A Single-Camera Gaze Tracking System Under Natural Light
Abstract
Introduction
Related work
Feature-based methods
Appearance-based methods
Methods
Iris center localization
Anchor point
Head pose
Mapping functions
Evaluation
Databases
Evaluation of iris center localization
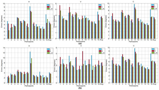
Evaluation of different mapping functions
Evaluation of the weight coefficient w
Computational cost
Discussion
Ethics and Conflict of Interest
References
- Blignaut, P. 2016. Idiosyncratic Feature-Based Gaze Mapping. Journal of Eye Movement Research 9, 3. [Google Scholar] [CrossRef]
- Blignaut, P., K. Holmqvist, M. Nyström, and R. Dewhurst. 2014. Improving the accuracy of video-based eye tracking in real time through post-calibration regression. In Current Trends in Eye Tracking Research. Springer International Publishing: pp. 77–100. [Google Scholar] [CrossRef]
- Boehm, A., D. Chen, M. Frank, L. Huang, C. Kuo, T. Lolic, and I. Martinovic. 2013. Safe: Secure authentication with face and eyes. IEEE International Conference on In Privacy and Security in Mobile Systems (PRISMS), Atlantic City, NJ, USA; June, pp. 1–8. [Google Scholar] [CrossRef]
- Cheung, Y. M., and Q. Peng. 2015. Eye gaze tracking with a web camera in a desktop environment. IEEE Transactions on Human-Machine Systems 45, 4: 419–430. [Google Scholar] [CrossRef]
- Crane, H. D., and C. M. Steele. 1985. Generation-V dualPurkinje-image eyetracker. Applied Optics 24, 4: 527–537. [Google Scholar] [CrossRef] [PubMed]
- Cui, Y., and J. M. Hondzinski. 2006. Gaze tracking accuracy in humans: Two eyes are better than one. Neuroscience letters 396, 3: 257–262. [Google Scholar] [CrossRef] [PubMed]
- Deubel, H., and W. X. Schneider. 1996. Saccade target selection and object recognition: Evidence for a common attentional mechanism. Vision research 36, 12: 1827–1837. [Google Scholar] [CrossRef] [PubMed]
- Drewes, J., W. Zhu, Y. Hu, and X. Hu. 2014. Smaller is better: Drift in gaze measurements due to pupil dynamics. PloS one 9, 10: e111197. [Google Scholar] [CrossRef]
- El Hafi, L., M. Ding, J. Takamatsu, and T. Ogasawara. 2017. Gaze Tracking and Object Recognition from Eye Images; Taichung, Taiwan: IEEE International Conference on Robotic Computing (IRC), pp. 310–315. [CrossRef]
- Fridman, L., P. Langhans, J. Lee, and B. Reimer. 2016. Driver Gaze Region Estimation without Use of Eye Movement. IEEE Intelligent Systems 31, 3: 49–56. [Google Scholar] [CrossRef]
- Ghiass, R. S., and O. Arandjelovic. 2016. Highly accurate gaze estimation using a consumer RGB-D sensor. In Proceedings of the Twenty-Fifth International Joint Conference on Artificial Intelligence. New York, USA: AAAI Press, July, pp. 3368–3374. Available online: https://dl.acm.org/citation.cfm?id=3061092.
- Hansen, D. W., and Q. Ji. 2010. In the eye of the beholder: A survey of models for eyes and gaze. IEEE transactions on pattern analysis and machine intelligence 32, 3: 478–500. [Google Scholar] [CrossRef] [PubMed]
- Holmqvist, K., and R. Andersson. 2017. Eye tracking: A comprehensive guide to methods, paradigms, and measures. Lund, Sweden: Lund Eye-Tracking Research Institute. [Google Scholar]
- Huck, A., R. L. Thompson, M. Cruice, and J. Marshall. 2017. Effects of word frequency and contextual predictability on sentence reading in aphasia: an eye movement analysis. Aphasiology 31, 11: 1307–1332. [Google Scholar] [CrossRef]
- Jesorsky, O., K. J. Kirchberg, and R. W. Frischholz. 2001. Robust face detection using the hausdorff distance. International Conference on Audio-and Video-Based Biometric Person Authentication; Springer, June, pp. 90–95. [Google Scholar] [CrossRef]
- Kaehler, A., and G. Bradski. 2016. Learning OpenCV 3: computer vision in C++ with the OpenCV library. O’Reilly Media, Inc. [Google Scholar]
- Kazemi, V., and J. Sullivan. 2014. One millisecond face alignment with an ensemble of regression trees. Proceedings of the IEEE Conference on Computer Vision and Pattern Recognition, Columbus, OH, USA; pp. 1867–1874. [Google Scholar] [CrossRef]
- Kennedy, J., P. Baxter, and T. Belpaeme. 2015. Head pose estimation is an inadequate replacement for eye gaze in child-robot interaction. Proceedings of the tenth annual acm/ieee international conference on human-robot interaction extended abstracts; New York, NY, USA: ACM, March, pp. 35–36. [Google Scholar] [CrossRef]
- Kim, K. N., and R. S. Ramakrishna. 1999. Vision-based eye-gaze tracking for human computer interface. IEEE SMC’99 Conference on Systems, Man, and Cybernetics Proceedings, Tokyo, Japan, Vol. 2, pp. 324–329. [Google Scholar] [CrossRef]
- King, D. E. 2009. Dlib-ml: a machine learning toolkit. J Mach Learn Res 10(Jul): 1755–1758. [Google Scholar]
- Krafka, K., A. Khosla, P. Kellnhofer, H. Kannan, S. Bhandarkar, and W. Matusik. 2016. Eye tracking for everyone. In Proceedings of the IEEE Conference on Computer Vision and Pattern Recognition. Las Vegas, NV, USA, pp. 2176–2184. [Google Scholar] [CrossRef]
- Kumar, M., T. Garfinkel, D. Boneh, and T. Winograd. 2007. Reducing shoulder-surfing by using gaze-based password entry. In Proceedings of the 3rd symposium on Usable privacy and security (pp. 13–19)., July; Pittsburgh, Pennsylvania, USA: ACM. [Google Scholar] [CrossRef]
- Lahey, J. N., and D. Oxley. 2016. The power of eye tracking in economics experiments. American Economic Review 106, 5: 309–13. [Google Scholar] [CrossRef]
- Li, J., and S. Li. 2016. Gaze estimation from color image based on the eye model with known head pose. IEEE Transactions on Human-Machine Systems 46, 3: 414–423. [Google Scholar] [CrossRef]
- Miles, W. R. 1930. Ocular dominance in human adults. The journal of general psychology 3, 3: 412–430. [Google Scholar] [CrossRef]
- Mora, K. A. F., F. Monay, and J. M. Odobez. 2014. Eyediap: A database for the development and evaluation of gaze estimation algorithms from rgb and rgb-d cameras. In Proceedings of the Symposium on Eye Tracking Research and Applications, March; ACM, pp. 255–258. [Google Scholar] [CrossRef]
- Mora, K. A. F., and J. M. Odobez. 2012. Gaze estimation from multimodal kinect data. IEEE Computer Society Conference on Computer Vision and Pattern Recognition Workshops (CVPRW), Providence, RI, USA, June; pp. 25–30. [Google Scholar] [CrossRef]
- Newman, R., Y. Matsumoto, S. Rougeaux, and A. Zelinsky. 2000. Real-time stereo tracking for head pose and gaze estimation. Fourth IEEE International Conference on Automatic Face and Gesture Recognition, Grenoble, France; pp. 122–128. [Google Scholar] [CrossRef]
- Nyström, M., R. Andersson, K. Holmqvist, and J. Van De Weijer. 2013. The influence of calibration method and eye physiology on eyetracking data quality. Behavior research methods 45, 1: 272–288. [Google Scholar] [CrossRef] [PubMed]
- Pan, Y., and A. Steed. 2014. A gaze-preserving situated multiview telepresence system. In Proceedings of the 32nd annual ACM conference on Human factors in computing systems. Toronto, Ontario, Canada: ACM, pp. 2173–2176. [Google Scholar] [CrossRef]
- Quartley, J., and A. Y. Firth. 2004. Binocular sighting ocular dominance changes with different angles of horizontal gaze. Binocular vision & strabismus quarterly 19, 1: 25–30. [Google Scholar]
- Sesma, L., A. Villanueva, and R. Cabeza. 2012. Evaluation of pupil center-eye corner vector for gaze estimation using a web cam. In Proceedings of the symposium on eye tracking research and applications. ACM: pp. 217–220. [Google Scholar] [CrossRef]
- Skodras, E., V. G. Kanas, and N. Fakotakis. 2015. On visual gaze tracking based on a single low cost camera. Signal Processing: Image Communication 36: 29–42. [Google Scholar] [CrossRef]
- Sugano, Y., Y. Matsushita, and Y. Sato. 2014. Learning-by-synthesis for appearance-based 3d gaze estimation. In Proceedings of the IEEE Conference on Computer Vision and Pattern Recognition, Columbus, OH, USA; pp. 1821–1828. [Google Scholar] [CrossRef]
- Thevenaz, P., and M. Unser. 2008. Snakuscules. IEEE Transactions on image processing 17, 4: 585–593. [Google Scholar] [CrossRef] [PubMed][Green Version]
- Timm, F., and E. Barth. 2011. Accurate Eye Centre Localisation by Means of Gradients. VISAPP 2011 Proceedings of the Sixth Interna-tional Conference on Computer Vision Theory and Applications; pp. 125–130. URL: https://pdfs.semanticscholar.org/c931/1a0c5045d86a617bd05a5cc269f44e81508d.pdf.
- Valenti, R., J. Staiano, N. Sebe, and T. Gevers. 2009. Webcam-based visual gaze estimation. Image Analysis and Processing–ICIAP, 662–671. [Google Scholar] [CrossRef]
- Villanueva, A., V. Ponz, L. Sesma-Sanchez, M. Ariz, S. Porta, and R. Cabeza. 2013. Hybrid method based on topography for robust detection of iris center and eye corners. ACM Transactions on Multimedia Computing, Communications, and Applications (TOMM), vol. 9, p. 25. [Google Scholar] [CrossRef]
- Weidenbacher, U., G. Layher, P. M. Strauss, and H. Neumann. 2007. A comprehensive head pose and gaze database. 3rd IET International Conference on Intelligent Environments (IE 07), Ulm, Germany, September; pp. 455–458. [Google Scholar] [CrossRef]
- Wood, E., and A. Bulling. 2014. Eyetab: Model-based gaze estimation on unmodified tablet computers. In Proceedings of the Symposium on Eye Tracking Research and Applications, March; ACM, pp. 207–210. [Google Scholar] [CrossRef]
- Xiao, F., K. Huang, Y. Qiu, and H. Shen. 2018. Accurate iris center localization method using facial landmark, snakuscule, circle fitting and binary connected component. Multimedia Tools and Applications, 1–21. [Google Scholar] [CrossRef]









| Left eye | Right eye |
| Xl = P43x | Xl = P37x |
| Xr = P46x | Xr = P40x |
| Yt = min{P44y ,P45y}-3 | Yt = min{P38y ,P39y}-3 |
| Yb = max{P47y, P48y}+3 | Yb = max{P41y, P42y}+3 |

| No. | δ = 1 | δ = 2 | ||||
| H | V | C | H | V | C | |
| 1 | 6.4 | 4.0 | 7.5 | 6.3 | 3.9 | 7.4 |
| 2 | 6.4 | 3.9 | 7.5 | 6.2 | 3.8 | 7.3 |
| 3 | 6.0 | 4.1 | 7.3 | 5.8 | 4.1 | 7.1 |
| 4 | 5.8 | 4.0 | 7.0 | 5.7 | 4.0 | 7.0 |
| 5 | 6.2 | 4.6 | 7.7 | 6.1 | 4.6 | 7.6 |
| 6 | 6.1 | 4.5 | 7.6 | 5.9 | 4.4 | 7.4 |
| No. | DSM | |||||||||||
| H | V | C | ||||||||||
| TF | DF | DF/TF | L | R | L+R | L | R | L+R | L | R | L+R | |
| 1 | 4465 | 3893 | 87.2% | 7.9 | 8.0 | 7.7 | 4.5 | 4.5 | 4.5 | 9.1 | 9.2 | 8.9 |
| 2 | 4464 | 4335 | 97.1% | 7.6 | 6.5 | 6.8 | 3.7 | 3.8 | 3.7 | 8.4 | 7.6 | 7.7 |
| 3 | 4433 | 4322 | 97.5% | 5.9 | 6.9 | 5.9 | 5.7 | 5.5 | 5.3 | 8.2 | 8.8 | 7.9 |
| 4 | 4464 | 4402 | 98.6% | 7.7 | 7.2 | 5.7 | 5.0 | 4.8 | 4.5 | 9.2 | 8.7 | 7.3 |
| 5 | 4465 | 4465 | 100% | 5.9 | 5.2 | 4.5 | 4.5 | 4.1 | 4.0 | 7.4 | 6.7 | 6.0 |
| 6 | 4464 | 4464 | 100% | 5.3 | 5.5 | 5.1 | 4.6 | 4.6 | 4.5 | 7.0 | 7.2 | 6.8 |
| 8 | 4465 | 4020 | 90.0% | 9.2 | 10.1 | 8.7 | 4.8 | 4.5 | 4.4 | 10.4 | 11.0 | 9.8 |
| 9 | 4464 | 4362 | 97.7% | 10.1 | 6.8 | 7.5 | 3.7 | 3.7 | 3.6 | 10.8 | 7.8 | 8.3 |
| 10 | 4464 | 4450 | 99.7% | 9.1 | 9.5 | 9.2 | 4.5 | 4.8 | 4.6 | 10.2 | 10.7 | 10.3 |
| 11 | 4465 | 4465 | 100% | 4.7 | 3.7 | 3.5 | 4.5 | 6.4 | 3.5 | 6.5 | 7.4 | 4.9 |
| 14 | 4465 | 4464 | 100% | 4.7 | 4.3 | 3.6 | 3.7 | 3.6 | 3.3 | 6.0 | 5.5 | 4.9 |
| 15 | 4465 | 4465 | 100% | 3.8 | 3.4 | 3.2 | 4.1 | 4.2 | 4.2 | 5.6 | 5.4 | 5.3 |
| 16 | 4465 | 4286 | 96.0% | 6.1 | 6.6 | 4.9 | 4.0 | 4.1 | 3.9 | 7.3 | 7.8 | 6.2 |
| Avg. | 4462 | 4338 | 97.2% | 6.8 | 6.5 | 5.9 | 4.4 | 4.5 | 4.2 | 8.1 | 7.9 | 7.2 |
| CSM | ||||||||||||
| 1 | 4457 | 3370 | 75.6% | 9.7 | 11.2 | 10.3 | 4.0 | 4.1 | 4.0 | 10.5 | 12.0 | 11.0 |
| 2 | 4457 | 4360 | 97.8% | 7.9 | 7.6 | 7.6 | 3.2 | 3.2 | 3.1 | 8.5 | 8.2 | 8.2 |
| 3 | 4458 | 3962 | 88.9% | 6.0 | 7.0 | 5.9 | 4.1 | 3.8 | 4.0 | 7.3 | 8.0 | 7.1 |
| 4 | 4494 | 4333 | 96.4% | 8.1 | 7.0 | 6.7 | 3.7 | 3.8 | 3.7 | 8.9 | 8.0 | 7.7 |
| 5 | 4458 | 4394 | 98.6% | 5.3 | 6.1 | 5.1 | 3.8 | 3.6 | 3.7 | 6.5 | 7.1 | 6.3 |
| 6 | 4458 | 4458 | 100% | 7.7 | 8.4 | 7.6 | 4.4 | 4.5 | 4.1 | 8.8 | 9.6 | 8.6 |
| 8 | 4458 | 3510 | 78.7% | 10.6 | 9.3 | 9.6 | 4.1 | 4.5 | 4.3 | 11.4 | 10.3 | 10.5 |
| 9 | 4457 | 4199 | 94.2% | 7.4 | 7.2 | 7.2 | 4.0 | 3.8 | 3.8 | 8.4 | 8.1 | 8.1 |
| 10 | 4492 | 4492 | 100% | 6.5 | 7.3 | 6.6 | 5.0 | 4.9 | 4.9 | 8.2 | 8.8 | 8.3 |
| 11 | 4458 | 4360 | 97.8% | 6.0 | 6.5 | 6.2 | 3.6 | 3.6 | 3.6 | 7.0 | 7.4 | 7.1 |
| 14 | 4458 | 4439 | 99.6% | 4.1 | 3.3 | 3.4 | 3.1 | 4.1 | 3.4 | 5.2 | 5.2 | 4.9 |
| 15 | 4458 | 4458 | 100% | 3.6 | 3.5 | 2.9 | 3.2 | 3.2 | 3.1 | 4.8 | 4.8 | 4.2 |
| 16 | 4458 | 4293 | 96.3% | 5.5 | 9.7 | 5.5 | 4.2 | 5.8 | 3.8 | 6.9 | 11.3 | 6.6 |
| Avg. | 4463 | 4202 | 94.2% | 6.8 | 7.2 | 6.5 | 3.9 | 4.1 | 3.8 | 7.9 | 8.4 | 7.6 |
| Data | Resolution | Execution time (milliseconds) | fps | |
| Facial landmarks detection | Gaze tracking | |||
| EYEDIAP | 512×380 | 44.5 | 0.7 | 22 |
| Camera | 320×240 | 27.4 | 1.2 | 35 |
Copyright © 2018. This article is licensed under a Creative Commons Attribution 4.0 International License.
Share and Cite
Xiao, F.; Zheng, D.; Huang, K.; Qiu, Y.; Shen, H. A Single-Camera Gaze Tracking System Under Natural Light. J. Eye Mov. Res. 2018, 11, 1-14. https://doi.org/10.16910/jemr.11.4.5
Xiao F, Zheng D, Huang K, Qiu Y, Shen H. A Single-Camera Gaze Tracking System Under Natural Light. Journal of Eye Movement Research. 2018; 11(4):1-14. https://doi.org/10.16910/jemr.11.4.5
Chicago/Turabian StyleXiao, Feng, Dandan Zheng, Kejie Huang, Yue Qiu, and Haibin Shen. 2018. "A Single-Camera Gaze Tracking System Under Natural Light" Journal of Eye Movement Research 11, no. 4: 1-14. https://doi.org/10.16910/jemr.11.4.5
APA StyleXiao, F., Zheng, D., Huang, K., Qiu, Y., & Shen, H. (2018). A Single-Camera Gaze Tracking System Under Natural Light. Journal of Eye Movement Research, 11(4), 1-14. https://doi.org/10.16910/jemr.11.4.5