Using Eye Tracking to Trace a Cognitive Process: Gaze Behaviour During Decision Making in a Natural Environment
Abstract
Introduction
Process tracing in decision-making
Process tracing with eye tracking
Eye tracking and process tracing in a natural environment
Natural Decision Segmentation Model
Method
Participants
Stimuli
Apparatus
Procedure
Analysis
Results
Amount of information
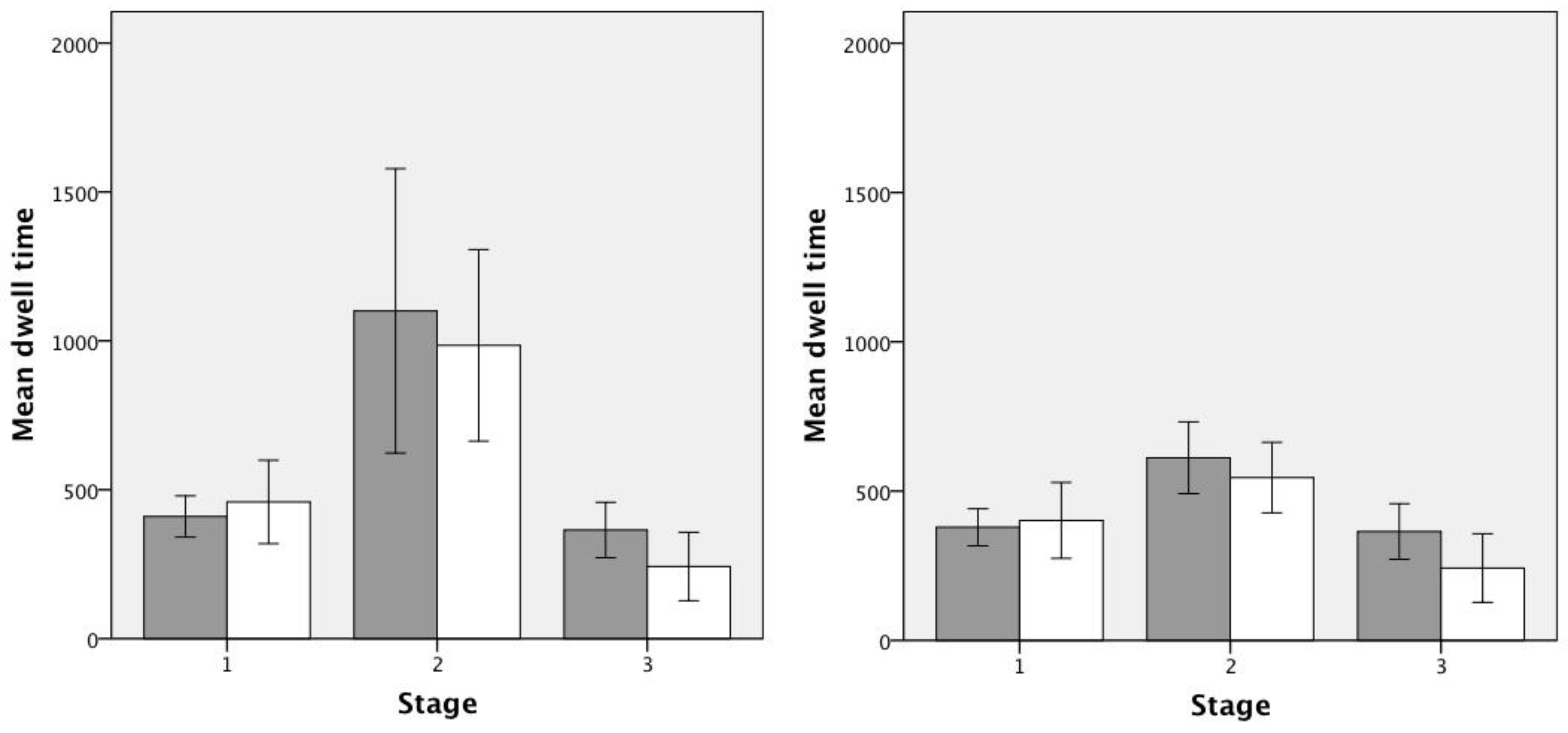
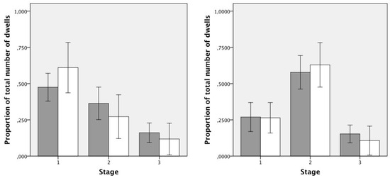
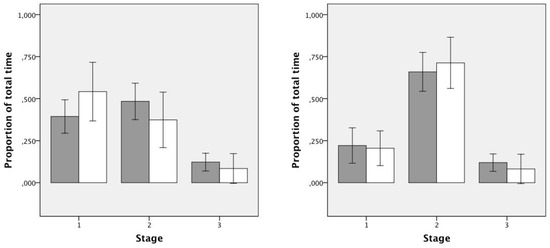
Stages of the decision process
Discussion
What we observed
Relation to previous research
References
- Ballard, D. H., and M. M. Hayhoe. 2009. Modelling the role of task in the control of gaze. Visual Cognition 17: 1185–1204. [Google Scholar] [CrossRef]
- Bettman, J. R., and C. W. Park. 1980. Effects of Prior Knowledge and Experience and Phase of the Choice Process on Consumer Decision Processes: A Protocol Analysis. Journal of Consumer Research 7: 234–248. [Google Scholar]
- Born, S., D. Kerzel, and J. Theeuwes. 2011. Evidence for a dissociation between the control of oculomotor capture and disengagement. Experimental Brain Research 208: 621–631. [Google Scholar] [PubMed]
- Castelhano, M. S., M. L. Mack, and J. M. Hendersson. 2009. Viewing task influences eye movement control during active scene perception. Journal of Vision 9: 1–15. [Google Scholar]
- Chandon, P., J. W. Hutchinson, S. H. Bradlow, and E. Young. 2009. Does In-StorMarketing Work? Effects of the Number and Position of Shelf Facings on Brand Attention and Evaluation at the Point of Purchase. Journal of Marketing 73: 1–17. [Google Scholar]
- Chernev, A. 2003. When more is less and less is more: the role of ideal point availability and assortment in consumer choice. Journal of Consumer Research 30: 170–183. [Google Scholar]
- DeAngelus, M., and J. B. Pelz. 2009. Top-down control of eye movements: Yarbus revisited. Visual cognition 17: 790–811. [Google Scholar]
- Dickson, P. R., and A. G. Sawyer. 1990. The Price Knowledge and Search of Supermarket Shoppers. Journal of Marketing 54: 42–53. [Google Scholar]
- Duncan, J., and G. W. Humphreys. 1989. Visual search and stimulus similarity. Psychological Review 96: 433–458. [Google Scholar]
- Findlay, J. M., V. Brown, and I. D. Gilchrist. 2001. Saccade target selection in visual search: the effect of information from the previous fixation. Vision Research 41: 87–95. [Google Scholar]
- Ford, J. K., N. Schmitt, S. L. Schechtman, B. M. Hults, and M. L. Doherty. 1989. Process tracing methods: Contributions, problems, and neglected research questions. Organizational Behavior and Human Decision Processes 43: 75–117. [Google Scholar]
- Foulsham, T., and A. Kingstone. 2012. Goal-driven and bottom-up gaze in an active real-world search task. In Proceedings of the Symposium on Eye Tracking Research and Applications (ETRA ’12). Edited by S. N. Spencer. New York, NY, USA: ACM, pp. 189–192. [Google Scholar]
- Foulsham, T., E. Walker, and A. Kingstone. 2011. The where, what and when of gaze allocation in the lab and the natural environment. Vision Research 51: 1920–1931. [Google Scholar] [PubMed]
- Gilchrist, I. D., and M. Harvey. 2000. Refixation frequency and memory mechanisms in visual search. Current Biology 10: 1209–1212. [Google Scholar]
- Glaholt, M. G., and E. M. Reingold. 2009. The time course of gaze bias in visual decision tasks. Visual Cognition 17: 1228–1243. [Google Scholar] [CrossRef]
- Glaholt, M. G., and E. M. Reingold. 2011. Eye Movement Monitoring as a Process Tracing Methodology in Decision Making Research. Journal of Neuroscience, Psychology, and Economics 4: 125–146. [Google Scholar]
- Glaholt, M. G., M-C. Wu, and E. M. Reingold. 2010. Evidence for top-down control of eye movements during visual decision making. Journal of Vision 10: 1–10. [Google Scholar] [CrossRef][Green Version]
- Hayhoe, M. M., and D. H. Ballard. 2005. Eye movements in natural behavior. Trends in Cognitive Sciences 9: 188–194. [Google Scholar]
- Hoyer, W. D. 1984. An Examination of Consumer Decision Making for a Common Repeat Purchase Product. Journal of Consumer Research 11: 822–829. [Google Scholar] [CrossRef]
- Iyengar, S. S., and M. R. Lepper. 2000. When choice is demotivating: can one desire too much of a good thing? Journal of Personality and Social Psychology 79: 995–1006. [Google Scholar] [CrossRef]
- Jovanevic-Misic, J., and M. M. Hayhoe. 2009. Adaptive Gaze Control in Natural Environments. Journal of Neuroscience 29: 6234–6238. [Google Scholar] [CrossRef]
- Just, M. A., and P. A. Carpenter. 1985. Cognitive Coordinate Systems: Accounts of Mental Rotation and Individual Differences in Spatial Ability. Psychological Review 92: 137–172. [Google Scholar] [CrossRef] [PubMed]
- Kingstone, A., D. Smilek, and J. D. Eastwood. 2008. Cognitive Ethology: A new approach for studying human cognition. British Journal of Psychology 99: 317–340. [Google Scholar] [PubMed]
- Krajbich, I., C. Armel, and A Rangel. 2010. Visual fixations and the computation and comparison of value in simple choice. Nature Neuroscience 13: 1292–1298. [Google Scholar] [CrossRef]
- Krajbich, I., and A Rangel. 2011. Multialternative drift-diffusion model predicts the relationship between visual fixations and choice in value-based decisions. PNAS 108: 13852–13857. [Google Scholar]
- Land, M. F., and P. McLeod. 2000. From eye movements to actions: how batsmen hit the ball. Nature Neuroscience 3: 1340–1345. [Google Scholar]
- Land, M. F., N. Mennie, and J Rusted. 1999. The roles of vision and eye movements in the control of activities of daily living. Perception 28: 1311–1328. [Google Scholar]
- Lohse, G. L., and E. J. Johnson. 1996. A comparison of two process tracing methods for choice tasks. Organizational Behavior and Human Decision Processes 68: 28–43. [Google Scholar]
- Malcolm, G. L., and J. L. Henderson. 2009. The effects of target template specificity on visual search in real-world scenes: Evidence from eye movements. Journal of Vision 9: 1–13. [Google Scholar]
- Malcolm, G. L., and J. L. Henderson. 2010. Combining top-down processes to guide eye movements during real-world scene search. Journal of Vision 10: 1–11. [Google Scholar]
- Malhotra, N. K. 1982. Information load and consumer decision making. Journal of Consumer Research 8: 419–430. [Google Scholar]
- McSorley, E., and J. M. Findlay. 2003. Saccade target selection in visual search: Accuracy improves when more distractors are present. Journal of Vision 3: 877–892. [Google Scholar] [CrossRef]
- Mulckhuyse, M., W. Van Zoest, and J. Theeuwes. 2008. Capture of the eyes by relevant and irrelevant onsets. Experimental Brain Research 186: 225–235. [Google Scholar] [CrossRef][Green Version]
- Payne, J. W. 1976. Task complexity and contingent processing in decision making: an information search and protocol analysis. Organizational Behavior and Human Performance 16: 366–387. [Google Scholar] [CrossRef]
- Payne, J. W., J. R. Bettman, and E. J. Johnson. 1988. Adaptive strategy selection in decision making. Journal of experimental Psychology: Learning, Memory, and Cognition 14: 534–552. [Google Scholar] [CrossRef]
- Payne, J. W., J. R. Bettman, and E. J. Johnson. 1993. The Adaptive Decision Maker. Cambridge: Cambridge University Press. [Google Scholar]
- Payne, J. W., M. L. Braunstein, and J. S. Carroll. 1978. Exploring Predecisional Behavior: An Alternative Approach to Decision Research. Organizational Behavior and Human Performance 22: 17–44. [Google Scholar] [CrossRef]
- Pieters, R., and L. Warlop. 1999. Visual attention during brand choice: The impact of time pressure and task motivation. International Journal of Research in Marketing 16: 1–16. [Google Scholar] [CrossRef]
- Reisen, N., U. Hoffrage, and F. W. Mast. 2008. Identifying decision strategies in a consumer choice situation. Judgment and Decision Making 3: 641–658. [Google Scholar] [CrossRef]
- Reutskaja, E., and R. M. Hogarth. 2005. Satisfaction in choice as a function of the number of alternatives: when “goods satiate”. Psychology & Marketing 26: 197–203. [Google Scholar]
- Russo, J. E., and F. Leclerc. 1994. An eye-fixation analysis of choice processes for consumer nondurables. Journal of consumer research 21: 274–290. [Google Scholar] [CrossRef]
- Russo, J. E., and L. D. Rosen. 1975. An eye fixation analysis of multialternative choice. Memory and Cognition 3: 267–276. [Google Scholar] [CrossRef]
- Shah, A. M., and G. Wolford. 2007. Buying behavior as a function of parametric variation of number of choices. Psychological Science 18: 369–370. [Google Scholar]
- Schotter, E. R., R. W. Berry, C. R. M. McKenzie, and K. Rayner. 2010. Gaze bias: Selective encoding and liking effects. Visual Cognition 18: 1113–1132. [Google Scholar]
- Shimojo, S., C. Simion, E. Shimojo, and C. Scheier. 2003. Gaze bias both reflects and influences preference. Nature Neuroscience 6: 1317–1322. [Google Scholar] [PubMed]
- Shinoda, H., M. M. Hayhoe, and A. Shrivastava. 2001. What controls attention in natural environments? Vision Research 41: 3535–3545. [Google Scholar]
- Simion, C., and S. Shimojo. 2006. Early interactions between orienting, visual sampling and decision making in facial preference. Vision Research 46: 3331–3335. [Google Scholar]
- Smilek, D., J. D. Eastwood, M. G. Reynolds, and A. Kingstone. 2007. Metacognition and change detection: Do lab and life really converge? Consciousness and Cognition 17: 1056–1061. [Google Scholar] [PubMed]
- Treisman, A., and S. Gormican. 1988. Feature analysis in early vision: Evidence from search asymmetries. Psychological Review 95: 15–48. [Google Scholar]
- Van Raaij, W. F. 1977. Consumer information processing for different information structures and formats. Advances in Consumer Research 4: 176–184. [Google Scholar]
- Vlaskamp, B. N. S., and I. Th. C. Hooge. 2006. Crowding degrades saccadic search performance. Vision Research 46: 417–425. [Google Scholar]
- Wedell, D. H., and S. M. Senter. 1997. Looking and Weighting in Judgment and Choice. Organizational Behavior and Human Decision 70: 41–64. [Google Scholar]
- Yarbus, I. A. 1967. Eye Movements and Vision. New York: Plenum. [Google Scholar]







![]() |
![]() |
Copyright © 2013. This article is licensed under a Creative Commons Attribution 4.0 International License.
Share and Cite
Gidlöf, K.; Wallin, A.; Dewhurst, R.; Holmqvist, K. Using Eye Tracking to Trace a Cognitive Process: Gaze Behaviour During Decision Making in a Natural Environment. J. Eye Mov. Res. 2013, 6, 1-14. https://doi.org/10.16910/jemr.6.1.3
Gidlöf K, Wallin A, Dewhurst R, Holmqvist K. Using Eye Tracking to Trace a Cognitive Process: Gaze Behaviour During Decision Making in a Natural Environment. Journal of Eye Movement Research. 2013; 6(1):1-14. https://doi.org/10.16910/jemr.6.1.3
Chicago/Turabian StyleGidlöf, Kerstin, Annika Wallin, Richard Dewhurst, and Kenneth Holmqvist. 2013. "Using Eye Tracking to Trace a Cognitive Process: Gaze Behaviour During Decision Making in a Natural Environment" Journal of Eye Movement Research 6, no. 1: 1-14. https://doi.org/10.16910/jemr.6.1.3
APA StyleGidlöf, K., Wallin, A., Dewhurst, R., & Holmqvist, K. (2013). Using Eye Tracking to Trace a Cognitive Process: Gaze Behaviour During Decision Making in a Natural Environment. Journal of Eye Movement Research, 6(1), 1-14. https://doi.org/10.16910/jemr.6.1.3

