Energy Performance and Flow Patterns of a Mixed-Flow Pump with Different Tip Clearance Sizes
Abstract
:1. Introduction
2. Physical Model and Computational Mesh
2.1. Physical Model of Mixed-Flow Pump
2.2. Computational Mesh of Mixed-Flow Pump
3. Numerical Method and Setting
3.1. Numerical Method
3.2. Independence Test of Mesh Number and Time Step
3.3. Simulation Accuracy Validation
4. Result and Discussion
4.1. Energy Performance of Mixed-Flow Pump with Different Tip Clearance Sizes
4.2. Flow Pattern in Tip Clearance Region
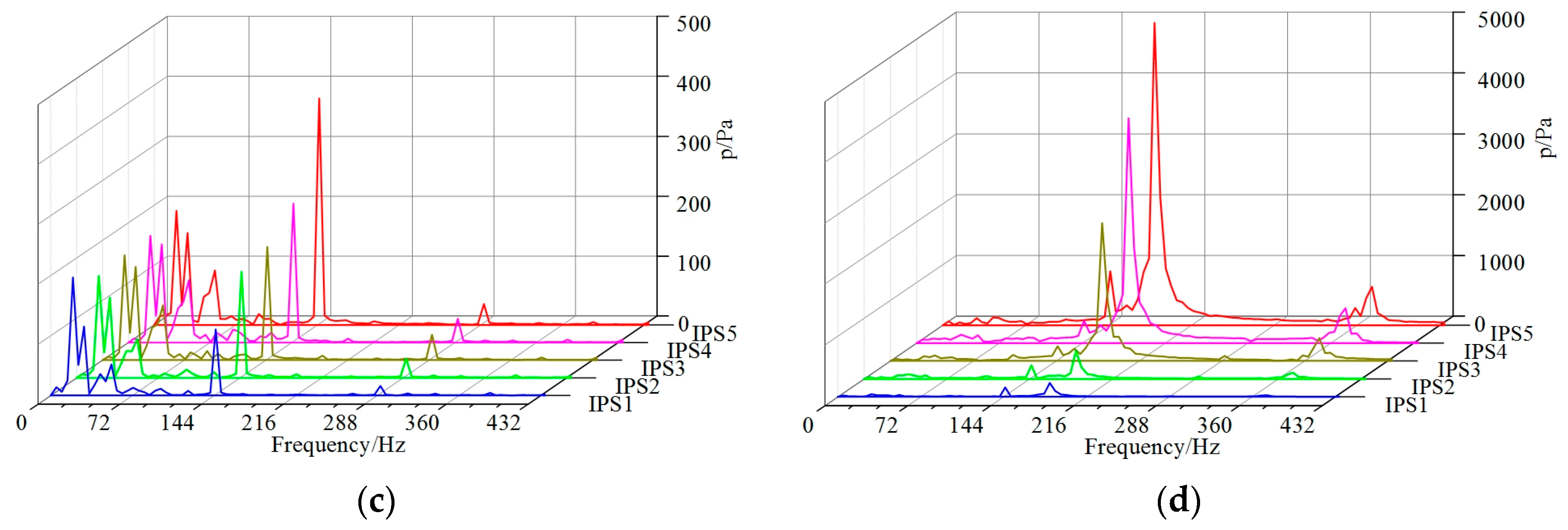
4.3. Pressure Fluctuation in Mixed-Flow Pump
5. Conclusions
- (1)
- With the increase of tip clearance size, the pump head and efficiency decrease. The relationship between pump head and tip clearance size and that between pump efficiency and tip clearance size are expressed by two first-order fitting formulas.
- (2)
- Obvious leakage flow induces a leakage vortex, which greatly intensifies when the tip clearance size increases, and further affects the main flow in blade to blade channel. The leakage separation angle near the blade tip remains at the same value of 10° for different tip clearance sizes.
- (3)
- The maximum amplitudes of the pressure fluctuations dramatically increase in the impeller, especially on the blade tip when the tip clearance size increases from 0.0 mm to 1.0 mm, and the dominant frequencies also grow from 145 Hz to 184 Hz due to the considerable leakage flow.
Acknowledgments
Author Contributions
Conflicts of Interest
References
- Kang, S.; Hirsch, C. Experimental study on the three-dimensional flow within a compressor cascade with tip clearance: Part I—Velocity and pressure fields. J. Turbomach. 1993, 115, 435–443. [Google Scholar] [CrossRef]
- Kang, S.; Hirsch, C. Experimental study on the three dimensional flow within a compressor cascade with tip clearance: Part II—The tip leakage vortex. J. Turbomach. 1993, 115, 444–450. [Google Scholar] [CrossRef]
- Matsunuma, T. Effects of Reynolds number and freestream turbulence on turbine tip clearance flow. J. Turbomach. 2006, 128, 166–177. [Google Scholar] [CrossRef]
- Jang, C.M. Analysis of Vortical Flow Field in a Propeller Fan by LDV Measurements and LES—Part I: Three-dimensional vortical flow structures. J. Fluids Eng. 2001, 123, 748–754. [Google Scholar] [CrossRef]
- Wernet, M.P.; Van Zante, D.; Strazisar, T.J.; John, W.T.; Prahst, P.S. Characterization of the tip clearance flow in an axial compressor using 3-D digital PIV. Exp. Fluids 2005, 39, 743–753. [Google Scholar] [CrossRef]
- Wu, H.; Miorini R, L.; Tan, D.; Katz, J. Turbulence within the tip-leakage vortex of an axial waterjet pump. AIAA J. 2012, 50, 2574–2587. [Google Scholar] [CrossRef]
- Wu, H.; Tan, D.; Miorini, R.L.; Katz, J. Three-dimensional flow structures and associated turbulence in the tip region of a waterjet pump rotor blade. Exp. Fluids 2011, 51, 1721–1737. [Google Scholar] [CrossRef]
- Wu, H.; Miorini, R.L.; Katz, J. Measurements of the tip leakage vortex structures and turbulence in the meridional plane of an axial water-jet pump. Exp. Fluids 2011, 50, 989–1003. [Google Scholar] [CrossRef]
- Miorini, R.L.; Wu, H.; Katz, J. The internal structure of the tip leakage vortex within the rotor of an axial waterjet pump. J. Turbomach. 2012, 134, 031018. [Google Scholar] [CrossRef]
- Zhang, D.S.; Shi, W.; van Esch, B.P.M.B.; Shi, L.; Dubuisson, M. Numerical and experimental investigation of tip leakage vortex trajectory and dynamics in an axial flow pump. Comput. Fluids 2015, 112, 61–71. [Google Scholar] [CrossRef]
- Zhang, D.S.; Shi, W.; Pan, D.; Dubuisson, M. Numerical and experimental investigation of tip leakage vortex cavitation patterns and mechanisms in an axial flow pump. J. Fluids Eng. 2015, 137, 121103. [Google Scholar] [CrossRef]
- Zhang, D.S.; Shi, L.; Shi, W.; Zhao, R.; Wang, H.; van Esch, B.P.M.B. Numerical analysis of unsteady tip leakage vortex cavitation cloud and unstable suction-side-perpendicular cavitating vortices in an axial flow pump. Int. J. Multiph. Flow 2015, 77, 244–259. [Google Scholar] [CrossRef]
- Yang, S.S.; Liu, H.L.; Kong, F.Y.; Xia, B.; Tan, L. Effects of the radial gap between impeller tips and volute tongue influencing the performance and pressure pulsations of pump as turbine. J. Fluids Eng. 2014, 136, 054501. [Google Scholar] [CrossRef]
- Feng, J.; Luo, X.; Guo, P.; Wu, G. Influence of tip clearance on pressure fluctuations in an axial flow pump. J. Mech. Sci. Technol. 2016, 30, 1603–1610. [Google Scholar] [CrossRef]
- You, D.; Wang, M.; Moin, P.; Wang, M. Study of tip-clearance flow in turbomachines using large-eddy simulation. Comput. Sci. Eng. 2004, 6, 38–46. [Google Scholar]
- You, D.; Wang, M.; Moin, P.; Mittal, R. Vortex dynamics and low-pressure fluctuations in the tip-clearance flow. J. Fluids Eng. 2007, 129, 1002–1014. [Google Scholar] [CrossRef]
- Tan, L.; Cao, S.; Wang, Y.; Zhu, B. Direct and inverse iterative design method for centrifugal pump impellers. Proc. Inst. Mech. Eng. Part A J. Power Energy 2012, 226, 764–775. [Google Scholar] [CrossRef]
- Bing, H.; Cao, S. Three-dimensional design method for mixed flow pump blades with controllable blade wrap angle. Proc. Inst. Mech. Eng. Part A J. Power Energy 2013, 227, 567–584. [Google Scholar] [CrossRef]
- Tan, L.; Zhu, B.; Cao, S.; Bing, H.; Wang, Y. Influence of blade wrap angle on centrifugal pump performance by numerical and experimental study. Chin. J. Mech. Eng. 2014, 27, 171–177. [Google Scholar] [CrossRef]
- Bing, H.; Cao, S. Parametrization of blade leading and trailing edge positions and its influence on mixed- flow pump performance. Proc. Inst. Mech. Eng. Part C J. Mech. Eng. Sci. 2014, 228, 703–714. [Google Scholar] [CrossRef]
- Tan, L.; Zhu, B.; Cao, S.; Wang, Y.; Wang, B. Numerical simulation of unsteady cavitation flow in a centrifugal pump at off-design conditions. Proc. Inst. Mech. Eng. Part C J. Mech. Eng. Sci. 2014, 228, 1994–2006. [Google Scholar]
- Tan, L.; Zhu, B.; Wang, Y.; Cao, S.; Gui, S. Numerical study on characteristics of unsteady flow in a centrifugal pump volute at partial load condition. Eng. Comput. 2015, 32, 1549–1566. [Google Scholar] [CrossRef]
- Qu, W.; Tan, L.; Cao, S.; Wang, Y.; Xu, Y. Numerical investigation of clocking effect on a centrifugal pump with inlet guide vanes. Eng. Comput. 2016, 33, 465–481. [Google Scholar] [CrossRef]
- Hao, Y.; Tan, L.; Liu, Y.; Zhang, J.; Zhu, B. Energy Performance and Radial Force of a Mixed-Flow Pump with Symmetrical and Unsymmetrical Tip Clearances. Energies 2017, 10, 57. [Google Scholar] [CrossRef]
- Carravetta, A.; Fecarotta, O.; Ramos, H. Numerical simulation on pump as turbine: Mesh reliability and performance concerns. In Proceedings of the International Conference on Clean Electrical Power, Ischia, Italy, 14–16 June 2011; pp. 169–174.
















| Parameter | Value |
|---|---|
| Rated Flow Rate Q (m3/h) | 1944 |
| Rated Head H (m) | 17 |
| Rotational Speed n (r/min) | 1450 |
| Specific Speed ns | 464 |
| Number of Impeller Blade Zi | 5 |
| Number of Guide Vane Blade Zg | 6 |
| Diameter of Impeller Inlet D1 (mm) | 278 |
| Diameter of Impeller Outlet D2 (mm) | 420 |
| Diameter of Inlet Straight Pipe (mm) | 350 |
| Diameter of Outlet Straight Pipe (mm) | 420 |
| Item | Mesh 1 | Mesh 2 | Mesh 3 | Mesh 4 |
|---|---|---|---|---|
| Inlet pipe | 388,648 | 459,108 | 600,240 | 710,016 |
| Outlet pipe | 230,688 | 256,608 | 419,796 | 589,680 |
| Impeller | 726,600 | 1,613,920 | 2,241,200 | 3,114,720 |
| Guide vane | 516,120 | 1,051,170 | 1,456,704 | 1,820,742 |
| Whole passage | 1,862,056 | 3,380,806 | 4,717,940 | 6,235,158 |
| H/H1 | 1 | 0.99120 | 1.00329 | 0.99667 |
| η/η1 | 1 | 1.00080 | 1.00111 | 1.00397 |
| Parameter | Value |
|---|---|
| Rotational speed | 1450 r/min |
| Total Pressure at pump inlet | 101325 Pa |
| Flow rate at pump outlet | 1944 m3/h |
| Head for δ = 0.0 mm | 17.21 m |
| Head for δ = 0.2 mm | 16.71 m |
| Head for δ = 0.65 mm | 15.94 m |
| Head for δ = 1.0 mm | 15.47 m |
| Monitoring Point | Dominant Frequency/Hz | Maximum Amplitude of Pressure Fluctuation/Pa | ||||||
|---|---|---|---|---|---|---|---|---|
| δ = 0.0 mm | δ = 0.2 mm | δ = 0.65 mm | δ = 1.0 mm | δ = 0.0 mm | δ = 0.2 mm | δ = 0.65 mm | δ = 1.0 mm | |
| IPS1 | 29 | 145 | 19 | 184 | 131 | 100 | 197 | 228 |
| IPS2 | 145 | 145 | 145 | 184 | 245 | 191 | 177 | 460 |
| IPS3 | 145 | 145 | 145 | 184 | 419 | 339 | 189 | 2267 |
| IPS4 | 145 | 145 | 145 | 184 | 428 | 376 | 232 | 3701 |
| IPS5 | 145 | 145 | 145 | 184 | 364 | 244 | 377 | 4972 |
| ISS1 | 29 | 34 | 19 | 184 | 299 | 192 | 423 | 1406 |
| ISS2 | 145 | 145 | 145 | 184 | 56 | 47 | 48 | 248 |
| ISS3 | 145 | 145 | 145 | 184 | 100 | 78 | 87 | 550 |
| ISS4 | 145 | 145 | 145 | 184 | 172 | 136 | 170 | 907 |
| ISS5 | 145 | 145 | 145 | 184 | 236 | 202 | 288 | 1837 |
| Monitoring Point | Dominant Frequency/Hz | Maximum Amplitude of Pressure Fluctuation/Pa | ||||
|---|---|---|---|---|---|---|
| δ = 0.2 mm | δ = 0.65 mm | δ = 1.0 mm | δ = 0.2 mm | δ = 0.65 mm | δ = 1.0 mm | |
| TIPM1 | 97 | 19 | 184 | 197 | 307 | 18847 |
| TIPM2 | 34 | 19 | 184 | 30 | 56 | 2040 |
| TIPM3 | 34 | 19 | 184 | 34 | 76 | 1338 |
| TIPM4 | 145 | 19 | 184 | 72 | 120 | 1389 |
| TIPM5 | 145 | 145 | 184 | 124 | 154 | 1134 |
| TIPM6 | 145 | 19 | 184 | 138 | 145 | 2429 |
| TIPM7 | 145 | 19 | 184 | 87 | 160 | 2260 |
© 2017 by the authors. Licensee MDPI, Basel, Switzerland. This article is an open access article distributed under the terms and conditions of the Creative Commons Attribution (CC BY) license ( http://creativecommons.org/licenses/by/4.0/).
Share and Cite
Liu, Y.; Tan, L.; Hao, Y.; Xu, Y. Energy Performance and Flow Patterns of a Mixed-Flow Pump with Different Tip Clearance Sizes. Energies 2017, 10, 191. https://doi.org/10.3390/en10020191
Liu Y, Tan L, Hao Y, Xu Y. Energy Performance and Flow Patterns of a Mixed-Flow Pump with Different Tip Clearance Sizes. Energies. 2017; 10(2):191. https://doi.org/10.3390/en10020191
Chicago/Turabian StyleLiu, Yabin, Lei Tan, Yue Hao, and Yun Xu. 2017. "Energy Performance and Flow Patterns of a Mixed-Flow Pump with Different Tip Clearance Sizes" Energies 10, no. 2: 191. https://doi.org/10.3390/en10020191
APA StyleLiu, Y., Tan, L., Hao, Y., & Xu, Y. (2017). Energy Performance and Flow Patterns of a Mixed-Flow Pump with Different Tip Clearance Sizes. Energies, 10(2), 191. https://doi.org/10.3390/en10020191

