Power System Resilience through Hierarchical Outage Management in Multi-Microgrids. IEEE Trans. Smart Grid. 2016, 7, 2869–2879. [Google Scholar] [CrossRef]
- Hossain, M.J.; Mahmud, M.A.; Milano, F.; Bacha, S.; Hably, A. Design of Robust Distributed Control for Interconnected Microgrids. IEEE Trans. Smart Grid 2016, 7, 2724–2735. [Google Scholar] [CrossRef]
- Suh, J.; Yoon, D.H.; Cho, Y.S.; Jang, G. Flexible Frequency Operation Strategy of Power System with High Renewable Penetration. IEEE Trans. Sustain. Energy. 2017, 8, 192–199. [Google Scholar] [CrossRef]
- Liu, W.; Gu, W.; Xu, Y.; Wang, Y.; Zhang, K. General Distributed Secondary Control for Multi-Microgrids with Both PQ-Controlled and Droop-Controlled Distributed Generators. IET Gener. Transm. Distrib. 2017, 11, 707–718. [Google Scholar] [CrossRef]
- Zamora, R.; Srivastava, A.K.; Member, S. Multi-Layer Architecture for Voltage and Frequency Control in Networked Microgrids. IEEE Trans. Smart Grid 2016, PP. [Google Scholar] [CrossRef]
- Wu, J.; Guan, X. Coordinated Multi-Microgrids Optimal Control Algorithm for Smart Distribution. IEEE Trans. Smart Grid 2013, 4, 2174–2181. [Google Scholar] [CrossRef]
- Chiu, W.; Sun, H.; Poor, H.V.A. Multiobjective Approach to Multimicrogrid System Design. IEEE Trans. Smart Grid 2015, 6, 2263–2272. [Google Scholar] [CrossRef]
- Yuen, C.; Oudalov, A.; Timbus, A. The Provision of Frequency Control Reserves from Multiple Microgrids. IEEE Trans. Ind. Electron. 2011, 58, 173–183. [Google Scholar] [CrossRef]
- Wang, C.; Yang, P.; Ye, C.; Wang, Y.; Xu, Z.; Member, S. Voltage Control Strategy for Three/Single Phase Hybrid Multimicrogrid. IEEE Trans. Energy Convers. 2016, 31, 1498–1509. [Google Scholar] [CrossRef]
- Arefifar, S.A.; Ordonez, M.; Mohamed, Y.A.I. Voltage and Current Controllability in Multi-Microgrid Smart Distribution Systems. IEEE Trans. Smart Grid 2016, PP. [Google Scholar] [CrossRef]
- Nutkani, I.U.; Loh, P.C.; Wang, P.; Jet, T.K.; Blaabjerg, F. Intertied AC-AC Microgrids with Autonomous Power Import and Export. Int. J. Electr. Power Energy Syst. 2015, 65, 385–393. [Google Scholar] [CrossRef]
- Nutkani, I.U.; Loh, P.C.; Member, S.; Blaabjerg, F. Distributed Operation of Interlinked AC Microgrids with Dynamic Active and Reactive Power Tuning. IEEE Trans. Ind. Appl. 2013, 49, 2188–2196. [Google Scholar] [CrossRef]
- Kargarian, A.; Rahmani, M. Multi-Microgrid Energy Systems Operation Incorporating Distribution-Interline Power Flow Controller. Electr. Power Syst. Res. 2015, 129, 208–216. [Google Scholar] [CrossRef]
- Bala, S.; Venkataramanan, G. Autonomous power electronic interfaces between microgrids. In Proceedings of the IEEE Energy Conversion Congress and Exposition, San Jose, CA, USA, 20–24 September 2009; pp. 3006–3013. [Google Scholar]
- ABB Project Reference: Ross Island, Wind/Diesel System Antarctica. Available online: http://new.abb.com/power-generation/references/ross-island-research-station (accessed on 16 June 2017).
- Majumder, R.; Ghosh, A.; Ledwich, G.; Zare, F. Power Management and Power Flow Control with Back-to-Back Converters in a Utility Connected Microgrid. IEEE Trans. Power Syst. 2010, 25, 821–834. [Google Scholar] [CrossRef]
- Majumder, R. A Hybrid Microgrid with DC Connection at Back to Back Converters. IEEE Trans. Smart Grid 2014, 5, 251–259. [Google Scholar] [CrossRef]
- Niiranen, J.; Komsi, R.; Routimo, M.; Lähdeaho, T.; Antila, S. Experiences from a back-to-back converter fed village microgrid. In Proceedings of the IEEE Innovative Smart Grid Technologies Conference Europe (ISGT Europe), Gothenberg, Sweden, 11–13 October 2010; pp. 1–5. [Google Scholar]
- Majumder, R.; Dewadasa, M.; Ghosh, A.; Ledwich, G.; Zare, F. Control and Protection of a Microgrid Connected to Utility Through Back-To-Back Converters. Electr. Power Syst. Res. 2011, 81, 1424–1435. [Google Scholar] [CrossRef]
- Goyal, M.; Ghosh, A. Microgrids Interconnection to Support Mutually During Any Contingency. Sustain. Energy Grids Netw. 2016, 6, 100–108. [Google Scholar] [CrossRef]
- Susanto, J.; Shahnia, F.; Ghosh, A.; Rajakaruna, S. Interconnected microgrids via back-to-back converters for dynamic frequency support. In Proceedings of the IEEE Power Engineering Conference (AUPEC), 2014 Australian Universities, Perth, WA, Australia, 28 September–1 October 2014; pp. 1–6. [Google Scholar]
- Hagiwara, M.; Akagi, H. An Approach to Regulating the DC-Link Voltage of a Voltage-Source BTB System during Power Line Faults. IEEE Trans. Ind. Appl. 2005, 41, 1263–1271. [Google Scholar] [CrossRef]
- Tang, C.Y.; Chen, Y.F.; Chen, Y.M.; Chang, Y.R. Dc-Link Voltage Control Strategy for Three-Phase Back-To-Back Active Power Conditioners. IEEE Trans. Ind. Electron. 2015, 62, 6306–6316. [Google Scholar] [CrossRef]
- Tang, C.Y.; Tsai, C.J.; Chen, Y.M.; Chang, Y.R. Dynamic Optimal AC Line Current Regulation Method for Three-Phase Active Power Conditioners. IEEE J. Emerg. Select. Top. Power Electron. 2017, 5, 901–911. [Google Scholar] [CrossRef]
- Khederzadeh, M.; Maleki, H.; Asgharian, V. Frequency Control Improvement of two Adjacent Microgrids in Autonomous Mode Using Back to Back Voltage-Sourced Converters. Int. J. Electr. Power Energy Syst. 2016, 74, 126–133. [Google Scholar] [CrossRef]
- Madureira, A.G.; Pereira, J.C.; Gil, N.J.; Lopes, J.A.P.; Korres, G.N.; Hatziargyriou, N.D. Advanced Control and Management Functionalities for Multi-Microgrids. Eur. Trans. Elect. Power 2011, 21, 1159–1177. [Google Scholar] [CrossRef]
- Pogaku, N.; Prodanovic, M.; Green, T.C. Modeling, Analysis and Testing of Autonomous Operation of an Inverter-Based Microgrid. IEEE Trans. Power Electron. 2007, 22, 613–625. [Google Scholar] [CrossRef]





















| Components | Microgrid 1 | Microgrid 2 |
|---|---|---|
| System frequency | 50 Hz | 60 Hz |
| Maximum frequency deviation | 0.2 Hz | 0.2 Hz |
| System voltage | 380 V | 380 V |
| Nominal power of DG | 40 kW | 40 kW |
| Load | 20 kW | 20 kW |
© 2017 by the authors. Licensee MDPI, Basel, Switzerland. This article is an open access article distributed under the terms and conditions of the Creative Commons Attribution (CC BY) license (http://creativecommons.org/licenses/by/4.0/).
Share and Cite
Yoo, H.-J.; Nguyen, T.-T.; Kim, H.-M. Multi-Frequency Control in a Stand-Alone Multi-Microgrid System Using a Back-To-Back Converter. Energies 2017, 10, 822. https://doi.org/10.3390/en10060822
Yoo H-J, Nguyen T-T, Kim H-M. Multi-Frequency Control in a Stand-Alone Multi-Microgrid System Using a Back-To-Back Converter. Energies. 2017; 10(6):822. https://doi.org/10.3390/en10060822
Chicago/Turabian StyleYoo, Hyeong-Jun, Thai-Thanh Nguyen, and Hak-Man Kim. 2017. "Multi-Frequency Control in a Stand-Alone Multi-Microgrid System Using a Back-To-Back Converter" Energies 10, no. 6: 822. https://doi.org/10.3390/en10060822
APA StyleYoo, H.-J., Nguyen, T.-T., & Kim, H.-M. (2017). Multi-Frequency Control in a Stand-Alone Multi-Microgrid System Using a Back-To-Back Converter. Energies, 10(6), 822. https://doi.org/10.3390/en10060822

