Attention and Outcomes Across Learning Conditions in L2 Vocabulary Acquisition: Evidence from Eye-Tracking
Abstract
1. Introduction
- RQ1.
- What are the implicit and explicit characteristics of knowledge across incidental and intentional learning conditions?
- RQ2.
- How does the intentional learning treatment affect learners’ attentional allocations and learning outcomes?
1.1. Conditions and Outcomes of Vocabulary Learning
1.2. Awareness and Attention in L2 Vocabulary Learning
1.3. Eye Tracking as a Measure of Attention in L2 Vocabulary Learning
2. Research Methods
2.1. Participants
2.2. Stimuli
2.3. Materials and Instruments
2.3.1. The Eye Tracker
2.3.2. Grammaticality Judgment Test (GJT)
2.3.3. Confidence Ratings and Source Attributions
2.4. Design
2.4.1. Training and Exposure: Explicit Rule Learning
2.4.2. Intentional Treatment: Hidden Rule Learning
2.4.3. Pre-/Post-Tests
2.5. Procedure
2.6. Analysis
3. Results
3.1. Numerical Data
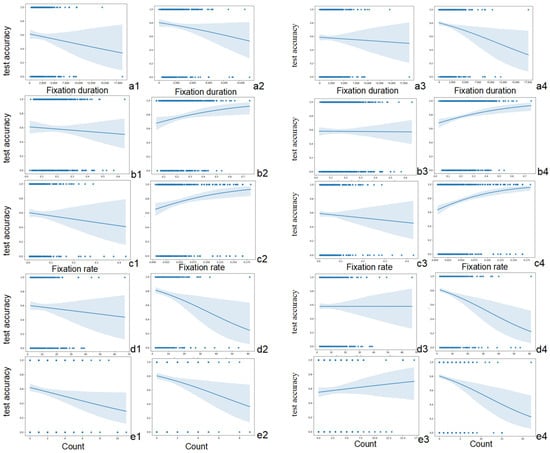
3.2. Eye-Tracking Data
4. Discussion
4.1. The Types of Knowledge Developed Under Incidental and Intentional Learning
4.2. The Relationships Between Learners’ Attention and Learning Outcomes Across Incidental and Intentional Learning Conditions
5. Conclusions
Author Contributions
Funding
Institutional Review Board Statement
Informed Consent Statement
Data Availability Statement
Conflicts of Interest
References
- Rebuschat, P. Measuring Implicit and Explicit Knowledge in Second Language Research. Lang. Learn. 2013, 63, 595–626. [Google Scholar] [CrossRef]
- Maie, R.; DeKeyser, R.M. Conflicting evidence of explicit and implicit knowledge from objective and subjective measures. Stud. Second Lang. Acquis. 2020, 42, 359–382. [Google Scholar] [CrossRef]
- Webb, S.; Yanagisawa, A.; Uchihara, T. How Effective Are Intentional Vocabulary-Learning Activities? A Meta-Analysis. Mod. Lang. J. 2020, 104, 715–738. [Google Scholar] [CrossRef]
- Schmitt, N. Review Article: Instructed Second Language Vocabulary Learning. Lang. Teach. Res. 2008, 12, 329–363. [Google Scholar] [CrossRef]
- Pellicer-Sánchez, A.; Schmitt, N. Incidental Vocabulary Acquisition from an Authentic Novel: Do Things Fall Apart? Read. Foreign Lang. 2010, 22, 31–55. [Google Scholar]
- Pavia, N.; Webb, S.; Faez, F. Incidental Vocabulary Learning from Listening to L2 Songs. Stud. Second Lang. Acquis. 2025, 41, 1–24. [Google Scholar]
- Feng, Y.; Webb, S. Learning Vocabulary through Reading, Listening, and Viewing: Which Mode of Input Is Most Effective? Stud. Second Lang. Acquis. 2020, 42, 499–523. [Google Scholar] [CrossRef]
- Rodgers, M.P.; Webb, S. Incidental Vocabulary Learning through Viewing Television. ITL-Int. J. Appl. Linguist. 2020, 171, 191–220. [Google Scholar] [CrossRef]
- Calvo-Ferrer, J.R.; Belda-Medina, J. The Effect of Multiplayer Video Games on Incidental and Intentional L2 Vocabulary Learning: The Case of Among Us. Multimodal Technol. Interact. 2021, 5, 80. [Google Scholar] [CrossRef]
- Soyoof, A.; Reynolds, B.L.; Shadiev, R.; Vazquez-Calvo, B. A Mixed-Methods Study of the Incidental Acquisition of Foreign Language Vocabulary and Healthcare Knowledge through Serious Game Play. Comput. Assist. Lang. Learn. 2024, 37, 27–60. [Google Scholar] [CrossRef]
- Laufer, B. Focus on Form in Second Language Vocabulary Learning. Eurosla Yearb. 2005, 5, 223–250. [Google Scholar] [CrossRef]
- Bialystok, E. A Theoretical Model of Second Language Learning. Lang. Learn. 1978, 28, 69–83. [Google Scholar] [CrossRef]
- Ellis, R. Measuring Implicit and Explicit Knowledge of a Second Language: A Psychometric Study. Stud. Second Lang. Acquis. 2005, 27, 141–172. [Google Scholar] [CrossRef]
- Leow, R. Explicit Learning and Depth of Processing in the Instructed Setting: Theory, Research, and Practice. Stud. Engl. Educ. 2018, 23, 769–801. [Google Scholar] [CrossRef]
- Tomlin, R.S.; Villa, V. Attention in Cognitive Science and Second Language Acquisition. Stud. Second Lang. Acquis. 1994, 16, 183–203. [Google Scholar] [CrossRef]
- Schacter, D.L. On the Relation between Memory and Consciousness: Dissociable Interactions and Conscious Experience. In Varieties of Memory and Consciousness; Psychology Press: Ann Arbor, MI, USA, 2014; pp. 355–389. [Google Scholar]
- Williams, J.N. Learning without Awareness. Stud. Second Lang. Acquis. 2005, 27, 269–304. [Google Scholar] [CrossRef]
- Hama, M.; Leow, R.P. Learning without awareness revisited: Extending Williams (2005). Stud. Second Lang. Acquis. 2010, 32, 465–491. [Google Scholar] [CrossRef]
- Rebuschat, P.; Hamrick, P.; Sachs, R.; Riestenberg, K.; Ziegler, N.; Bergsleithner, J.; Frota, S.; Yoshioka, J. Implicit and Explicit Knowledge of Form-Meaning Connections: Evidence from Subjective Measures of Awareness. Not. Second Lang. Acquis. Stud. Honor Richard Schmidt 2013, 255, 23. [Google Scholar]
- Zhao, C.; Kormos, J.; Rebuschat, P.; Suzuki, S. The Role of Modality and Awareness in Language Learning. Appl. Psycholinguist. 2021, 42, 703–737. [Google Scholar] [CrossRef]
- Hamrick, P.; Sachs, R. Establishing evidence of learning in experiments employing artificial linguistic systems. Stud. Second. Lang. Acquis. 2018, 40, 153–169. [Google Scholar] [CrossRef]
- Rayner, K.; Slattery, T.J.; Bélanger, N.N. Eye Movements, the Perceptual Span, and Reading Speed. Psychon. Bull. Rev. 2010, 17, 834–839. [Google Scholar] [CrossRef] [PubMed]
- Williams, R.; Morris, R. Eye Movements, Word Familiarity, and Vocabulary Acquisition. Eur. J. Cogn. Psychol. 2004, 16, 312–339. [Google Scholar] [CrossRef]
- Godfroid, A.; Ahn, J.; Choi, I.; Ballard, L.; Cui, Y.; Johnston, S.; Lee, S.; Sarkar, A.; Yoon, H.-J. Incidental Vocabulary Learning in a Natural Reading Context: An Eye-Tracking Study. Biling. Lang. Cogn. 2018, 21, 563–584. [Google Scholar] [CrossRef]
- Godfroid, A.; Boers, F.; Housen, A. Gauging the Role of Attention in Incidental L2 Vocabulary Acquisition by Means of Eye-Tracking. Stud. Second Lang. Acquis. 2013, 35, 483–517. [Google Scholar] [CrossRef]
- Wang, Y.; Gui, M. Unveiling Cognitive Activities Associated with Longer Reading Times on Unknown Words in L2 Reading: An Eye-Tracking Case Study. System 2024, 123, 103359. [Google Scholar] [CrossRef]
- Valentini, A.; Pye, R.E.; Houston-Price, C.; Ricketts, J.; Kirkby, J.A. Online Processing Shows Advantages of Bimodal Listening-while-reading for Vocabulary Learning: An Eye-tracking Study. Read. Res. Q. 2024, 59, 79–101. [Google Scholar] [CrossRef]
- Yi, W.; DeKeyser, R. Incidental Learning of Semantically Transparent and Opaque Chinese Compounds from Reading: An Eye-Tracking Approach. System 2022, 107, 102825. [Google Scholar] [CrossRef]
- Pi, Z.; Huang, X.; Wen, Y.; Wang, Q.; Zhao, X.; Li, X. Happy Facial Expressions and Mouse Pointing Enhance EFL Vocabulary Learning from Instructional Videos. Br. J. Educ. Technol. 2025, 56, 388–409. [Google Scholar] [CrossRef]
- Wang, A.; Pellicer-Sánchez, A. Incidental Vocabulary Learning from Bilingual Subtitled Viewing: An Eye-tracking Study. Lang. Learn. 2022, 72, 765–805. [Google Scholar] [CrossRef]
- Bartolotti, J.; Marian, V. Language Learning and Control in Monolinguals and Bilinguals. Cogn. Sci. 2012, 36, 1129–1147. [Google Scholar] [CrossRef]
- Bolger, P.; Zapata, G. Semantic Categories and Context in L2 Vocabulary Learning. Lang. Learn. 2011, 61, 614–646. [Google Scholar] [CrossRef]
- Koval, N.G. Testing the Deficient Processing Account of the Spacing Effect in Second Language Vocabulary Learning: Evidence from Eye Tracking. Appl. Psycholinguist. 2019, 40, 1103–1139. [Google Scholar] [CrossRef]
- Rop, G.; Van Wermeskerken, M.; De Nooijer, J.A.; Verkoeijen, P.P.J.L.; Van Gog, T. Task Experience as a Boundary Condition for the Negative Effects of Irrelevant Information on Learning. Educ. Psychol. Rev. 2018, 30, 229–253. [Google Scholar] [CrossRef]
- Mohamed, A.A. Exposure Frequency in L2 Reading: An Eye-Movement Perspective of Incidental Vocabulary Learning. Stud. Second Lang. Acquis. 2018, 40, 269–293. [Google Scholar] [CrossRef]
- Serrano, R.; Pellicer-Sánchez, A. Online Processing and Vocabulary Learning in Massed versus Spaced Repeated Reading. Vigo Int. J. Appl. Linguist. 2024, 21, 129–164. [Google Scholar] [CrossRef]
- Liu, P.-L. Using Eye Tracking to Understand the Responses of Learners to Vocabulary Learning Strategy Instruction and Use. Comput. Assist. Lang. Learn. 2014, 27, 330–343. [Google Scholar] [CrossRef]
- Pellicer-Sánchez, A. Incidental L2 Vocabulary Acquisition from and While Reading: An Eye-Tracking Study. Stud. Second Lang. Acquis. 2016, 38, 97–130. [Google Scholar] [CrossRef]
- Hulstijn, J.H. Intentional and Incidental Second Language Vocabulary Learning: A Reappraisal of Elaboration, Rehearsal and Automaticity. In Cognition and Second Language Instruction; Robinson, P., Ed.; Cambridge University Press: Cambridge, UK, 2001; pp. 258–286. [Google Scholar]
- Conklin, K.; Pellicer-Sánchez, A.; Carrol, G. Eye-Tracking: A Guide for Applied Linguistics Research, 1st ed.; Cambridge University Press: Cambridge, UK, 2018. [Google Scholar]
- Tannenbaum, R.J.; Wylie, E.C. Linking English-Language Test Scores onto the Common European Framework of Reference: An Application of Standard-Setting Methodology. ETS Res. Rep. Ser. 2008, 2008, i-75. [Google Scholar] [CrossRef]
- Dienes, Z.; Scott, R. Measuring Unconscious Knowledge: Distinguishing Structural Knowledge and Judgment Knowledge. Psychol. Res. Psychol. Forsch. 2005, 69, 338–351. [Google Scholar] [CrossRef]
- Cop, U.; Dirix, N.; Drieghe, D.; Duyck, W. Presenting GECO: An eyetracking corpus of monolingual and bilingual sentence reading. Behav. Res. Methods 2017, 49, 602–615. [Google Scholar] [CrossRef]
- Rayner, K. The 35th Sir Frederick Bartlett Lecture: Eye Movements and Attention in Reading, Scene Perception, and Visual Search. Q. J. Exp. Psychol. 2009, 62, 1457–1506. [Google Scholar] [CrossRef] [PubMed]
- Rebuschat, P.; Hamrick, P.; Riestenberg, K.; Sachs, R.; Ziegler, N. Triangulating measures of awareness: A Contribution to the Debate on Learning without Awareness. Stud. Second Lang. Acquis. 2015, 37, 299–334. [Google Scholar] [CrossRef]
- Chen, W.; Guo, X.; Tang, J.; Zhu, L.; Yang, Z.; Dienes, Z. Unconscious Structural Knowledge of Form–Meaning Connections. Conscious. Cogn. 2011, 20, 1751–1760. [Google Scholar] [CrossRef]
- Leow, R.P.; Zamora, C.C. Intentional and Incidental L2 Learning. In The Routledge Handbook of Instructed Second Language Acquisition; Loewen, S., Sato, M., Eds.; Routledge: New York, NY, USA, 2017; pp. 33–49. [Google Scholar]
- Tran, R.; Pashler, H. Learning to Exploit a Hidden Predictor in Skill Acquisition: Tight Linkage to Conscious Awareness. PLoS ONE 2017, 12, e0179386. [Google Scholar] [CrossRef]
- Schmidt, R. Attention. In Cognition and Second Language Instruction; Robinson, P., Ed.; Cambridge University Press: Cambridge, UK, 2001; p. 332. [Google Scholar]
- Schmidt, R. Attention, Awareness, and Individual Differences in Language Learning. In Proceedings of the CLaSIC 2010, Singapore, 2–4 December 2010; Chan, W.M., Chi, S., Cin, K.N., Istanto, J., Nagami, M., Sew, J.W., Suthiwan, T., Walker, I., Eds.; National University of Singapore, Centre for Language Studies: Singapore, 2010; pp. 721–737. [Google Scholar]
- Nelson, R., Jr. Vigilance, Expectancy, and Noise: Attention in Second Language Lexical Learning and Memory. Second Lang. Res. 2011, 27, 153–171. [Google Scholar] [CrossRef]
- Hamrick, P.; Rebuschat, P. How Implicit Is Statistical Learning? In Statistical Learning and Language Acquisition; Rebuschat, P., Williams, J.N., Eds.; DE GRUYTER: Berlin, Germany, 2011; pp. 365–382. [Google Scholar] [CrossRef]
- Godfroid, A. Eye Tracking in Second Language Acquisition and Bilingualism: A Research Synthesis and Methodological Guide, 1st ed.; Routledge: New York, NY, USA, 2019. [Google Scholar] [CrossRef]
- Zhai, X.; Dong, Y.; Wang, S.; Wang, L.; Yuan, J. Exploring Eye-Tracking Analyses of EFL Learners’ Cognitive Processing of Reduced Relative Clause. Clust. Comput. 2019, 22, 14181–14192. [Google Scholar] [CrossRef]
- Godfroid, A.; Loewen, S.; Jung, S.; Park, J.-H.; Gass, S.; Ellis, R. Timed and Untimed Grammaticality Judgments Measure Distinct Types of Knowldge: Evidence from Eye-Movement Patterns. Stud. Second Lang. Acquis. 2015, 37, 269–297. [Google Scholar] [CrossRef]
- Reichle, E.D.; Warren, T.; McConnell, K. Using E-Z Reader to Model the Effects of Higher Level Language Processing on Eye Movements during Reading. Psychon. Bull. Rev. 2009, 16, 1–21. [Google Scholar] [CrossRef]
- Kaakinen, J.K.; Hyönä, J.; Keenan, J.M. Perspective Effects on Online Text Processing. Discourse Process. 2002, 33, 159–173. [Google Scholar] [CrossRef]




| Background Survey Components | Frequency (N) | Percentage (%) | |
|---|---|---|---|
| Gender | Female | 16 | 61.5% |
| Male | 10 | 38.5% | |
| Age | Range | 18–23 (years old) | - |
| Mean | 21 (years old) | - | |
| Major | Computer science and automation | 8 | 30.8% |
| Artificial intelligence | 3 | 11.5% | |
| Energy and environment | 3 | 11.5% | |
| Engineering | 4 | 15.4% | |
| Other | 8 | 30.8% | |
| Year 1 and 2 | 19 | 73.1% | |
| Year 3 and 4 | 7 | 26.9% | |
| Years of English learning | Mean | 13.3 (years) | - |
| Proficiency level | B1 level | 8 | 30.8% |
| B2 level | 18 | 69.2% | |
| Non-Animate NPs | Animate NPs | ||
|---|---|---|---|
| ros vase | nem book | gid dog | ull horse |
| ros phone | nem pen | gid goat | ull bear |
| ros sofa | nem table | gid bird | ull cat |
| ros desks | nem boats | gid rats | ull horses |
| ros cups | nem lamps | gid birds | ull cats |
| ros shelves | nem candles | gid monkeys | ull pigs |
| Time | Condition | N | M | SD | t | p |
|---|---|---|---|---|---|---|
| Pre-test | Explicit knowledge | 776 | 0.61 | 0.49 | 6.14 | 0.000 ** |
| Implicit knowledge | 294 | 0.46 | 0.50 | −1.28 | 0.200 | |
| Post-test | Explicit knowledge | 974 | 0.78 | 0.42 | 20.67 | 0.000 ** |
| Implicit knowledge | 112 | 0.64 | 0.48 | 3.14 | 0.0022 * |
| Predictors | β | SE | Wald | p | |
|---|---|---|---|---|---|
| AOI NP | |||||
| TFD | −0.000 | 0.000 | 3.806 | 0.000 ** | |
| TFR | 2.777 | 0.708 | 15.881 | 0.000 ** | |
| TFC | −0.036 | 0.011 | 9.885 | 0.000 ** | |
| SFR | 12.614 | 2.487 | 25.857 | 0.000 ** | |
| RI | −0.102 | 0.034 | 9.295 | 0.003 * | |
| AOI N | |||||
| TFD | −0.001 | 0.000 | 1.965 | 0.160 | |
| TFR | 2.793 | 0.944 | 8.754 | 0.003 * | |
| TFC | −0.036 | 0.014 | 6.375 | 0.012 * | |
| SFR | 9.454 | 2.773 | 11.527 | 0.000 ** | |
| RI | −0.201 | 0.075 | 7.081 | 0.00 8* |
Disclaimer/Publisher’s Note: The statements, opinions and data contained in all publications are solely those of the individual author(s) and contributor(s) and not of MDPI and/or the editor(s). MDPI and/or the editor(s) disclaim responsibility for any injury to people or property resulting from any ideas, methods, instructions or products referred to in the content. |
© 2025 by the authors. Licensee MDPI, Basel, Switzerland. This article is an open access article distributed under the terms and conditions of the Creative Commons Attribution (CC BY) license (https://creativecommons.org/licenses/by/4.0/).
Share and Cite
Yang, Y.; Ren, H. Attention and Outcomes Across Learning Conditions in L2 Vocabulary Acquisition: Evidence from Eye-Tracking. J. Eye Mov. Res. 2025, 18, 21. https://doi.org/10.3390/jemr18030021
Yang Y, Ren H. Attention and Outcomes Across Learning Conditions in L2 Vocabulary Acquisition: Evidence from Eye-Tracking. Journal of Eye Movement Research. 2025; 18(3):21. https://doi.org/10.3390/jemr18030021
Chicago/Turabian StyleYang, Yiyang, and Hulin Ren. 2025. "Attention and Outcomes Across Learning Conditions in L2 Vocabulary Acquisition: Evidence from Eye-Tracking" Journal of Eye Movement Research 18, no. 3: 21. https://doi.org/10.3390/jemr18030021
APA StyleYang, Y., & Ren, H. (2025). Attention and Outcomes Across Learning Conditions in L2 Vocabulary Acquisition: Evidence from Eye-Tracking. Journal of Eye Movement Research, 18(3), 21. https://doi.org/10.3390/jemr18030021

