Large-Eddy Simulations of Two In-Line Turbines in a Wind Tunnel with Different Inflow Conditions
Abstract
:1. Introduction
2. Methodology
2.1. Governing Equations and Turbulence Modeling
2.2. Rotor Modeling
2.3. Numerical Scheme
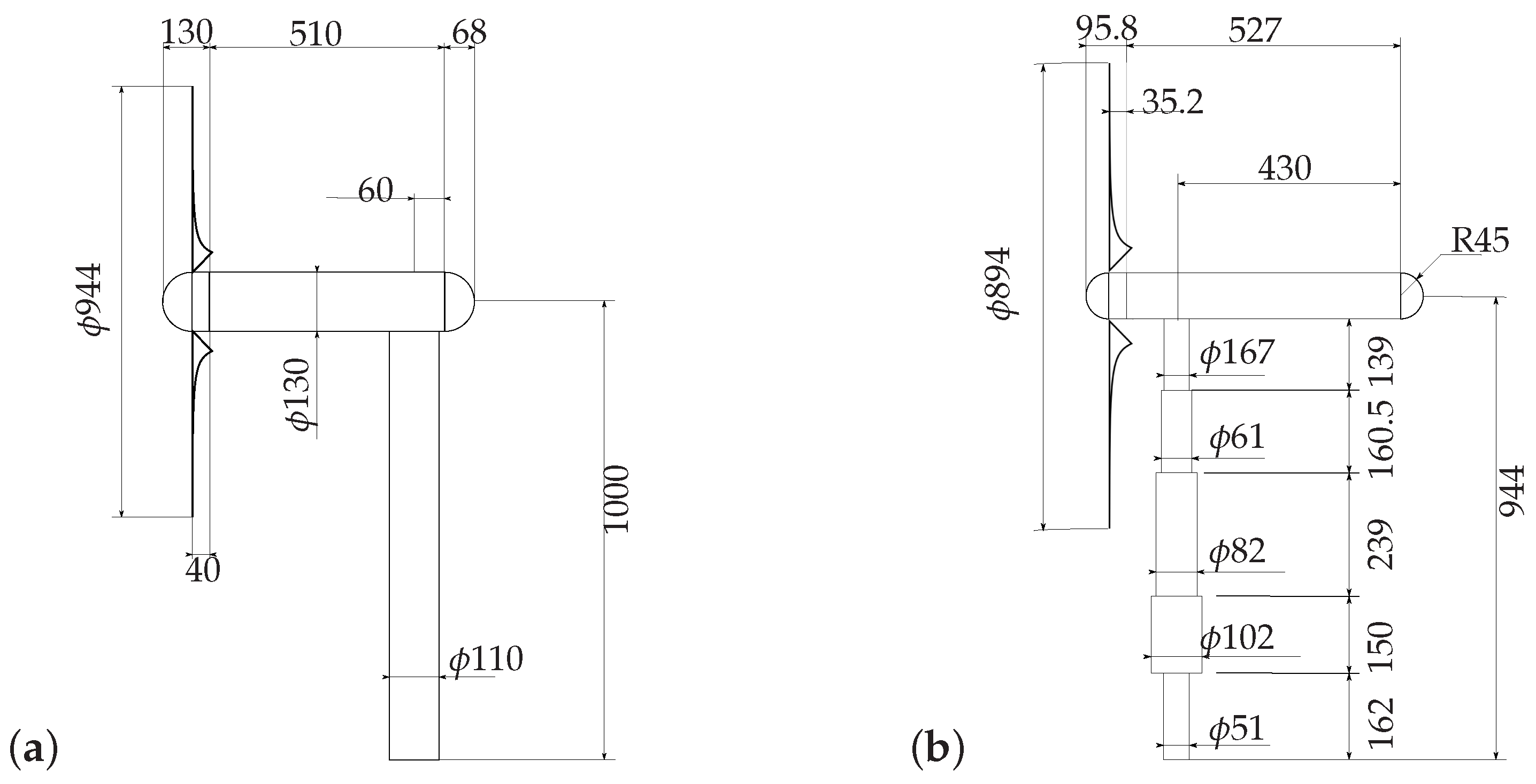
3. Simulation Setup
4. Results
4.1. Simulations of the Empty Wind Tunnel
4.2. Simulations of the Two-Turbine Array
4.2.1. Mean Flow
4.2.2. Turbulent Kinetic Energy
4.2.3. Wake Structures
4.2.4. Performances
5. Conclusions
Acknowledgments
Author Contributions
Conflicts of Interest
References
- Barlas, T.K.; van Kuik, G.A.M. State of the art and prospectives of smart rotor control fow wind turbines. J. Phys. Conf. Ser. 2007, 75, 012080. [Google Scholar] [CrossRef]
- Van Wingerden, J.W.; Hulskamp, A.W.; Barlas, T.; Marrant, B.; van Kuik, G.A.M.; Molenaar, D.-P.; Verhaegen, M. On the proof of concept of a ‘smart’ wind turbine rotor blade for load alleviation. Wind Energy 2008, 11, 265–280. [Google Scholar] [CrossRef]
- Lackner, M.A.; van Kuik, G. A comparison of smart rotor control approaches using trailing edge flaps and individual pitch control. Wind Energy 2010, 13, 117–134. [Google Scholar] [CrossRef]
- Katić, I.; Højstrup, J.; Jensen, N.O. A simple model for cluster efficiency. In Proceedings of the European Wind Energy Association Conference and Exhibition, Rome, Italy, 7–9 October 1986. [Google Scholar]
- Larsen, G.C. A Simple Wake Calculation Procedure; Technical Report Risø-M-2760; Risø National Laboratory: Roskilde, Denmark, 1988. [Google Scholar]
- Ainslie, J.F. Calculating the flowfield in the wake of wind turbines. J. Wind Eng. Ind. Aerodyn. 1988, 27, 213–224. [Google Scholar] [CrossRef]
- Frandsen, S.; Barthelmie, R.; Pryor, S.; Rathmann, O.; Larsen, S.; Højstrup, J. Analytical modelling of wind speed deficit in large offshore wind farms. Wind Energy 2006, 9, 39–53. [Google Scholar] [CrossRef]
- Calaf, M.; Meneveau, C.; Meyers, J. Large eddy simulation study of fully developed wind-turbine array boundary layers. Phys. Fluids 2010, 22, 015110. [Google Scholar] [CrossRef]
- Churchfield, M.; Lee, S.; Moriarty, P.; Martinez, L.; Leonardi, S.; Vijayakumar, G.; Brasseur, J. A large-eddy simulation of wind-plant aerodynamics. In Proceedings of the 50th AIAA Aerospace Sciences Meeting, Nashville, TN, USA, 9–12 January 2012. [Google Scholar]
- Wu, Y.T.; Porté-Agel, F. Atmospheric turbulence effects on wind-turbine wakes: An LES study. Energies 2012, 5, 5340–5362. [Google Scholar] [CrossRef]
- Nilsson, K.; Ivanell, S.; Hansen, K.S.; Mikkelsen, R.; Sørensen, J.N.; Breton, S.-P.; Henningson, D. Large-eddy simulation of the Lillgrund wind farm. Wind Energy 2015, 18, 449–467. [Google Scholar] [CrossRef]
- Angelidis, D.; Chawdhary, S.; Sotiropoulos, F. Unstructured Cartesian refinement with sharp interface immersed boundary method for 3D unsteady incompressible flows. J. Comput. Phys. 2017. [Google Scholar] [CrossRef]
- Simms, D.; Schreck, S.; Hand, M.; Fingersh, L.J. NREL Unsteady Aerodynamics Experiment in the NASA-Ames Wind Tunnel: A Comparison of Predictions to Measurements; NREL Technical Report NREL/TP-500-29494; National Renewable Energy Laboratory: Pittsburgh, PA, USA, 2001.
- Schepers, J.G.; Boorsma, K.; Munduate, X. Final Results from Mexnext-I: Analysis of detailed aerodynamic measurements on a 4.5 m diameter rotor placed in the large German Dutch Wind Tunnel DNW. J. Phys. Conf. Ser. 2014, 555, 012089. [Google Scholar] [CrossRef]
- Krogstad, P.-Å.; Eriksen, P.E. “Blind test” calculations of the performance and wake development for a model wind turbine. Renew. Energy 2013, 50, 325–333. [Google Scholar] [CrossRef]
- Pierella, F.; Krogstad, P.-Å.; Sætran, L. Blind Test 2 calculations for two in-line model wind turbines where the downstream turbine operates at various rotational speeds. Renew. Energy 2014, 70, 62–77. [Google Scholar] [CrossRef]
- Krogstad, P.-Å.; Sætran, L.; Adaramola, M.S. “Blind Test 3” calculations of the performance and wake development behind two in-line and offset model wind turbines. J. Fluids Struct. 2015, 52, 65–80. [Google Scholar] [CrossRef]
- Sætran, L.; Bartl, J. Invitation to the 2015 “Blind Test 4” Workshop—Combined Power Output of Two In-Line Turbines at Different Inflow Conditions; Technical Report; Department of Energy and Process Engineering, NTNU: Trondheim, Norway, 2015. [Google Scholar]
- Bartl, J.; Sætran, L. Blind test comparison of the performance and wake flow between two in-line wind turbines exposed to different turbulent inflow conditions. Wind Energy Sci. 2017, 2, 55–76. [Google Scholar] [CrossRef]
- Li, Q.; Murata, J.; Endo, M.; Maeda, T.; Kamada, Y. Experimental and numerical investigation of the effect of turbulent inflow on a Horizontal Axis Wind Turbine (Part I: Power performance). Energy 2016, 113, 713–722. [Google Scholar] [CrossRef]
- Li, Q.; Murata, J.; Endo, M.; Maeda, T.; Kamada, Y. Experimental and numerical investigation of the effect of turbulent inflow on a Horizontal Axis Wind Turbine (Part II: Wake characteristics). Energy 2016, 113, 1304–1315. [Google Scholar] [CrossRef]
- Chamorro, L.P.; Lee, S.-J.; Olsen, D.; Milliren, C.; Marr, J.; Arndt, R.E.A.; Sotiropoulos, F. Turbulence effects on a full-scale 2.5 MW horizontal-axis wind turbine under neutrally stratified conditions. Wind Energy 2015, 18, 339–349. [Google Scholar] [CrossRef]
- Chamorro, L.P.; Porté-Agel, F. A wind-tunnel investigation of wind-turbine wakes: Boundary-layer turbulence effects. Bound.-Layer Meteorol. 2009, 132, 129–149. [Google Scholar] [CrossRef]
- Zhang, W.; Markfort, C.D.; Porté-Agel, F. Near-wake flow structure downwind of a wind turbine in a turbulent boundary layer. Exp. Fluids 2012, 52, 1219–1235. [Google Scholar] [CrossRef]
- Porté-Agel, F.; Lu, H.; Wu, Y.-T. A large-eddy simulation framework for wind energy applications. In Proceedings of the Fifth International Symposium on Computational Wind Engineering, Chapel Hill, NC, USA, 23–27 May 2010. [Google Scholar]
- Troldborg, N.; Sørensen, J.N.; Mikkelsen, R. Actuator line simulation of wake of wind turbine operating in turbulent inflow. J. Phys. Conf. Ser. 2007, 75, 012063. [Google Scholar] [CrossRef]
- Talavera, M.; Shu, F. Experimental study of turbulence intensity influence on wind turbine performance and wake recovery in a low-speed wind tunnel. Renew. Energy 2017, 109, 363–371. [Google Scholar] [CrossRef]
- Batchelor, G.K. The Theory of Homogeneous Turbulence; Cambridge University Press: Cambridge, UK, 1953. [Google Scholar]
- Comte-Bellot, G.; Corrsin, S. The use of a contraction to improve the isotropy of grid-generated turbulence. J. Fluid Mech. 1966, 48, 273–337. [Google Scholar] [CrossRef]
- Mydlarski, L.; Warhaft, Z. On the onset of high-Reynolds-number grid-generated wind tunnel turbulence. J. Fluid Mech. 1996, 320, 331–368. [Google Scholar] [CrossRef]
- Krogstad, P.-Å.; Davidson, P.A. Is grid turbulence Saffman turbulence? J. Fluid Mech. 2010, 642, 373–394. [Google Scholar] [CrossRef]
- Orlandi, P.; Leonardi, S. DNS of turbulent channel flows with two- and three-dimensional roughness. J. Turbul. 2006, 7, N73. [Google Scholar] [CrossRef]
- Foti, D.; Yang, X.; Campagnolo, F.; Maniaci, D.; Sotiropoulos, F. On the use of spires for generating inflow conditions with energetic coherent structures in large eddy simulation. J. Turbul. 2017, 18, 611–633. [Google Scholar] [CrossRef]
- Smagorinsky, J. General circulation experiments with the primitive equations. Mon. Weather Rev. 1963, 91, 99–164. [Google Scholar] [CrossRef]
- Nicoud, F.; Baya Toda, H.; Cabrit, O.; Bose, S.; Lee, J. Using singular values to build a subgrid-scale model for large eddy simulations. Phys. Fluids 2011, 23, 085106. [Google Scholar] [CrossRef]
- Sørensen, J.N.; Shen, W.Z. Computation of wind turbine wakes using combined Navier-Stokes/actuator-line Methodology. In Proceedings of the European Wind Energy Conference, Nice, France, 1–5 March 1999. [Google Scholar]
- Martínez-Tossas, L.A.; Churchfield, M.J.; Leonardi, S. Large eddy simulations of the flow past wind turbines: Actuator line and disk modeling. Wind Energy 2014, 17, 657–669. [Google Scholar] [CrossRef]
- Ciri, U.; Carrasquillo, K.; Santoni, C.; Iungo, G.V.; Salvetti, M.; Leonardi, S. Effects of the subgrid-scale modeling in the lare-eddy simulations of wind turbines and wind farms. In Proceedings of the 10th Workshop of Direct and Large-Eddy Simulation, Limassol, Cyprus, 27–29 May 2015. [Google Scholar]
- Orlandi, P. Fluid Flow Phenomena: A Numerical Toolkit; Kluwer Academic Publishers: Dordrecht, The Netherlands, 2000. [Google Scholar]
- Wray, A.A. Very Low Storage Time-Advancement Schemes; Technical Report; Internal Report NASA Ames Research Center: Moffet Field, CA, USA, 1987.
- Kim, J.; Moin, P. Application of a fractional-step method to incompressible Navier-Stokes equations. J. Comput. Phys. 1985, 59, 308–323. [Google Scholar] [CrossRef]
- Van Driest, E.R. On turbulent flow near a wall. J. Aeronaut. Sci. 1956, 23, 1007–1011. [Google Scholar] [CrossRef]
- Orlanski, I. A simple boundary condition for unbounded hyperbolic flows. J. Comput. Phys. 1976, 21, 251–269. [Google Scholar] [CrossRef]
- Frenkiel, F.N. The decay of isotropic turbulence. Trans. Am. Soc. Mech. Eng. J. Appl. Mech. 1948, 70, 311–321. [Google Scholar]
- Roach, P.E. The generation of nearly isotropic turbulence by means of grid. Int. J. Heat Fluid Flow 1987, 8, 82–92. [Google Scholar] [CrossRef]
- Lumley, J.L. Computational modeling of turbulent flows. Adv. Appl. Mech. 1979, 18, 123–176. [Google Scholar]
- Smalley, R.J.; Leonardi, S.; Antonia, R.A.; Djenidi, L.; Orlandi, P. Reynolds stress anisotropy of turbulent rough wall layers. Exp. Fluids 2002, 33, 31–37. [Google Scholar] [CrossRef]
- Pope, S.B. Turbulent Flows; Cambridge University Press: Cambridge, UK, 2000. [Google Scholar]
- Sarlak, H.; Meneveau, C.; Sørensen, J.N. Role of subgrid-scale modelling in large eddy simulation of wind turbine wake interactions. Renew. Energy 2014, 77, 386–399. [Google Scholar] [CrossRef]
- Santoni, C.; Carrasquillo, K.; Arenas-Navarro, I.; Leonardi, S. Effect of tower and nacelle on the flow past a wind turbine. Wind Energy 2017, in press. [Google Scholar] [CrossRef]
- Hussain, A.K.M.F.; Reynolds, W.C. The mechanics of an organized wave in turbulent shear flow (Part 2). J. Fluid Mech. 1970, 41, 241–258. [Google Scholar] [CrossRef]
- Buhl, M., Jr. MCrunch User’s Guide for Version 1.00; NREL Technical Report NREL/TP-500-43139; National Renewable Energy Laboratory: Pittsburgh, PA, USA, 2008.
- Downing, S.D.; Socie, D.F. Simple rainflow counting algorithms. Int. J. Fatigue 1982, 4, 31–40. [Google Scholar] [CrossRef]
- Kolmogorov, A.N. The local structure of turbulence in incompressible viscous fluid for very large Reynolds numbers. Dokl. Akad. Nauk SSSR 1941, 30, 301–305. [Google Scholar] [CrossRef]
- Apt, J. The spectrum of power from wind turbines. J. Power Sources 2007, 168, 369–374. [Google Scholar] [CrossRef]



,
,
,
[44,45]. Symbols show measurements performed in the (empty) Norwegian University of Science and Technology (NTNU) tunnel at the location of the first () and second () turbine; denotes the distance from the grid, d is the dimension of the grid square bars. (b) Anisotropy function [46,47] along the wall-normal direction:
(),
(),
(),
(). The origin of the vertical axis () is taken at the hub height when the turbines are placed in the tunnel. M is the grid mesh size.
,
,
,
[44,45]. Symbols show measurements performed in the (empty) Norwegian University of Science and Technology (NTNU) tunnel at the location of the first () and second () turbine; denotes the distance from the grid, d is the dimension of the grid square bars. (b) Anisotropy function [46,47] along the wall-normal direction:
(),
(),
(),
(). The origin of the vertical axis () is taken at the hub height when the turbines are placed in the tunnel. M is the grid mesh size.

no grid,
uniform grid,
non-uniform grid. The vertical lines (
) denote the location of the grid and of the turbines.
no grid,
uniform grid,
non-uniform grid. The vertical lines (
) denote the location of the grid and of the turbines.
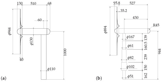
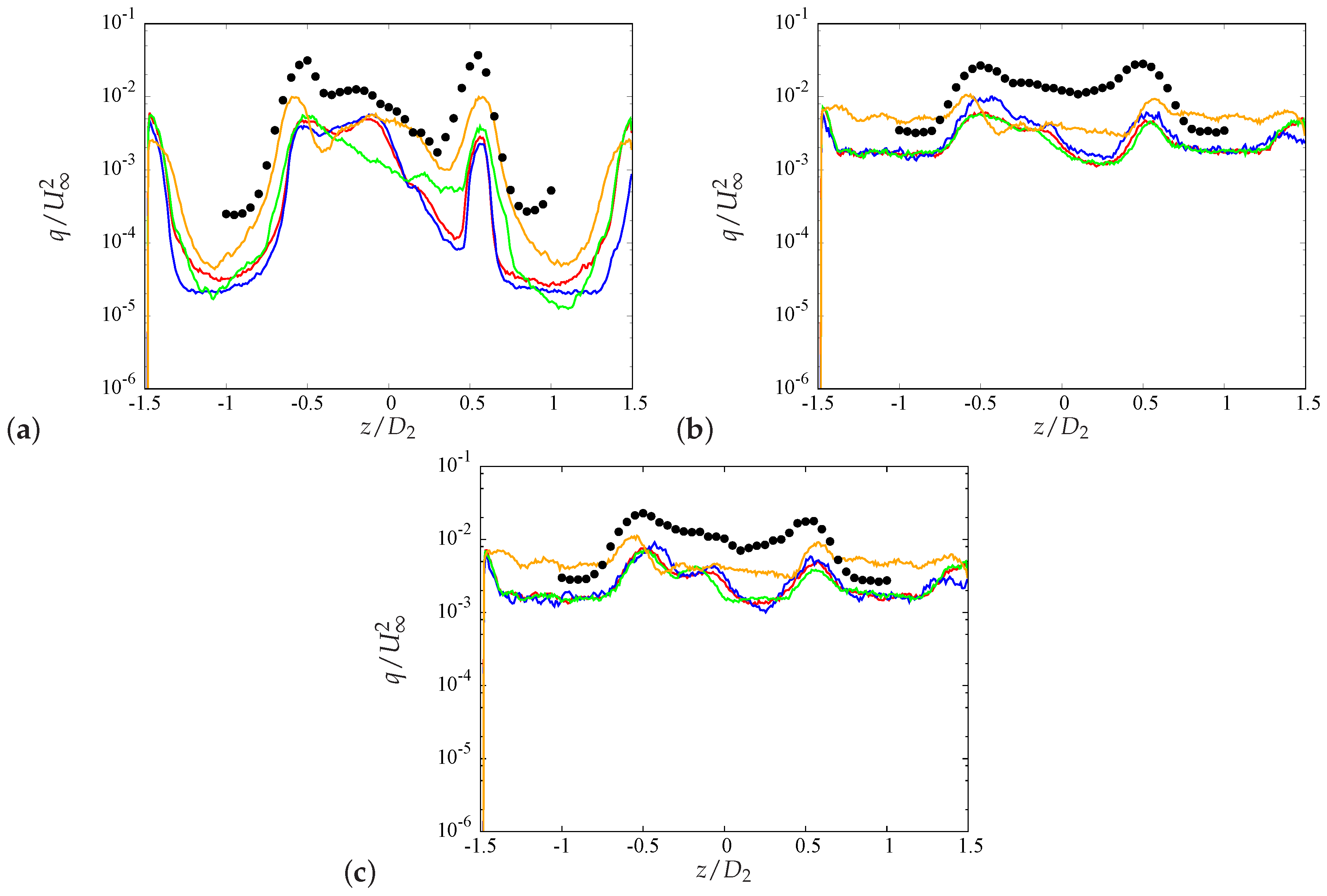
no grid,
uniform grid,
non-uniform grid; (a) ( upstream of the first turbine); (b) ( downstream of the first turbine); (c) ( downstream of the first turbine); (d) ( downstream of the second turbine).
no grid,
uniform grid,
non-uniform grid; (a) ( upstream of the first turbine); (b) ( downstream of the first turbine); (c) ( downstream of the first turbine); (d) ( downstream of the second turbine).
); Smagorinsky RADM (
); Smagorinsky ALM (
); Smagorinsky ALM (
). (a) No grid; (b) uniform grid; (c) non-uniform grid.
); Smagorinsky RADM (
); Smagorinsky ALM (
); Smagorinsky ALM (
). (a) No grid; (b) uniform grid; (c) non-uniform grid.

); Smagorinsky RADM (
); Smagorinsky ALM (
); Smagorinsky ALM (
). (a) No grid; (b) uniform grid; (c) non-uniform grid.
); Smagorinsky RADM (
); Smagorinsky ALM (
); Smagorinsky ALM (
). (a) No grid; (b) uniform grid; (c) non-uniform grid.



no grid,
uniform grid,
non-uniform grid; (a) first turbine; (b) second turbine.
no grid,
uniform grid,
non-uniform grid; (a) first turbine; (b) second turbine.
no grid,
uniform grid,
non-uniform grid; (a) first turbine; (b) second turbine.
no grid,
uniform grid,
non-uniform grid; (a) first turbine; (b) second turbine.

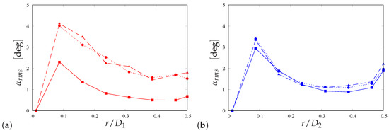
no grid case;
non-uniform grid;
slope. The vertical lines indicate three times the rotational frequency of the first (
) and second (
) turbine.
no grid case;
non-uniform grid;
slope. The vertical lines indicate three times the rotational frequency of the first (
) and second (
) turbine.
| SGS Model | Model Constant | Rotor Model |
|---|---|---|
| -model | RADM | |
| Smagorinsky | RADM | |
| Smagorinsky | ALM | |
| Smagorinsky | ALM |
© 2017 by the authors. Licensee MDPI, Basel, Switzerland. This article is an open access article distributed under the terms and conditions of the Creative Commons Attribution (CC BY) license (http://creativecommons.org/licenses/by/4.0/).
Share and Cite
Ciri, U.; Petrolo, G.; Salvetti, M.V.; Leonardi, S. Large-Eddy Simulations of Two In-Line Turbines in a Wind Tunnel with Different Inflow Conditions. Energies 2017, 10, 821. https://doi.org/10.3390/en10060821
Ciri U, Petrolo G, Salvetti MV, Leonardi S. Large-Eddy Simulations of Two In-Line Turbines in a Wind Tunnel with Different Inflow Conditions. Energies. 2017; 10(6):821. https://doi.org/10.3390/en10060821
Chicago/Turabian StyleCiri, Umberto, Giovandomenico Petrolo, Maria Vittoria Salvetti, and Stefano Leonardi. 2017. "Large-Eddy Simulations of Two In-Line Turbines in a Wind Tunnel with Different Inflow Conditions" Energies 10, no. 6: 821. https://doi.org/10.3390/en10060821
APA StyleCiri, U., Petrolo, G., Salvetti, M. V., & Leonardi, S. (2017). Large-Eddy Simulations of Two In-Line Turbines in a Wind Tunnel with Different Inflow Conditions. Energies, 10(6), 821. https://doi.org/10.3390/en10060821

