Tidal Current Power Resources and Influence of Sea-Level Rise in the Coastal Waters of Kinmen Island, Taiwan
Abstract
:1. Introduction
2. Materials and Methods
2.1. Hydrodynamic Model
2.2. Calculation of Tidal Current Power
2.3. Model Configuration
2.4. Model Performance Indicators
3. Results
3.1. Model Validation for Tide Level and Tidal Currents
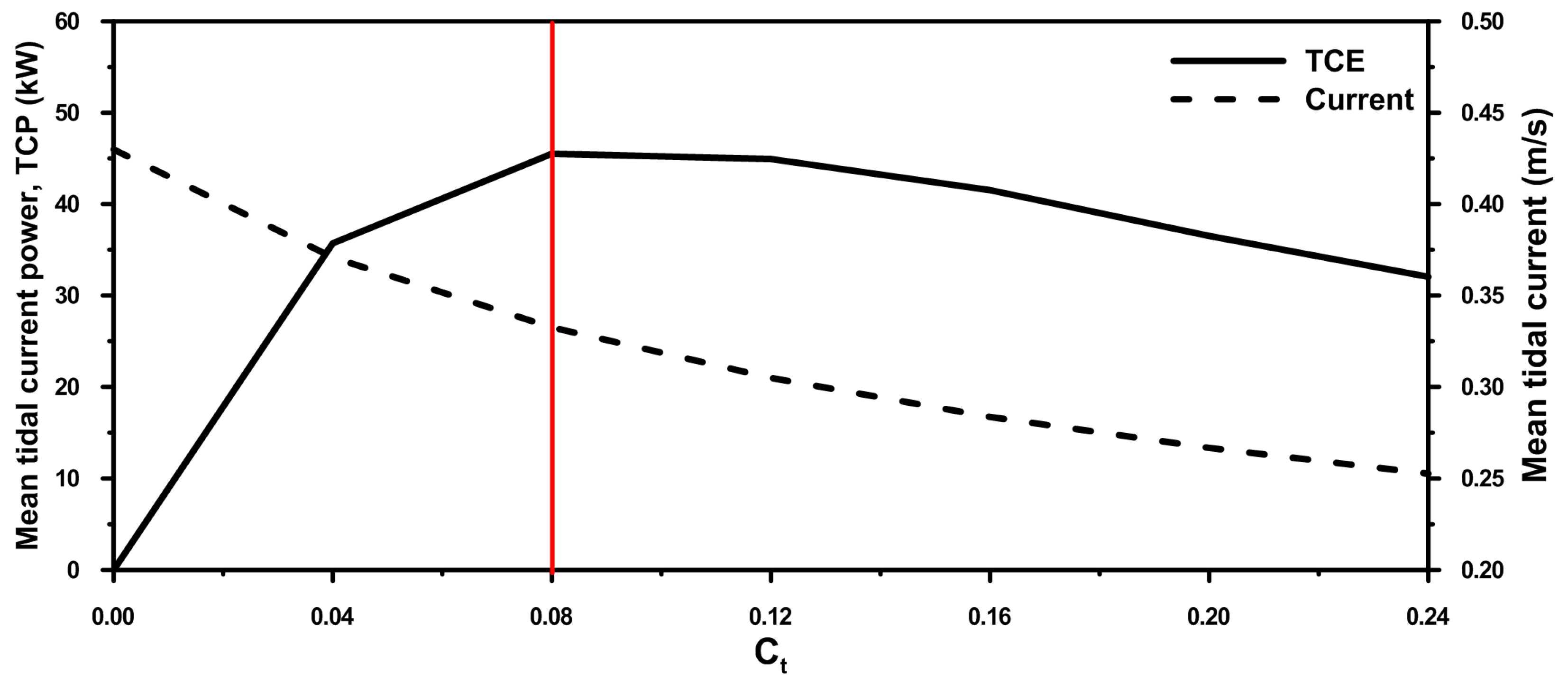
3.2. Assessment of Maximum Tidal Current Power
3.3. Influence of Tidal Current Power Extraction on Hydrodynamics
3.4. Influence of Sea-Level Rise on Tidal Current Power Output
4. Discussion and Future Work
5. Conclusions
Acknowledgments
Author Contributions
Conflicts of Interest
References
- Solomon, S.; Qin, D.; Manning, M.; Chen, Z.; Marquis, M.; Averyt, K.B.; Tignor, M.; Miller, H.L. Climate Change 2007: The Physical Science Basis. Contribution of Working Group I to the Fourth Assessment Report of the Intergovernmental Panel on Climate Change; Cambridge University Press: Cambridge, UK, 2007. [Google Scholar]
- Defne, Z.; Hass, K.A.; Fritz, H.M. Numerical modeling of tidal currents and the effects of power extraction on estuarine hydrodynamics along the Georgia coast, USA. Renew. Energy 2011, 36, 3461–3471. [Google Scholar] [CrossRef]
- Lewis, M.J.; Angeloudis, A.; Robins, P.E.; Evans, P.S.; Neill, S.P. Influence of storm surge on tidal range energy. Energy 2017, 122, 25–36. [Google Scholar] [CrossRef]
- Lewis, M.; Neill, S.P.; Robins, P.E.; Hasheme, M.R. Resource assessment for future generations of tidal-stream energy arrays. Energy 2015, 83, 403–415. [Google Scholar] [CrossRef]
- Garrett, C.; Cummins, P. The power potential of tidal currents in channels. Proc. R. Soc. A 2005, 461, 2563–2572. [Google Scholar] [CrossRef]
- Polagye, B.; Kawase, M.; Malte, P. In-stream tidal energy potential of Puget Sound, Washington. Proc. Inst. Mech. Eng. Part A 2009, 223, 571–587. [Google Scholar] [CrossRef]
- Walkington, I.; Burrows, R. Modelling tidal stream power potential. Appl. Ocean Res. 2009, 31, 239–245. [Google Scholar] [CrossRef]
- Chen, W.-B.; Liu, W.-C.; Hsu, M.-H. Modeling assessment of tidal current energy at Kinmen Island, Taiwan. Renew. Energy 2013, 50, 1073–1082. [Google Scholar] [CrossRef]
- Chen, W.-B.; Liu, W.-C. 2017 Assessing the influence of sea level rise on tidal power output and tidal energy dissipation near a channel. Renew. Energy 2017, 101, 603–616. [Google Scholar] [CrossRef]
- Carballo, R.; Iglesias, G.; Castro, A. Numerical model evaluation of tidal stream energy resources in the Ria de Muros (NW Spain). Renew. Energy 2009, 34, 1517–1524. [Google Scholar] [CrossRef]
- Xia, J.; Falconer, R.A.; Lin, B. Numerical model assessment of tidal stream energy resources in the Severn Estuary, UK. Proc. Inst. Mech. Eng. Part A 2010, 224, 969–983. [Google Scholar] [CrossRef]
- Blunden, L.S.; Bahaj, A.S.; Aziz, N.S. Tidal current power for Indonesia? An initial resource estimation for the Alas Strait. Renew. Energy 2013, 49, 137–142. [Google Scholar] [CrossRef]
- Chen, Y.; Lin, B.; Lin, J.; Wang, S. Effect of stream turbine array configuration on tidal current energy extraction near an island. Comput. Geosci. 2015, 77, 20–28. [Google Scholar] [CrossRef]
- Robins, P.E.; Neill, S.P.; Lewis, M.J.; Ward, S.L. Characterising the spatial and temporal variability of the tidal-stream energy resources over the northwest European shelf seas. Appl. Energy 2015, 147, 510–522. [Google Scholar] [CrossRef]
- Easton, M.C.; Woolf, D.K.; Bowyer, P. The dynamics of an energetic tidal channel, the Pentland Firth, Scotland. Cont. Shelf Res. 2012, 48, 50–60. [Google Scholar] [CrossRef]
- Neill, S.P.; Jordan, J.R.; Couch, S.J. Impact of tidal energy converter (TEC) arrays on the dynamics of headland sand. Renew. Energy 2012, 37, 387–397. [Google Scholar] [CrossRef]
- Church, J.A.; White, N.J. A 20th century acceleration in global sea-level rise. Geophys. Res. Lett. 2006, 33, L01602. [Google Scholar] [CrossRef]
- Woodworth, P.; Gehrels, W.; Nerem, R. Nineteenth and twentieth century changes in sea level. Oceanography 2011, 24, 80–93. [Google Scholar] [CrossRef]
- Pelling, H.E.; Green, A.M. Sea level rise and tidal power plants in the Gulf of Maine. J. Geophys. Res. Ocean. 2013, 118, 2863–2873. [Google Scholar] [CrossRef]
- Tang, H.S.; Kraatz, S.; Qu, K.; Chen, G.Q.; Aboobaker, N.; Jiang, C.B. High-resolution survey of tidal energy towards power generation grid and influence of sea-level-rise: A case study at coast of New Jersey, USA. Renew. Sustain. Energy Rev. 2014, 32, 960–982. [Google Scholar] [CrossRef]
- Karsten, R.; McMillan, J.; Lickley, M.; Haynes, R. Assessment of tidal current energy in the Minas Passage, Bay of Fundy. Proc. Inst. Mech. Eng. Part A 2008, 222, 493–507. [Google Scholar] [CrossRef]
- Draper, S.; Houlsby, G.; Oldfield, M.; Borthwick, A. Modeling tidal energy extraction in a depth-averaged coastal plain. In Proceedings of the 8th European Wave and Tidal Energy Conference, Uppsala, Sweden, 7–10 September 2009. [Google Scholar]
- Hasegawa, D.; Sheng, J.; Greenburg, D.A.; Thompson, K.R. Far-field effects of tidal energy extraction in the Minas Passage on tidal circulation in the Bay of Fundy and Gulf of Maine using a nested-grid coastal circulation model. Ocean Dyn. 2011, 61, 1845–1868. [Google Scholar] [CrossRef]
- Yang, Z.; Wang, T.; Copping, A.E. Modeling tidal stream energy extraction and its effect on transport processes in a tidal channel and bay system using a three-dimensional coastal ocean model. Renew. Energy 2013, 50, 605–613. [Google Scholar] [CrossRef]
- Sutherland, G.; Foreman, M.; Garrett, C. Tidal current energy assessment for Johnstone Strait, Vancouver Island. Proc. Inst. Mech. Eng. Part A 2007, 221, 147–157. [Google Scholar] [CrossRef]
- Atwater, J.; Lawrence, G. Power potential of a split channel. Renew. Energy 2010, 35, 329–332. [Google Scholar] [CrossRef]
- Zhang, Y.; Baptista, A.M. SELFE: A semi-implicit Eulerian-Lagrangian finite-element mode for cross-scale ocean circulation. Ocean Model. 2008, 21, 71–96. [Google Scholar] [CrossRef]
- Zhang, Y.; Ye, F.; Stanev, E.V.; Grashorn, S. Seamless cross-scale modelling with SCHISM. Ocean Model. 2016, 102, 64–81. [Google Scholar] [CrossRef]
- Zhang, Y.; Ateljevich, E.; Yu, H.S.; Wu, C.H.; Yu, J.C.S. A new vertical coordinate system for a 3D unstructured-grid model. Ocean Model. 2015, 85, 16–31. [Google Scholar] [CrossRef]
- Bertin, X.; Li, K.; Roldan, A.; Zhang, Y.J.; Breilh, J.F.; Chaumillion, E. A modeling-based analysis of the flooding associated with Xynthia, central Bay of Biscay. Coast. Eng. 2014, 94, 80–89. [Google Scholar] [CrossRef]
- Zhang, Y.; Witter, R.; Priest, G.R. Tsunami-tide interaction in 1964 Prince William Sound tsunami. Ocean Model. 2011, 40, 246–259. [Google Scholar] [CrossRef]
- Chen, W.; Liu, W. Investigating the fate and transport of fecal coliform contamination in a tidal estuarine system using a three-dimensional model. Mar. Pollut. Bull. 2017, 116, 365–384. [Google Scholar] [CrossRef] [PubMed]
- Azevedo, A.; Oliverira, A.; Fortunato, A.B.; Zhang, Y.; Baptista, A.M. A cross-scale numerical modeling system for management support of oil accidents. Mar. Pollut. Bull. 2014, 80, 132–147. [Google Scholar] [CrossRef] [PubMed]
- Pinto, L.; Fortunato, A.B.; Zhang, Y.; Oliverira, A.; Sancho, F.E.P. Development and validation of a three-dimensional morphodynamic modelling system. Ocean Model. 2012, 57–58, 1–14. [Google Scholar]
- Chen, W.-B.; Liu, W.-C.; Hsu, M.-H.; Hwang, C.-C. Modelling investigation of suspended sediment transport in a tidal estuary using a three-dimensional model. Appl. Math. Model. 2015, 39, 2570–2586. [Google Scholar] [CrossRef]
- Rodrigues, M.; Oliveira, A.; Queiroga, H.; Fortunato, A.B.; Zhang, Y.J. Three-dimensional modeling of the lower trophic levels in the Ria de Aveiro (Portugal). Ecol. Model. 2009, 220, 1274–1290. [Google Scholar] [CrossRef]
- Rodrigues, M.; Oliveira, A.; Guerreior, M.; Fortunato, A.B.; Menaia, J.; David, L.M.; Cravo, A. Modeling fecal contamination in the Aljezur coastal stream (Portugal). Ocean Dyn. 2011, 61, 841–856. [Google Scholar] [CrossRef]
- Chen, W.B.; Liu, W.C.; Hsu, M.H. Modeling evaluation of tidal stream energy and the impacts of energy extraction on hydrodynamics in the Taiwan Strait. Energies 2013, 6, 2191–2203. [Google Scholar] [CrossRef]
- Bryden, I.G.; Couch, S. ME1-marine energy extraction: Tidal resource analysis. Renew. Energy 2006, 31, 133–139. [Google Scholar] [CrossRef]
- Blanchfield, J.; Garrett, C.; Wild, P.; Rowe, A. The extractable power from a channel linking a bay to the open ocean. Proc. Inst. Mech. Eng. Part A 2008, 222, 289–297. [Google Scholar] [CrossRef]
- Egbert, G.D.; Erofeeva, S.Y. Efficient inverse modeling of barotropic ocean tides. J. Atmos. Ocean. Technol. 2002, 19, 183–204. [Google Scholar] [CrossRef]
- Egbert, G.D.; Erofeeva, S.Y.; Ray, D.R. Assimilation of altimetry data for nonlinear shallow-water tides: Quarter-diurnal tides of the Northwest European Shelf. Cont. Shelf Res. 2010, 30, 668–679. [Google Scholar] [CrossRef]
- Willmott, C. On the validation of models. Phys. Geogr. 1981, 2, 184–194. [Google Scholar]
- Chen, W.; Chen, K.; Kuang, C.; Zhu, D.; He, L.; Mao, X.; Liang, H.; Song, H. Influence of sea level rise on saline water instruction in the Yangtze River Estuary, China. Appl. Ocean Res. 2016, 54, 12–25. [Google Scholar] [CrossRef]
- Robins, P.E.; Neill, S.P.; Lewis, M.J. Impact of tidal-stream arrays in relation to the natural variability of sedimentary processes. Renew. Energy 2014, 72, 311–321. [Google Scholar] [CrossRef]
- Neill, S.P.; Litt, E.J.; Couch, S.J.; Davies, A.G. The impact of tidal stream turbines on large-scale sediment dynamics. Renew. Energy 2009, 34, 2803–2812. [Google Scholar] [CrossRef]
- Thiebaut, M.; Sentchev, A.; Schmitt, F.G. Assessing the turbulence in a tidal estuary and the effect of turbulence on marine current turbine performance. In Progress in Renewable Energies Offshore; Guedes, S., Ed.; Taylor & Francis Group: London, UK, 2016. [Google Scholar]
- Intergovernmental Panel on Climate Change (IPCC). Working Group I Contribution to the IPCC Fifth Assessment Report; IPCC: Geneva, Switzerland, 2013. [Google Scholar]
- Ward, S.; Green, J.; Pelling, H. Tides, sea-level rise and tidal power extraction on the European shelf. Ocean Dyn. 2012, 62, 1153–1167. [Google Scholar] [CrossRef]
- Blanton, J. Energy dissipation in a tidal estuary. J. Geophys. Res. Ocean Atmos. 1969, 74, 5460–5466. [Google Scholar] [CrossRef]
- Yang, Z.; Wang, T. Modeling the effects of tidal energy extraction on estuarine hydrodynamic in a stratified estuary. Estuar. Coast. 2015, 38 (Suppl. 1), S187–S202. [Google Scholar] [CrossRef]
- Plew, D.R.; Stevens, C.L. Numerical modelling of the effect of turbines on currents in a tidal channel-Tory Channel, New Zealand. Renew. Energy 2013, 57, 269–282. [Google Scholar] [CrossRef]
- Lopes, C.L.; Dias, J.M. Influence of mean sea level rise on tidal dynamics of the Ria de Aveiro lagoon, Portugal. J. Coast. Res. 2014, 70, 574–579. [Google Scholar] [CrossRef]
- Uehara, K.; Scourse, J.D.; Horsburgh, K.J.; Lambeck, K.; Purcell, A.P. Tidal evolution of the northwest European shelf seas from the last glacial maximum to the present. J. Geophys. Res. 2006, 111, C09025. [Google Scholar] [CrossRef]
- Neill, S.P.; Hashemi, M.R.; Lewis, M.J. Tidal energy leasing and tidal phasing. Renew. Energy 2016, 85, 580–587. [Google Scholar] [CrossRef]
- Neill, S.P.; Hashemi, M.R.; Lewis, M.J. Optimal phasing of the European tidal stream resource using the greedy algorithm with penalty function. Energy 2014, 73, 997–1006. [Google Scholar] [CrossRef]
- Lewis, M.J.; Neill, S.P.; Hashemi, M.R.; Reza, M. Realistic wave conditions and their influence on quantifying the tidal stream energy resource. Appl. Energy 2014, 136, 495–508. [Google Scholar] [CrossRef]
- Myers, L.E.; Bahaj, A.S. An experimental investigation simulating flow effects in first generation marine current energy convert arrays. Renew. Energy 2012, 37, 28–36. [Google Scholar] [CrossRef]
- Mestres, M.; Grino, M.; Sierra, J.P.; Mosso, C. Analysis of the optimal development location for tidal energy converts in the mesotidal Ria de Vigo (NW Spain). Energy 2016, 115, 1179–1187. [Google Scholar] [CrossRef]













| Variables | Suetau | Liaolowan | Kinmen Buoy | |||
|---|---|---|---|---|---|---|
| MAPE (%) | Skill | MAPE (%) | Skill | MAPE (%) | Skill | |
| Tide level | 17.68 | 0.93 | 15.14 | 0.93 | - | - |
| Current | - | - | - | - | 20.57 | 0.71 |
| Tidal Constituent | Amplitude (m) | Phase (o) | ||
|---|---|---|---|---|
| Ct = 0.00 | Ct = 0.08 | Ct = 0.00 | Ct = 0.08 | |
| M2 | 2.4714 | 2.4678 | 114.5893 | 114.8391 |
| S2 | 0.7518 | 0.7474 | 159.1727 | 159.7660 |
| N2 | 0.5004 | 0.4987 | 97.1582 | 97.4440 |
| K2 | 0.2300 | 0.2227 | 138.5008 | 139.2686 |
| K1 | 0.5387 | 0.5422 | 165.6684 | 165.0175 |
| O1 | 0.3885 | 0.3878 | 124.8016 | 124.7191 |
| P1 | 0.0765 | 0.0719 | 124.7396 | 125.4009 |
| Q1 | 0.0644 | 0.0634 | 102.3196 | 102.4989 |
© 2017 by the authors. Licensee MDPI, Basel, Switzerland. This article is an open access article distributed under the terms and conditions of the Creative Commons Attribution (CC BY) license (http://creativecommons.org/licenses/by/4.0/).
Share and Cite
Chen, W.-B.; Chen, H.; Lin, L.-Y.; Yu, Y.-C. Tidal Current Power Resources and Influence of Sea-Level Rise in the Coastal Waters of Kinmen Island, Taiwan. Energies 2017, 10, 652. https://doi.org/10.3390/en10050652
Chen W-B, Chen H, Lin L-Y, Yu Y-C. Tidal Current Power Resources and Influence of Sea-Level Rise in the Coastal Waters of Kinmen Island, Taiwan. Energies. 2017; 10(5):652. https://doi.org/10.3390/en10050652
Chicago/Turabian StyleChen, Wei-Bo, Hongey Chen, Lee-Yaw Lin, and Yi-Chiang Yu. 2017. "Tidal Current Power Resources and Influence of Sea-Level Rise in the Coastal Waters of Kinmen Island, Taiwan" Energies 10, no. 5: 652. https://doi.org/10.3390/en10050652
APA StyleChen, W.-B., Chen, H., Lin, L.-Y., & Yu, Y.-C. (2017). Tidal Current Power Resources and Influence of Sea-Level Rise in the Coastal Waters of Kinmen Island, Taiwan. Energies, 10(5), 652. https://doi.org/10.3390/en10050652

