On-Line Junction Temperature Monitoring of Switching Devices with Dynamic Compact Thermal Models Extracted with Model Order Reduction
Abstract
:1. Introduction
2. Thermal Modeling and Its Real-Time Implementation
- MPMM is extremely accurate since the model precision can be arbitrarily fixed a-priori, and it allows the determination of the temperature field over the whole power module.
- DCTM equations are provided in a diagonal state-space representation, thus they can be suitably represented as IIR digital filters and implemented in a digital signal processor (DSP) architecture or through an FPGA, with the latter allowing for a shorter computation time. Decoupled state-space equations allow parallel computation of each state variable on FPGA.
3. Experimental Results: Power Model Equipped with a Poorly Performing Heatsink
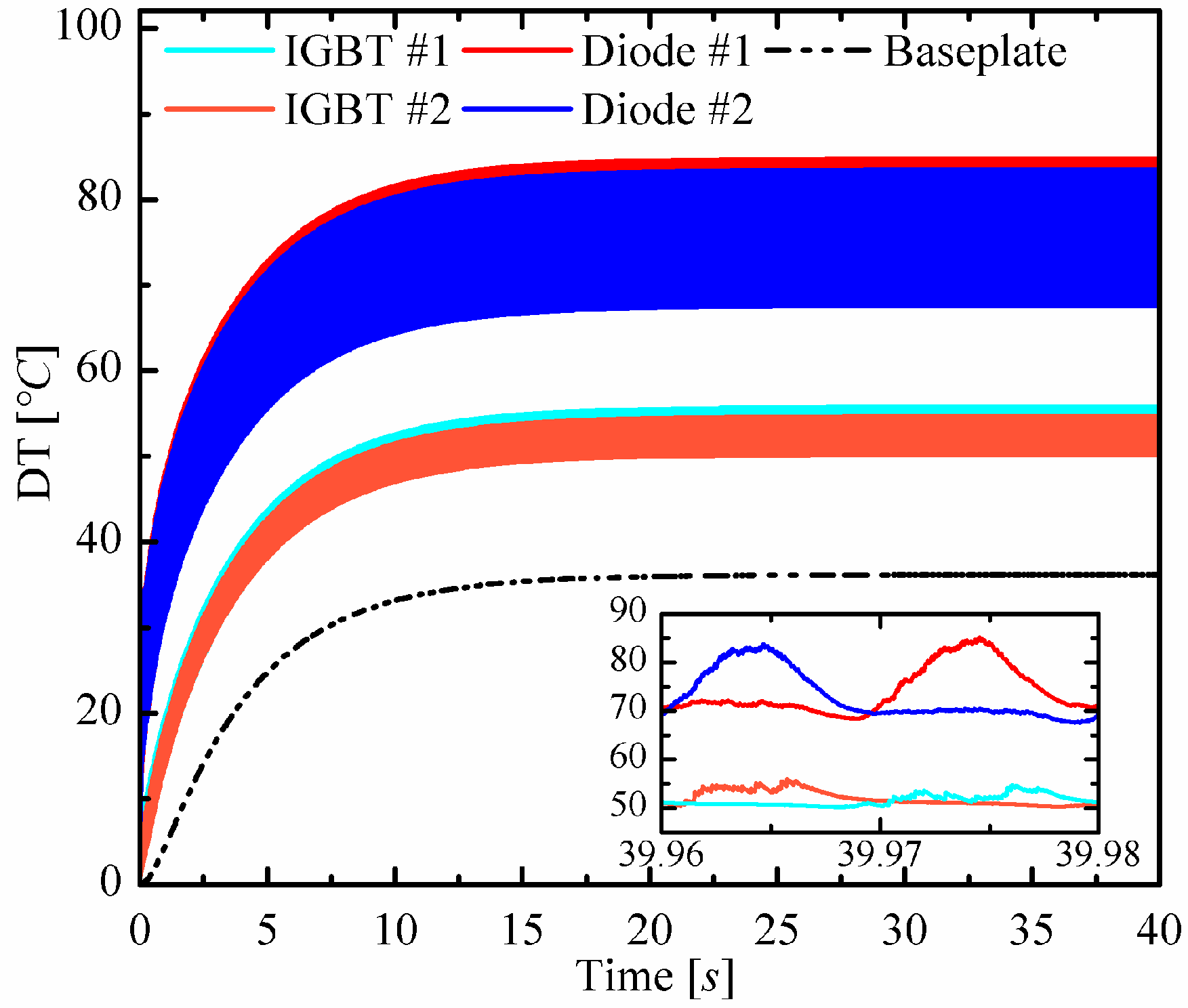
4. Power Model Equipped with an Effective Cooling System
5. Conclusions
Author Contributions
Conflicts of Interest
References
- Di Napoli, F.; Guerriero, P.; D’Alessandro, V.; Daliento, S. A Power Line Communication on DC bus with photovoltaic strings. In Proceedings of the 3rd Renewable Power Generation Conference (RPG), Naples, Italy, 24–25 September 2014.
- Guerriero, P.; Vallone, G.; Primato, M.; Di Napoli, F.; Di Nardo, L.; D’Alessandro, V.; Daliento, S. A wireless sensor network for the monitoring of large PV plants. In Proceedings of the 2014 International Symposium on Power Electronics, Electrical Drives, Automation and Motion (SPEEDAM), Ischia, Italy, 18–20 June 2014; pp. 960–965.
- Di Napoli, F.; Guerriero, P.; D’Alessandro, V.; Daliento, S. Single panel voltage zeroing system for safe access on PV plants. IEEE J. Photovolt. 2015, 5, 1428–1434. [Google Scholar] [CrossRef]
- Guerriero, P.; Di Napoli, F.; Vallone, G.; D’Alessandro, V.; Daliento, S. Monitoring and Diagnostics of PV Plants by a wireless self-powered sensor for individual panel. IEEE J. Photovolt. 2016, 6, 286–294. [Google Scholar] [CrossRef]
- D’Alessandro, V.; Di Napoli, F.; Guerriero, P.; Daliento, S. An automated high-granularity tool for a fast evaluation of the yield of PV plants accounting for shading effects. Renew. Energy 2015, 83, 294–304. [Google Scholar] [CrossRef]
- Yang, S.; Bryant, A.; Mawby, P.; Xiang, D.; Li, R.; Tavner, P. An industry-based survey of reliability in power electronic converters. In Proceedings of the Energy Conversion Congress and Exposition (ECCE), San Jose, CA, USA, 20–24 September 2009; pp. 3151–3157.
- Yang, S.; Bryant, A.; Mawby, P.; Xiang, D.; Li, R.; Tavner, P. An industry-based survey of reliability in power electronic converters. IEEE Trans. Ind. Appl. 2011, 47, 1441–1451. [Google Scholar] [CrossRef]
- Daliento, S.; Mele, L. Approximate closed-form analytical solution for minority carrier transport in opaque heavily doped regions under illuminated conditions. IEEE Trans. Electron Devices 2006, 53, 2837–2838. [Google Scholar] [CrossRef]
- Ciappa, M. Selected failure mechanisms of modern power modules. Microelectron. Reliab. 2002, 42, 653–667. [Google Scholar] [CrossRef]
- Nelson, W.B. Accelerated Testing: Statistical Models, Test Plans, and Data Analysis; John Wiley & Sons: Hoboken, NJ, USA, 2009. [Google Scholar]
- Herr, E.; Poe, A.; Fox, A. Reliability evaluation and prediction for discrete semiconductors. IEEE Trans. Reliab. 1980, 29, 208–216. [Google Scholar] [CrossRef]
- Choi, U.M.; Jørgensen, S.; Blaabjerg, F. Advanced accelerated power cycling test for reliability investigation of power device modules. IEEE Trans. Power Electron. 2016, 31, 8371–8386. [Google Scholar] [CrossRef]
- Romano, G.; Riccio, M.; De Falco, G.; Maresca, L.; Irace, A.; Breglio, G. An ultrafast IR thermography system for transient temperature detection on electronic devices. In Proceedings of the 30th Annual Semiconductor Thermal Measurement and Management Symposium (SEMI-THERM), San Jose, CA, USA, 9–13 March 2014; pp. 80–84.
- Ghimire, P.; de Vega, A.R.; Beczkowski, S.; Rannestad, B.; Munk-Nielsen, S.; Thogersen, P. Improving Power Converter Reliability: Online Monitoring of High-Power IGBT Modules. IEEE Ind. Electron. Mag. 2014, 8, 40–50. [Google Scholar] [CrossRef]
- Ghimire, P.; Pedersen, K.B.; Vega, A.R.; Rannestad, B.; Munk-Nielsen, S.; Thogersen, P.B. A real time measurement of junction temperature variation in high power IGBT modules for wind power converter application. In Proceedings of the 30th Annual Semiconductor Thermal Measurement and Management Symposium (SEMI-THERM), San Jose, CA, USA, 9–13 March 2014; pp. 1–6.
- Yang, S.; Xiang, D.; Bryant, A.; Mawby, P.; Ran, L.; Tavner, P. Condition Monitoring for Device Reliability in Power Electronic Converters: A Review. IEEE Trans. Power Electron. 2010, 25, 2734–2752. [Google Scholar] [CrossRef]
- Musallam, M.; Johnson, C.M. Real-time compact thermal models for health management of power electronics. IEEE Trans. Power Electron. 2010, 25, 1416–1425. [Google Scholar] [CrossRef]
- Huang, H.; Mawby, P.A. A lifetime estimation technique for voltage source inverters. IEEE Trans. Power Electron. 2013, 28, 4113–4119. [Google Scholar] [CrossRef]
- Musallam, M.; Yin, C.; Bailey, C.; Johnson, C.M. Mission profile-based reliability design and real-time life consumption estimation in power electronics. IEEE Trans. Power Electron. 2015, 30, 2601–2613. [Google Scholar] [CrossRef]
- Ye, J.; Yang, K.; Ye, H.; Emadi, A. A fast electro-thermal model of traction inverters for electrified vehicles. IEEE Trans. Power Electron. 2017, 32, 3920–3934. [Google Scholar] [CrossRef]
- Codecasa, L.; D’Alessandro, V.; Magnani, A.; Rinaldi, N.; Zampardi, P.J. Fast novel thermal analysis simulation tool for integrated circuits (FANTASTIC). In Proceedings of the 20th International Workshop on Thermal Investigations of ICs and Systems (THERMINIC), London, UK, 24–26 September 2014.
- Magnani, A.; Di Napoli, F.; Riccio, M.; Guerriero, P.; D’Alessandro, V.; Breglio, G.; Daliento, S.; Irace, A.; Rinaldi, N.; Codecasa, L. Thermal feedback blocks for fast and reliable electrothermal circuit simulation of power circuits at module level. In Proceedings of the 28th International Symposium on Power Semiconductor Devices and ICs (ISPSD), Prague, Czech Republic, 12–16 July 2016; pp. 187–190.
- Fukahori, K.; Gray, P.R. Computer simulation of integrated circuits in the presence of electrothermal interaction. IEEE J. Solid-State Circuits 1976, 11, 834–846. [Google Scholar] [CrossRef]
- Hefner, A.R.; Blackburn, D.L. Simulating the dynamic electrothermal behavior of power electronic circuits and systems. IEEE Trans. Power Electron. 1993, 8, 376–385. [Google Scholar] [CrossRef]
- Rinaldi, N. On the modeling of the transient thermal behavior of semiconductor devices. IEEE Trans. Electron Devices 2001, 48, 2796–2802. [Google Scholar] [CrossRef]
- Kwok, K.H.; D’Alessandro, V. Fast analytical modeling of dynamic thermal behavior of semiconductor devices and circuits. IEEE Trans. Electron Devices 2014, 61, 1031–1038. [Google Scholar] [CrossRef]
- Székely, V. On the representation of infinite-length distributed RC one-ports. IEEE Trans. Circuits Syst. 1991, 38, 711–719. [Google Scholar] [CrossRef]
- Székely, V. Identification of RC networks by deconvolution: Chances and limits. IEEE Trans. Circuits Syst. I 1998, 45, 244–258. [Google Scholar] [CrossRef]
- Jakopović, Z.; Benĉić, Z.; Konćar, R. Identification of thermal equivalent-circuit parameters for semiconductors. In Proceedings of the Workshop on Computers in Power Electronics, Lewisburg, PA, USA, 5–7 August 1990; pp. 251–260.
- D’Alessandro, V.; Magnani, A.; Riccio, M.; Iwahashi, Y.; Breglio, G.; Rinaldi, N.; Irace, A. Analysis of the UIS behavior of power devices by means of SPICE-based electrothermal simulations. Microelectron. Reliab. 2013, 53, 1713–1718. [Google Scholar] [CrossRef]
- D’Alessandro, V.; de Magistris, M.; Magnani, A.; Rinaldi, N.; Grivet-Talocia, S.; Russo, S. Time domain dynamic electrothermal macromodeling for thermally aware integrated system design. In Proceedings of the 17th IEEE Workshop on Signal and Power Integrity (SPI), Paris, France, 12–15 May 2013.
- D’Alessandro, V.; Magnani, A.; Riccio, M.; Breglio, G.; Irace, A.; Rinaldi, N.; Castellazzi, A. SPICE modeling and dynamic electrothermal simulation of SiC power MOSFETs. In Proceedings of the IEEE 26th International Symposium on Power Semiconductor Devices & IC’s (ISPSD), Waikoloa, HI, USA, 15–19 June 2014; pp. 285–288.
- De Tommasi, L.; Magnani, A.; D’Alessandro, V.; de Magistris, M. Time domain identification of passive multiport RC networks with convex optimization: An application to thermal impedance macromodeling. In Proceedings of the 18th IEEE Workshop on Signal and Power Integrity (SPI), Ghent, Belgium, 11–14 May 2014.
- D’Alessandro, V.; De Magistris, M.; Magnani, A.; Rinaldi, N.; Russo, S. Dynamic electrothermal macromodeling: An application to signal integrity analysis in highly integrated electronic systems. IEEE Trans. Compon. Packag. Manuf. Technol. 2013, 3, 1237–1243. [Google Scholar] [CrossRef]
- Codecasa, L.; D’Amore, D.; Maffezzoni, P. Parameters for Multi-Point Moment Matching reduction of discretized thermal networks. In Proceedings of the IEEE Therminic, Madrid, Spain, 1–4 October 2002; pp. 151–154.
- Codecasa, L.; D’Amore, D.; Maffezzoni, P. An Arnoldi based thermal network reduction method for electro-thermal analysis. IEEE Trans. Compon. Packag. Technol. 2003, 26, 186–192. [Google Scholar] [CrossRef]
- D’Alessandro, V.; Magnani, A.; Codecasa, L.; Di Napoli, F.; Guerriero, P.; Daliento, S. Dynamic electrothermal simulation of photovoltaic plants. In Proceedings of the International Conference on Clean Electrical Power (ICCEP), Taormina, Italy, 16–18 June 2015; pp. 682–688.
- Codecasa, L.; Magnani, A.; D’Alessandro, V.; Rinaldi, N.; Metzger, A.G.; Bornoff, R.; Parry, J. Novel MOR approach for extracting dynamic compact thermal models with massive numbers of heat sources. In Proceedings of the 32nd Annual Semiconductor Thermal Measurement and Management Symposium (SEMI-THERM), San Jose, CA, USA, 14–17 March 2016.
- Codecasa, L.; D’Alessandro, V.; Magnani, A.; Rinaldi, N. Novel partition-based approach to dynamic compact thermal modeling. In Proceedings of the 22nd International Workshop on Thermal Investigations of ICs and Systems (THERMINIC), Budapest, Hungary, 21–23 September 2016.
- Comsol Multiphysics, User’s Guide; release 5.2A; COMSOL Inc.: Burlington, MA, USA, 2016.
- Sabry, M.-N. Dynamic compact thermal models used for electronic design: A review of recent progress. In Proceedings of the International Electronic Packaging Technical Conference and Exhibition, Maui, HI, USA, 6–11 June 2003; 2003; pp. 399–415. [Google Scholar]
- Lasance, C.J.M. Ten years of boundary-condition-independent compact thermal modeling of electronic parts: A review. Heat Transf. Eng. 2008, 29, 149–168. [Google Scholar] [CrossRef]
- Sabry, M.-N.; Dessouky, M. A framework theory for dynamic compact thermal models. In Proceedings of the 28th Annual IEEE Semiconductor Thermal Measurement and Management Symposium (SEMI-THERM), San Jose, CA, USA, 18–22 March 2012; pp. 189–194.
- VS-50MT060WHTAPbF Half Bridge IGBT MTP (Warp Speed IGBT), 114 A, Vishay, 2015. Available online: http://www.vishay.com/docs/94468/vs-50mt060whtapbf.pdf (accessed on 5 November 2015).
- Coppola, M.; Daliento, S.; Guerriero, P.; Lauria, D.; Napoli, E. On the design and the control of a coupled-inductors boost dc-ac converter for an individual PV panel. In Proceedings of the IEEE 21st International Symposium on Power Electronics, Electrical Drives, Automation and Motion (SPEEDAM), Sorrento, Italy, 20–22 June 2012; pp. 1154–1159.
- Guerriero, P.; Di Napoli, F.; D’Alessandro, V.; Daliento, S. Accurate maximum power tracking in photovoltaic systems affected by partial shading. Int. J. Photoenergy 2015, 2015, 824832. [Google Scholar] [CrossRef]
- Coppola, M.; Guerriero, P.; Di Napoli, F.; Daliento, S.; Lauria, D. A PV AC-module on coupled-inductors boost DC/AC converter. In Proceedings of the IEEE International Symposium on Power Electronics, Electrical Drives, Automation and Motion (SPEEDAM), Taormina, Italy, 18–20 June 2014; pp. 1015–1020.
- Coppola, M.; Di Napoli, F.; Guerriero, P.; Iannuzzi, D.; Daliento, S.; Del Pizzo, A. An FPGA-based advanced control strategy of a grid tied PV CHB inverter. IEEE Trans. Power Electron. 2016, 31, 806–816. [Google Scholar] [CrossRef]
- Carubelli, S.; Khatir, Z. Experimental validation of a thermal modelling method dedicated to multichip power modules in operating conditions. Microelectron. J. 2003, 34, 1143–1151. [Google Scholar] [CrossRef]
- Riccio, M.; Breglio, G.; Irace, A.; Spirito, P. An equivalent time temperature mapping system with a 320 × 256 pixels full-frame 100 kHz sampling rate. Rev. Sci. Instrum. 2007, 78, 106106. [Google Scholar] [CrossRef] [PubMed]
- Garegnani, G.; Fiori, V.; Gouget, G.; Monsieur, F.; Tavernier, C. Wafer level measurements and numerical analysis of self-heating phenomena in nano-scale SOI MOSFETs. Microelectron. Reliabil. 2016, 63, 90–96. [Google Scholar] [CrossRef]
- Samson, A.; Janicki, M.; Raszkowski, T.; Zubert, M. Determination of average heat transfer coefficient value in compact thermal models. In Proceedings of the 17th International Conference on Thermal, Mechanical and Multi-Physics Simulation and Experiments in Microelectronics and Microsystems (EuroSimE), Montpellier, France, 18–20 April 2016.
- Miner, M. Cumulative damage in fatigue. J. Appl. Mech. 1945, 12, 159–164. [Google Scholar]










© 2017 by the authors. Licensee MDPI, Basel, Switzerland. This article is an open access article distributed under the terms and conditions of the Creative Commons Attribution (CC BY) license ( http://creativecommons.org/licenses/by/4.0/).
Share and Cite
Di Napoli, F.; Magnani, A.; Coppola, M.; Guerriero, P.; D’Alessandro, V.; Codecasa, L.; Tricoli, P.; Daliento, S. On-Line Junction Temperature Monitoring of Switching Devices with Dynamic Compact Thermal Models Extracted with Model Order Reduction. Energies 2017, 10, 189. https://doi.org/10.3390/en10020189
Di Napoli F, Magnani A, Coppola M, Guerriero P, D’Alessandro V, Codecasa L, Tricoli P, Daliento S. On-Line Junction Temperature Monitoring of Switching Devices with Dynamic Compact Thermal Models Extracted with Model Order Reduction. Energies. 2017; 10(2):189. https://doi.org/10.3390/en10020189
Chicago/Turabian StyleDi Napoli, Fabio, Alessandro Magnani, Marino Coppola, Pierluigi Guerriero, Vincenzo D’Alessandro, Lorenzo Codecasa, Pietro Tricoli, and Santolo Daliento. 2017. "On-Line Junction Temperature Monitoring of Switching Devices with Dynamic Compact Thermal Models Extracted with Model Order Reduction" Energies 10, no. 2: 189. https://doi.org/10.3390/en10020189
APA StyleDi Napoli, F., Magnani, A., Coppola, M., Guerriero, P., D’Alessandro, V., Codecasa, L., Tricoli, P., & Daliento, S. (2017). On-Line Junction Temperature Monitoring of Switching Devices with Dynamic Compact Thermal Models Extracted with Model Order Reduction. Energies, 10(2), 189. https://doi.org/10.3390/en10020189

