Performance Evaluation of Waste Heat Recovery Systems Based on Semiconductor Thermoelectric Generators for Hypersonic Vehicles
Abstract
:1. Introduction
2. Analysis of Waste Heat on a Hypersonic Vehicle
3. Models
3.1. Basic Principles of TEGs
3.2. Isothermal Heat Source
3.3. Variable Temperature Heat Source
4. Results and Discussion
5. Conclusions and Prospects
- (1)
- There is an optimal electric current for thermoelectric efficiency for each heat source condition, and the maximum values of the thermoelectric efficiency are 5% and 2.5% for the isothermal heat source and the variable temperature heat source, respectively, under the highest hot junction temperature of 1200 K;
- (2)
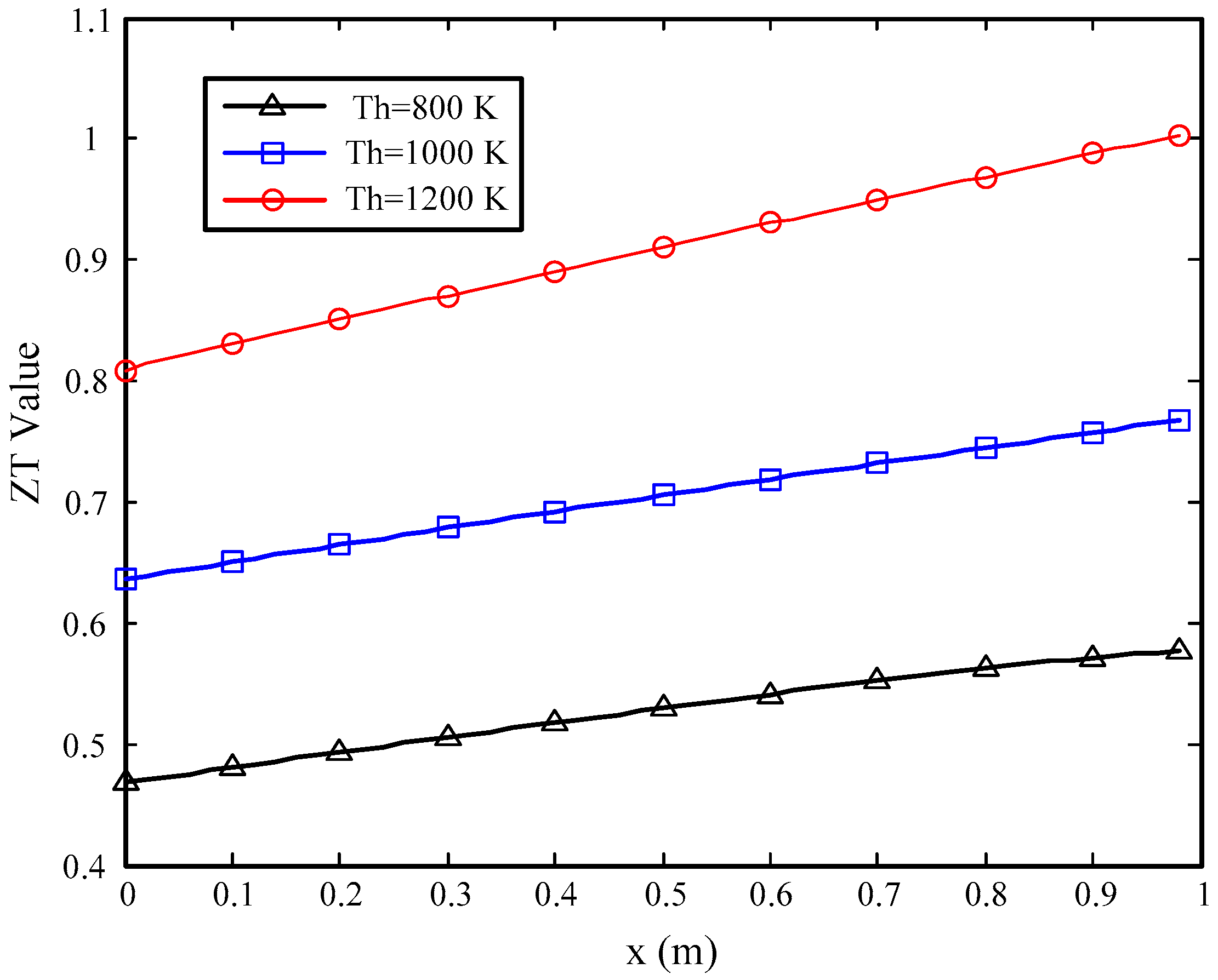
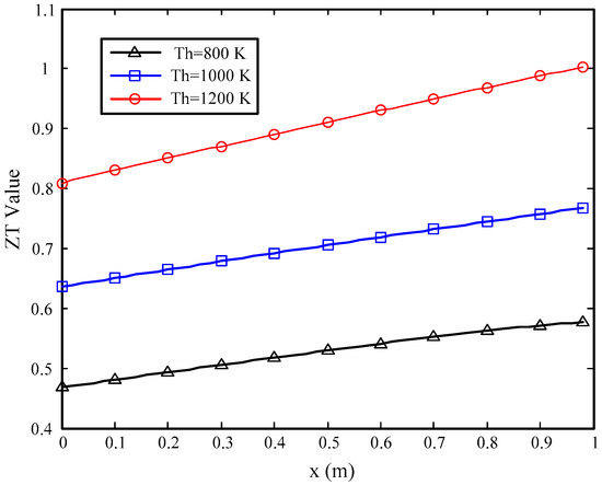
- The thermoelectric efficiency of TEGs with an isothermal heat source improves with the temperature of the hot junction because of the increase of the temperature difference between the hot and cold junctions and the ZT value, which can measure the conversion performance of thermoelectric materials;
- (3)
- The performance of the TEGs with a variable temperature heat source is worse than that of the TEGs whose heat source temperature is constant for the same highest hot junction temperature, because the average hot junction temperature of the former is far below the hot junction temperature of the latter;
- (4)
- TEGs with variable temperature heat source have a better conversion efficiency than ones with isothermal heat sources for the same average temperature, because the operating temperature of the former is more suitable for SiGe;
- (5)
- For a better utilization of the large temperature difference for the waste heat recovery system on a hypersonic flight vehicle, multi-stage semiconductor thermoelectric modules should be used to replace the single-stage ones used at present;
- (6)
- Considering the huge temperature variation in the x direction for the TEGs with variable temperature heat sources, various thermoelectric materials applicable for different temperature ranges should be applied for a better performance.
Acknowledgments
Author Contributions
Conflicts of Interest
Nomenclature
| A | Area | m2 |
| Dh | Hydraulic diameter | m |
| I | Electric current | A |
| K | Coefficient of thermal conduction | W/K |
| Nu | Nusselt number | dimensionless |
| P | Power | W |
| Pr | Prandtl number | dimensionless |
| Q | Heat transfer rate | W |
| R | Resistance | Ω |
| Re | Reynolds number | dimensionless |
| T | Temperature | K |
| U | Voltage | V |
| ZT | Thermoelectric figure of merit | dimensionless |
| cp | Constant pressure specific heat | J/(kg·K) |
| f | Drag coefficient | dimensionless |
| h | Convection coefficient | W/(m2·K) |
| l | Length | m |
| m | Mass flowrate | kg/s |
| p | Pressure | Pa |
| u | Velocity | m/s |
| x | Distance | m |
| Greek | ||
| α | Seebeck coefficient | dimensionless |
| η | Thermoelectric efficiency | dimensionless |
| λ | Thermal conductivity | W/(m·K) |
| ρ | Density | kg/m3 |
| σ | Electric conductivity | Ω·m |
| Subscripts | ||
| J | Joule heat | |
| K | Heat conduction | |
| L | Load | |
| N | N-type | |
| P | P-type | |
| c | Cold | |
| cP | Peltier heat of cold junction | |
| f | Fuel | |
| fc | Cold fuel | |
| fh | Hot fuel | |
| h | Hot | |
| hP | Peltier heat of hot junction | |
| in | Internal | |
| o | Open-circuit | |
| tot | Total |
References
- Bolender, M.A.; Doman, D.B. Nonlinear longitudinal dynamical model of an air-breathing hypersonic vehicle. J. Spacecr. Rockets 2007, 44, 374–387. [Google Scholar] [CrossRef]
- Newman, R.W. Oxidation-resistant high-temperature materials. Johns Hopkins APL Tech. Dig. 1993, 14, 24–28. [Google Scholar]
- Curran, E.T. Scramjet engines: The first forty years. J. Propuls. Power 2001, 17, 1138–1148. [Google Scholar] [CrossRef]
- Walker, S.; Tang, M.; Mamplata, C. TBCC propulsion for a Mach 6 hypersonic airplane. In Proceedings of the 16th AIAA/DLR/DGLR International Space Planes and Hypersonic Systems and Technologies Conference, Bremen, Germany, 19–22 October 2009. [Google Scholar]
- Yang, Q.C.; Shi, W.; Chang, J.T.; Bao, W. Maximum thrust for the rocket-ejector mode of the hydrogen fueled rocket-based combined cycle engine. Int. J. Hydrogen Energy 2015, 40, 3771–3776. [Google Scholar] [CrossRef]
- Jin, H.G.; Hong, H.; Wang, B.Q.; Han, W.; Lin, R.M. A new principle of synthetic cascade utilization of chemical energy and physical energy. J. Sci. China Ser. E Eng. Mater. Sci. 2005, 48, 163–179. [Google Scholar] [CrossRef]
- Tartakovsky, L.; Gutman, M.; Mosyak, A. Energy efficiency of road vehicles—Trends and challenges. In Energy Efficiency: Methods, Limitations and Challenges; Santos Cavalcanti, E., Barbosa, M., Eds.; Nova Science Publishers: New York, NY, USA, 2012; pp. 63–90. [Google Scholar]
- Shu, G.Q.; Zhao, M.R.; Tian, H.; Wei, H.Q.; Liang, X.Y.; Huo, Y.Z.; Zhu, W.J. Experimental investigation on thermal OS/ORC (Oil Storage/Organic Rankine Cycle) system for waste heat recovery from diesel engine. Energy 2016, 107, 693–706. [Google Scholar] [CrossRef]
- Serrano, J.R.; Olmeda, P.; Tiseira, A.; García-Cuevas, L.M.; Lefebvre, A. Theoretical and experimental study of mechanical losses in automotive turbochargers. Energy 2013, 55, 888–898. [Google Scholar] [CrossRef]
- Mamat, A.M.I.; Romagnoli, A.; Martinez-Botas, R.F. Characterisation of a low pressure turbine for turboncompounding applications in a heavily downsized mild-hybrid gasoline engine. Energy 2014, 64, 3–16. [Google Scholar] [CrossRef]
- Poran, A.; Tartakovsky, L. Energy efficiency of a direct-injection internal combustion engine with high-pressure methanol steam reforming. Energy 2015, 88, 506–514. [Google Scholar] [CrossRef]
- Javani, N.; Dincer, I.; Naterer, G.F. Thermodynamic analysis of waste heat recovery for cooling systems in hybrid and electric vehicles. Energy 2012, 46, 109–116. [Google Scholar] [CrossRef]
- Zhu, S.P.; Deng, K.Y.; Qu, S.A. Thermodynamic analysis of an in-cylinder waste heat recovery system for internal combustion engines. Energy 2014, 67, 548–556. [Google Scholar] [CrossRef]
- Sun, X.X.; Liang, X.Y.; Shu, G.Q.; Tian, H.; Wei, H.Q.; Wang, X.X. Comparison of the two-stage and traditional single-stage thermoelectric generator in recovering the waste heat of the high temperature exhaust gas of internal combustion engine. Energy 2014, 77, 489–498. [Google Scholar] [CrossRef]
- Pramanick, A.K.; Das, P.K. Constructal design of a thermoelectric device. Int. J. Heat Mass Transf. 2006, 49, 1420–1429. [Google Scholar] [CrossRef]
- Gou, X.L.; Xiao, H.; Yang, S.W. Modeling, experimental study and optimization on low-temperature waste heat thermoelectric generator system. Appl. Energy 2010, 87, 3131–3136. [Google Scholar] [CrossRef]
- Bass, J.C.; Elsner, N.B.; Leavitt, F.A. Performance of the 1 kW thermoelectric generator for diesel engines. In Proceedings of the 13th International Conference on Thermoelectrics, Kansas City, MO, USA, 30 August–1 September 1994; pp. 295–298. [Google Scholar]
- Kushch, A.S.; Bass, J.C.; Ghamaty, S.; Elsner, N.B. Thermoelectric development at Hi-Z technology. In Proceedings of the 20th International Conference on Thermoelectrics, Beijing, China, 8–11 June 2001; pp. 422–430. [Google Scholar]
- Matsubara, K. Development of a high efficient thermoelectric stack for a waste exhaust heat recovery of vehicles. In Proceedings of the 21st International Conference on Thermoelectronics, Long Beach, CA, USA, 25–29 August 2002; pp. 418–423. [Google Scholar]
- Yang, J. Potential applications of thermoelectric waste heat recovery in the automotive industry. In Proceedings of the 24th International Conference on Thermoelectrics, Clemson, SC, USA, 19–23 June 2005; pp. 155–159. [Google Scholar]
- LaGrandeur, J.; Crane, D.; Hung, S.; Mazar, B.; Eder, A. Automotive waste heat conversion to electric power using skutterudite, TAGS, PbTe and BiTe. In Proceedings of the International Conference on Thermoelectrics, Vienna, Austria, 6–10 August 2006; pp. 343–348. [Google Scholar]
- Saqr, K.M.; Mansour, M.K.; Musa, M.N. Thermal design of automobile exhaust based thermoelectric generators: Objectives and challenges. Int. J. Automot. Technol. 2008, 9, 155–160. [Google Scholar] [CrossRef]
- Minnich, A.J.; Dresselhaus, M.S.; Ren, Z.F.; Chen, G. Bulk nanostructured thermoelectric materials: Current research and future prospects. Energy Environ. Sci. 2009, 2, 466–479. [Google Scholar] [CrossRef]
- Venkatasubramanian, R.; Siivola, E.; Colpitts, T.; O’Quinn, B. Thin-film thermoelectric devices with high room-temperature figures of merit. Nature 2001, 413, 597–602. [Google Scholar] [CrossRef] [PubMed]
- Harman, T.C.; Taylor, P.J.; Walsh, M.P.; LaForge, B.E. Quantum dot superlattice thermoelectric materials and devices. Science 2002, 297, 2229–2232. [Google Scholar] [CrossRef] [PubMed]
- Hochbaum, A.I.; Chen, R.; Delgado, R.D.; Liang, W.; Garnett, E.C.; Najarian, M.; Majumdar, A.; Yang, P. Enhanced thermoelectric performance of rough silicon nanowires. Nature 2008, 451, 163–167. [Google Scholar] [CrossRef] [PubMed]
- Poudel, B.; Hao, Q.; Ma, Y.; Lan, Y.C.; Minnich, A.; Yu, B.; Yan, X.; Wang, D.Z.; Muto, A.; Vashaee, D.; et al. High-thermoelectric performance of nanostructured bismuth antimony telluride bulk alloys. Science 2008, 320, 634–638. [Google Scholar] [CrossRef] [PubMed]
- Heremans, J.P.; Jovovic, V.; Toberer, E.S.; Saramat, A.; Kurosaki, K.; Charoenphakdee, A.; Yamanaka, S.; Snyder, G.J. Enhancement of thermoelectric efficiency in PbTe by distortion of the electronic density of states. Science 2008, 321, 554–557. [Google Scholar] [CrossRef] [PubMed]
- Pei, Y.L.; Liu, Y. Electrical and thermal transport properties of Pb-based chalcogenides: PbTe, PbSe, and PbS. J. Alloys Compd. 2012, 514, 40–44. [Google Scholar] [CrossRef]
- Jiang, Z.W.; Zhang, W.L.; Yan, L.Q.; Niu, X.H. Anisotropy of the Seebeck coefficiency in Czochralski grown p-type SiGe single crystal. Mater. Sci. Eng. B Solid State Mater. Adv. Technol. 2005, 119, 182–184. [Google Scholar] [CrossRef]
- Blosser, M.L.; Chen, R.R.; Schmidt, I.H.; Dorsey, J.T.; Poteet, C.C.; Bird, R.K. Advanced Metallic Thermal Protection System Development. In Proceedings of the 40th Aerospace Science Meeting & Exhibit (AIAA-2002-0504), Reno, NV, USA, 14–17 January 2002; pp. 1–20. [Google Scholar]
- Kanda, T.; Masuya, G.; Wakamatsu, Y. Propellant feed system of a regeneratively cooled scramjet. J. Propuls. Power 1991, 7, 299–301. [Google Scholar] [CrossRef]
- Qin, J.; Cheng, K.L.; Zhang, S.L.; Zhang, D.; Bao, W.; Han, J.C. Analysis of energy cascade utilization in a chemically recuperated scramjet with indirect combustion. Energy 2016, 114, 1100–1106. [Google Scholar] [CrossRef]
- Zhang, D.; Feng, Y.; Zhang, S.L.; Qin, J.; Cheng, K.L.; Bao, W.; Yu, D.R. Quasi-one-dimensional model of scramjet combustor coupled with regenerative cooling. J. Propuls. Power 2016, 32, 687–697. [Google Scholar] [CrossRef]
- Zhou, W.X.; Jia, Z.J.; Qin, J.; Bao, W.; Yu, B. Experimental study on effect of pressure on heat sink of n-decane. Chem. Eng. J. 2014, 243, 127–136. [Google Scholar] [CrossRef]
- Zhang, D.; Cheng, K.L.; Zhang, S.L.; Qin, J.; Bao, W. Graphical Exergy Analysis for a Scramjet Thermodynamic Performance Evaluation. Int. J. Exergy 2016, 21, 136–156. [Google Scholar] [CrossRef]
- Chen, J.C.; Lin, B.H.; Wang, H.J.; Lin, G.X. Optimal design of a multi-couple thermoelectric generator. Semicond. Sci. Technol. 2000, 15, 184–188. [Google Scholar] [CrossRef]
- Qin, J.; Zhang, S.L.; Bao, W.; Yu, W.L.; Yu, B.; Zhou, W.X.; Yu, D.R. Experimental study on chemical recuperation process of endothermic hydrocarbon fuel. Fuel 2013, 108, 445–450. [Google Scholar] [CrossRef]
- Locke, J.M.; Landrum, D.B. Uncertainty analysis of heat transfer to supercritical hydrogen in cooling channels. In Proceedings of the 41st AIAA/ASME/SAE/ASEE Joint Propulsion Conference & Exhibit, Joint Propulsion Conferences, Tucson, AZ, USA, 10–13 July 2005. [Google Scholar]
- Suo, K.N. The Study on Thermoelectric Property of SiGe Alloy at High Temperature. Master’s Thesis, Hebei University of Technology, Tianjin, China, 2007. (In Chinese). [Google Scholar]
- Kee, R.J.; Rupley, F.M.; Miller, J.A. CHEMKIN-II: A Fortran Chemical Kinetics Package for the Analysis of Gas Phase Chemical kinetics; Rept. SAND89-8009B; Sandia National Lab.: Albuquerque, NM, USA, April 1989. [Google Scholar]
- Chen, L.G.; Li, J.; Sun, F.R.; Wu, C. Performance optimization of a two-stage semiconductor thermoelectric-generator. Appl. Energy 2005, 82, 300–312. [Google Scholar] [CrossRef]










| Conversion Efficiency (%) | Average Temperature (K) | ||||
|---|---|---|---|---|---|
| 500 | 525 | 550 | 575 | 600 | |
| Isothermal Heat Source | 1.36 | 1.61 | 1.89 | 2.18 | 2.48 |
| Variable Temperature Heat Source | 1.49 | 1.76 | 2.04 | 2.32 | 2.63 |
© 2017 by the authors. Licensee MDPI, Basel, Switzerland. This article is an open access article distributed under the terms and conditions of the Creative Commons Attribution (CC BY) license (http://creativecommons.org/licenses/by/4.0/).
Share and Cite
Cheng, K.; Feng, Y.; Lv, C.; Zhang, S.; Qin, J.; Bao, W. Performance Evaluation of Waste Heat Recovery Systems Based on Semiconductor Thermoelectric Generators for Hypersonic Vehicles. Energies 2017, 10, 570. https://doi.org/10.3390/en10040570
Cheng K, Feng Y, Lv C, Zhang S, Qin J, Bao W. Performance Evaluation of Waste Heat Recovery Systems Based on Semiconductor Thermoelectric Generators for Hypersonic Vehicles. Energies. 2017; 10(4):570. https://doi.org/10.3390/en10040570
Chicago/Turabian StyleCheng, Kunlin, Yu Feng, Chuanwen Lv, Silong Zhang, Jiang Qin, and Wen Bao. 2017. "Performance Evaluation of Waste Heat Recovery Systems Based on Semiconductor Thermoelectric Generators for Hypersonic Vehicles" Energies 10, no. 4: 570. https://doi.org/10.3390/en10040570
APA StyleCheng, K., Feng, Y., Lv, C., Zhang, S., Qin, J., & Bao, W. (2017). Performance Evaluation of Waste Heat Recovery Systems Based on Semiconductor Thermoelectric Generators for Hypersonic Vehicles. Energies, 10(4), 570. https://doi.org/10.3390/en10040570
