Research on Single-Phase PWM Converter with Reverse Conducting IGBT Based on Loss Threshold Desaturation Control
Abstract
:1. Introduction
2. Control Characteristics of RC-IGBT PWM Converter
2.1. Driving and Loss Characteristics of RC-IGBT
2.2. Pulse Timing of PWM Converter with RC-IGBT
3. Loss Threshold Desaturation Control of RC-IGBT PWM Converter
3.1. Improved Predictive Current Control
3.2. Desaturation Control of Loss Decrement Threshold
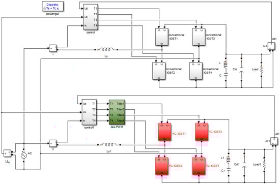
4. Simulation and Experiment
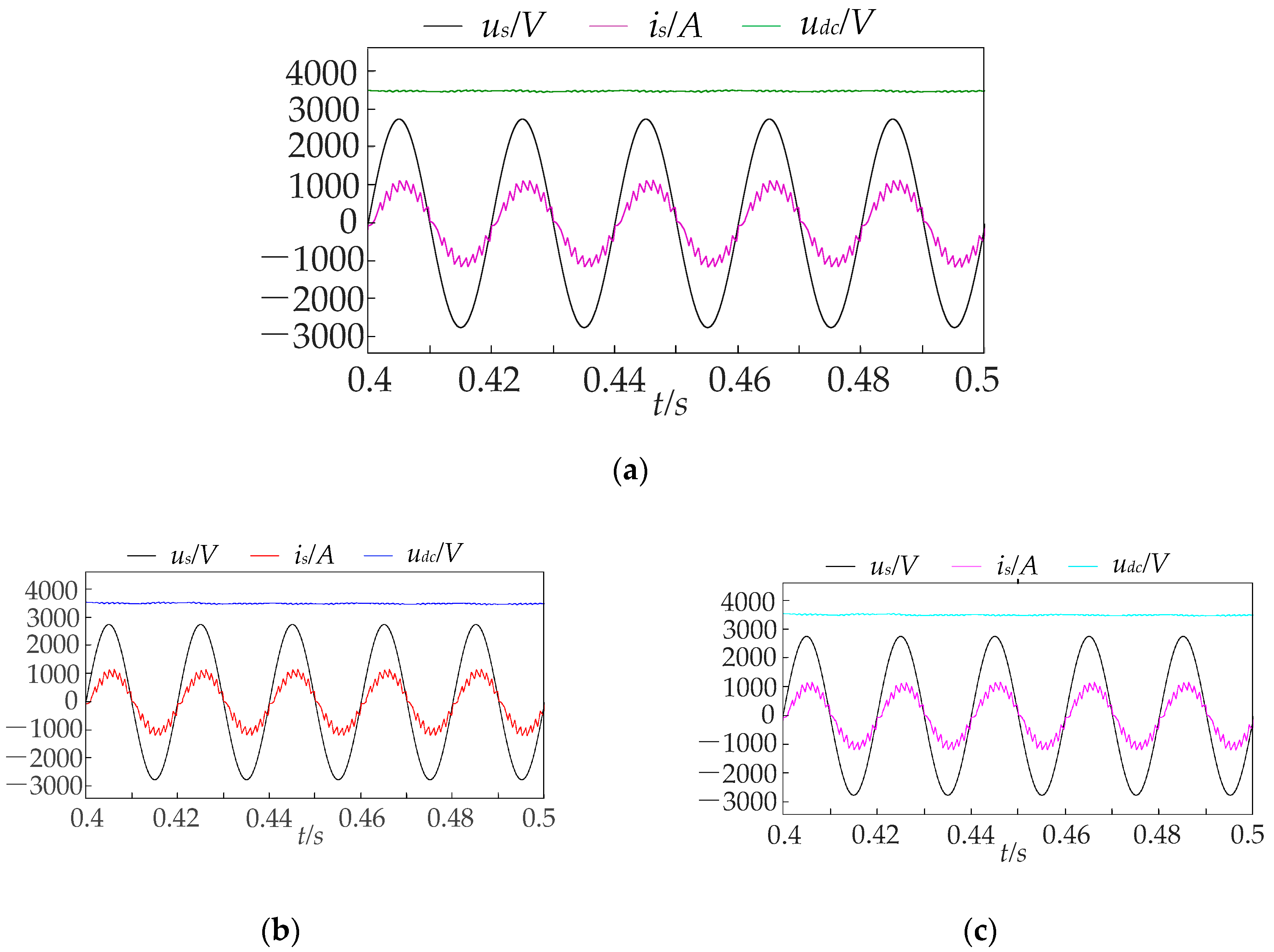
4.1. Simulation Analysis
4.2. Experimental Results
5. Conclusions
Acknowledgments
Author Contributions
Conflicts of Interest
References
- Wen, J.P. Research on the Control Strategies of Single-Phase Three-Level Pwm Rectifier; Beijing Jiaotong University: Beijing, China, 2012; pp. 1–96. [Google Scholar]
- Song, K.J. Research and Implementation of Three Phase Current Source Rectifier; Nanjing University of Aeronautics and Astronautics: Nanjing, China, 2014; pp. 1–99. [Google Scholar]
- Liu, B. Constant-Frequency-Hysteresis Control Strategy for Single Phase PWM Rectifiers; Southwest Jiaotong University: Chengdu, China, 2016; pp. 1–75. [Google Scholar]
- Zhang, Y.C.; Peng, Y.B.; Qu, C.Q. Predictive current control of PWM rectifier under unbalanced grid voltage condition. Trans. China Electrotech. Soc. 2016, 31, 88–94. [Google Scholar]
- Song, W.S.; Deng, Z.X. Model predictive power control scheme for single-phase PWM rectifiers with constant switching frequency. Electr. Mach. Control 2016, 20, 93–100. [Google Scholar]
- Yin, K.; Ma, M.Y.; Cao, M.H.; He, Y.M.; Deng, Y.; Hen, X.N. Research on three-phase hybrid-clamped five-level PWM rectifier. Proc. CSEE 2012, 32, 59–66. [Google Scholar]
- Huang, H. The Research of Single-Phase PWM Rectifier and Control Strategy; Huazhong University of Science & Technology: Wuhan, China, 2012; pp. 1–66. [Google Scholar]
- Yang, L.Y.; Yang, S.; Zhang, W.P.; Chen, Z.G.; Long, X.U. An improved deadbeat predictive current control method for single-phase PWM rectifiers. Proc. CSEE 2015, 35, 5842–5850. [Google Scholar]
- Deng, Z.X.; Song, W.S.; Cao, M.H. A model predictive current control scheme for single-phase PWM rectifiers. Proc. CSEE 2016, 36, 2992–3004. [Google Scholar]
- Wei-Zhong, C.; Ze-Hong, L.; Bo, Z.; Min, R.; Jin-Ping, Z.; Yong, L.; Zhao-Ji, L. A snapback suppressed reverse-conducting IGBT with uniform temperature distribution. Chin. Phys. B 2014, 23, 513–518. [Google Scholar]
- Qiu, H. T-Type Three-Level Inverter with Reverse Blocking IGBT; Beijing Jiaotong University: Beijing, China, 2015; pp. 1–80. [Google Scholar]
- Li, X.P.; Liu, J.; Cao, G.; Gao, M.C.; Wang, Y.H.; Jin, R.; Wen, J.L. Development and application of reverse conducting-IGBT in smart grid. Smart Grid 2017, 5, 1–8. [Google Scholar]
- Mitsubishi Datasheet: CM1000HG-130XA IGBT Module Data Sheet; Mitsubishi Electric Corporation: Tokyo, Japan, 2017.
- Huang, X.J.; Ling, C.; Sun, H.; You, X.J.; Xiao, C.J. Working characteristics of Reverse-Conducting IGBT applied in vehicle converters. Semiconduct. Technol. 2017, 5, 363–370. [Google Scholar]
- Fock-Sui-Too, J.L.; Chauchat, B.; Nicolau, S.; Madrid, F.; Austin, P.; Tounsi, P.; Mermet-Guyennet, M. Experimental study of power IGBT technologies at large range temperature. In Proceedings of the International Conference on Mixed Design of Integrated Circuits and Systems IET, Poznan, Poland, 19–21 June 2008; pp. 519–524. [Google Scholar]
- Chen, W.Z. Theoretical Model and Novel Structures for RC-IGBT; University of Electronic Science and Technology of China: Chengdu, China, 2014; pp. 1–94. [Google Scholar]
- Zhu, L.H. Study on Novel Reverse-Conducting IGBT; University of Electronic Science and Technology of China: Chengdu, China, 2014; pp. 1–101. [Google Scholar]
- Werber, D.; Pfirsch, F.; Gutt, T.; Komarnitskyy, V.; Schaeffer, C.; Hunger, T.; Domes, D. 6.5 kV RCDC: For increased power density in IGBT-modules. In Proceedings of the IEEE International Symposium on Power Semiconductor Devices & IC’s, Waikoloa, HI, USA, 15–19 June 2014; pp. 35–38. [Google Scholar]
- Werber, D.; Hunger, T.; Wissen, M.; Schuetze, T. A 1000 A 6.5 kV power module enabled by reverse-conducting trench-IGBT-technology. In Proceedings of the International Exhibition and Conference for Power Electronics, Intelligent Motion, Renewable Energy and Energy Management (PCIM), Shanghai, China, 28–30 June 2016; pp. 351–358. [Google Scholar]
- Huang, X.J.; Ling, C.; Chang, D.W.; You, X.J.; Zheng, T.Q. Loss characteristics of 6.5kV RC-IGBT applied to a traction converter. Energies 2017, 10, 891. [Google Scholar] [CrossRef]
- Eckel, H.; Wigger, D. Comparison of the output power of RC-IGBT and IGBT/diode inverters. In Proceedings of the Preliminary Conference Program PCIM Europe 2011, Nuremberg, Germany, 17–19 May 2011; pp. 38–43. [Google Scholar]
- Hermann, R.; Krafft, E.U.; Marz, A. Reverse-conducting-IGBTs—A new IGBT technology setting new benchmarks in traction converters. In Proceedings of the IEEE European Conference on Power Electronics and Applications, Lille, France, 2–6 September 2013; pp. 1–8. [Google Scholar]
- Huang, X.J.; You, X.J.; Zheng, Q.L. Traction converter with desaturated diode control for reverse conducting IGBT. Trans. China Electrotech. Soc. 2016, 31 (Suppl. 2), 58–66. [Google Scholar]
- Zhang, Z.R.; Xu, Z.; Xue, Y.L. Valve losses evaluation based on piecewise analytical method for MMC–HVDC links. IEEE Trans. Power Deliv. 2014, 29, 1354–1362. [Google Scholar] [CrossRef]
- Liu, Z.G. Power Electronics; Tsinghua University Press; Beijing University Press: Beijing, China, 2004; pp. 182–191. [Google Scholar]
- Du, X.H. Modeling and Characteristic Research of High Power IGBTs Applied in Traction; Beijing Jiaotong University: Beijing, China, 2016; pp. 1–75. [Google Scholar]
- Zhang, Y.; Liu, J. An improved model-free predictive current control of PWM rectifiers. In Proceedings of the 2017 20th International Conference on Electrical Machines and Systems (ICEMS), Sydney, Australia, 11–14 August 2017; pp. 1–5. [Google Scholar]
- Kwak, S.; Kim, S.E.; Park, J.C. Predictive current control methods with reduced current errors and ripples for single-phase voltage source inverters. IEEE Trans. Ind. Inform. 2015, 5, 1006–1016. [Google Scholar] [CrossRef]
- Luo, Y.; Liu, C.; Yu, F. Predictive current control of a new three-phase voltage source inverter with phase shift compensation. IET Electr. Power Appl. 2017, 5, 740–748. [Google Scholar] [CrossRef]
- Garcia, C.F.; Rivera, M.E.; Rodríguez, J.R.; Wheeler, P.W.; Peña, R.S. Predictive current control with instantaneous reactive power minimization for a four-Leg indirect matrix converter. IEEE Trans. Ind. Electron. 2017, 2, 922–929. [Google Scholar] [CrossRef]
- Liu, Y.C.; Ge, X.; Tang, Q.; Deng, Z.; Gou, B. Model predictive current control for four-switch three-phase rectifiers in balanced grids. Electron. Lett. 2017, 1, 44–46. [Google Scholar] [CrossRef]
- Dütemeyer, T.; Schütze, T. Mitsubishi Datasheet: FZ750R65KE3 IGBT Module Data Sheet; Infineon Corporation: Munich, Germany, 2009. [Google Scholar]


















| us | is | State | Conventional Pulse | Desaturation Pulse | Conducting Switches | |
|---|---|---|---|---|---|---|
| >0 | 1 | 0110 | 0110 | T2-IGBT, T3-IGBT | ||
| 2 | 0101 | 0100 | T2-IGBT, T4-DIODE | |||
| 3 | 1010 | 0010 | T1-DIODE, T3-IGBT | |||
| 4 | 1001 | 0000 | T1-DIODE, T4-DIODE | |||
| 3→1 | T1 desaturated | T2 turned on T1 reverse recovery | ||||
| 4→2 | ||||||
| 2→1 | T4 desaturated | T3 turned on T4 reverse recovery | ||||
| 4→3 | ||||||
| <0 | 5 | 1001 | 1001 | T1-IGBT, T4-IGBT | ||
| 6 | 1010 | 1000 | T1-IGBT, T3-DIODE | |||
| 7 | 0101 | 0001 | T2-DIODE, T4-IGBT | |||
| 8 | 0110 | 0000 | T2-DIODE, T3-DIODE | |||
| 7→5 | T2 desaturated | T1 turned on T2 reverse recovery | ||||
| 8→6 | ||||||
| 6→5 | T3 desaturated | T4 turned on T3 reverse recovery | ||||
| 8→7 | ||||||
| Parameter Name | Signal | Value |
|---|---|---|
| AC side rated voltage | UN | 1950 V |
| AC side rated frequency | fN | 50 Hz |
| DC side output voltage | Ud | 3500 V |
| Operating frequency | fs | 450 Hz |
| AC side inductance | Lm | 2.195 mH |
| AC side resistor | Rm | 0.01 Ω |
| DC side support capacitance | Cd | 5 mF |
| Filter inductance | L2 | 1.27 mH |
| Filter capacitance | C2 | 2 mF |
| Load resistor | R | 8.75 Ω |
| PWM Converter | Econ_IGBT/mJ | Eon/mJ | Eoff/mJ | Eon_diode/mJ | Erec/mJ | Etot/mJ |
|---|---|---|---|---|---|---|
| Con-IGBT *1 | 3520 | 24,160 | 15,680 | 11,950 | 13,040 | 68,350 |
| RC-IGBT(SAT) *2 | 3420 | 26,880 | 15,620 | 12,510 | 13,480 | 71,910 |
| RC-IGBT(RCDC) *3 | 3420 | 17,340 | 15,620 | 11,510 | 12,430 | 60,320 |
| RC-IGBT(THDC) *4 | 3420 | 17,500 | 15,620 | 11,590 | 12,590 | 60,520 |
| IL\IPU | 0 | 10% | 20% | 30% | 40% | 50% | 60% | 70% | 80% | 1 |
|---|---|---|---|---|---|---|---|---|---|---|
| 0.2 IN | 0.1400 | 0.1317 | 0.1080 | 0.0894 | 0.0867 | 0.0834 | 0.0795 | 0.0603 | 0.0516 | 0 |
| 0.5 IN | 0.1513 | 0.1437 | 0.1319 | 0.1205 | 0.1177 | 0.1119 | 0.1040 | 0.0764 | 0.0608 | 0 |
| 0.8 IN | 0.1545 | 0.1506 | 0.1459 | 0.1343 | 0.1211 | 0.1212 | 0.1155 | 0.0820 | 0.0625 | 0 |
| IN | 0.1606 | 0.1544 | 0.1493 | 0.1384 | 0.1332 | 0.1238 | 0.1207 | 0.0868 | 0.0681 | 0 |
| 1.5 IN | 0.1690 | 0.1619 | 0.1515 | 0.1396 | 0.1338 | 0.1261 | 0.1233 | 0.0859 | 0.0669 | 0 |
© 2017 by the authors. Licensee MDPI, Basel, Switzerland. This article is an open access article distributed under the terms and conditions of the Creative Commons Attribution (CC BY) license (http://creativecommons.org/licenses/by/4.0/).
Share and Cite
Huang, X.; Chang, D.; Ling, C.; Zheng, T.Q. Research on Single-Phase PWM Converter with Reverse Conducting IGBT Based on Loss Threshold Desaturation Control. Energies 2017, 10, 1845. https://doi.org/10.3390/en10111845
Huang X, Chang D, Ling C, Zheng TQ. Research on Single-Phase PWM Converter with Reverse Conducting IGBT Based on Loss Threshold Desaturation Control. Energies. 2017; 10(11):1845. https://doi.org/10.3390/en10111845
Chicago/Turabian StyleHuang, Xianjin, Dengwei Chang, Chao Ling, and Trillion Q. Zheng. 2017. "Research on Single-Phase PWM Converter with Reverse Conducting IGBT Based on Loss Threshold Desaturation Control" Energies 10, no. 11: 1845. https://doi.org/10.3390/en10111845
APA StyleHuang, X., Chang, D., Ling, C., & Zheng, T. Q. (2017). Research on Single-Phase PWM Converter with Reverse Conducting IGBT Based on Loss Threshold Desaturation Control. Energies, 10(11), 1845. https://doi.org/10.3390/en10111845

