Heart Rate Variability Biofeedback Training Can Improve Menopausal Symptoms and Psychological Well-Being in Women with a Diagnosis of Primary Breast Cancer: A Longitudinal Randomized Controlled Trial
Abstract
1. Introduction
2. Materials and Methods
2.1. Participants
2.2. Inclusion Criteria
2.3. Power Analysis
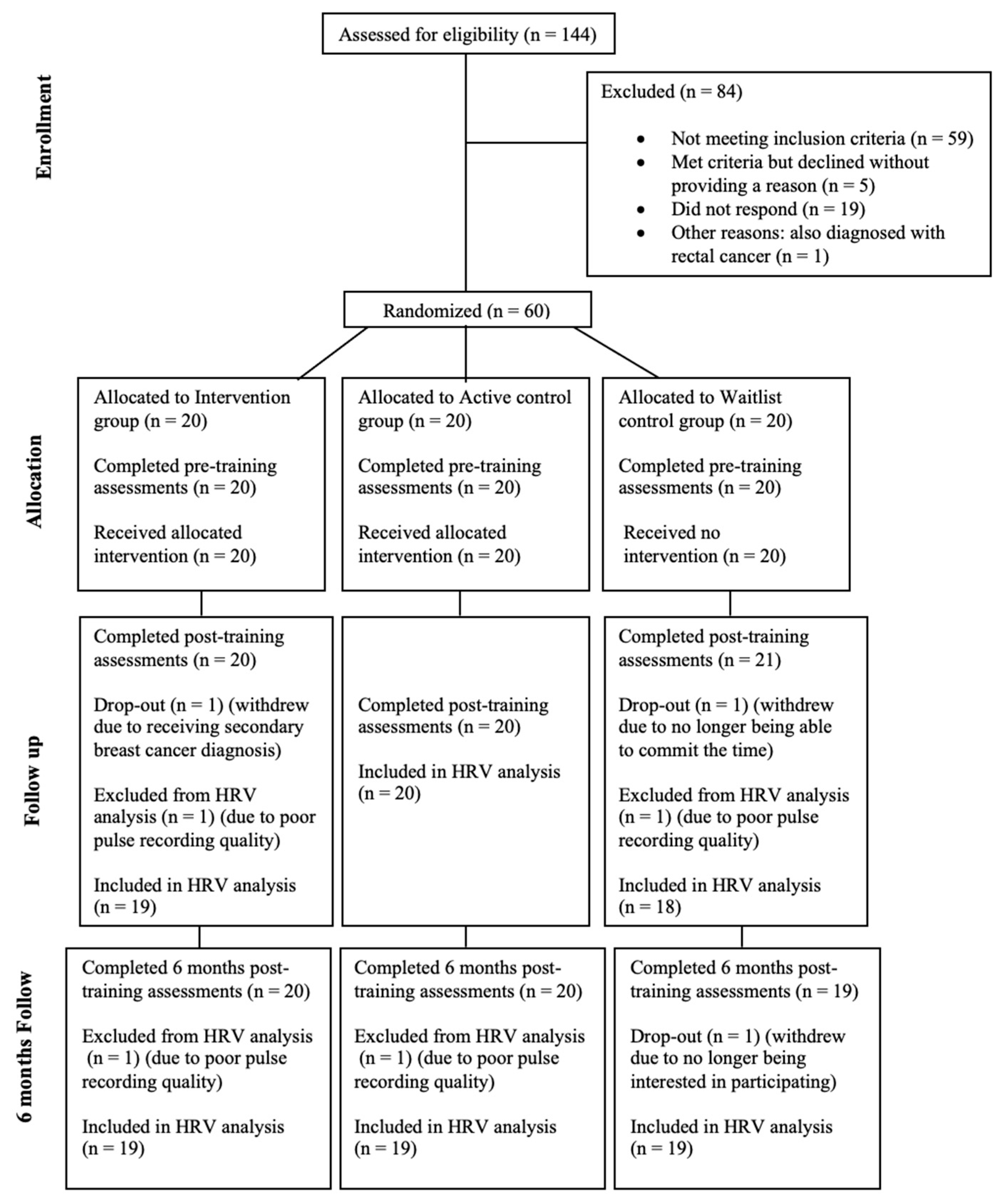
2.4. Design
2.5. Materials
2.5.1. Primary Outcome Measures
- (a)
- Quality of sleep was assessed using a 19-item Pittsburgh Sleep Quality Index (PSQI; [53] with seven subcomponents: Subjective Sleep Quality, Sleep Latency, Sleep Duration, Sleep Efficiency, Sleep Disturbance, Sleep Medication, and Daytime Dysfunction); a global sleep quality score was calculated and used for analysis (score range 0–2,1 where lower scores indicate better sleep quality);
- (b)
- Emotion regulation was assessed using a 10-item Emotion Regulation Questionnaire (ERQ; [54] to assess habitual tendency to use more helpful emotion regulation strategies (Cognitive Reappraisal) and less helpful strategies (Expressive Suppression)). There was a subscale range of 1–7, and higher scores mean greater use of a given strategy;
- (c)
- The frequency of hot flushes and night sweats was assessed using the Hot Flush Rating Scale (HFRS; [55] which measures the frequency of hot flushes and night sweats for the past week); a 3-item problem rating (1—not at all to 10—very much) was included as part of the questionnaire.
2.5.2. Secondary Outcome Measures
- (a)
- Perceived cognitive function was assessed using a 37-item Functional Assessment of Cancer Therapy-Cognitive Scale (FACT-Cog, version 3, [56] which included four subscales: Perceived Cognitive Impairment (PCI) with a range 0–72, Comments from Others (CFO) with a range 0–16, Perceived Cognitive Abilities (PCA) with a range 0–28, and Impact on Quality of Life (IQL) with a range 0–16, and the global score range was calculated and used for analysis). The score range was 0–148, where higher scores indicated better cognitive function;
- (b)
- Anxiety and depression symptoms were assessed using a 14-item Hospital Anxiety and Depression Scale (HADS; [57] for (trait) anxiety and depression symptom severity, with a range 0–21, higher scores indicate higher anxiety and depression symptoms);
- (c)
- Perceived stress level was assessed using a 10-item Perceived Stress Scale (PSS) [58], range 0–40, where lower scores reflect lower perceived stress level;
- (d)
- Posttraumatic stress symptoms were assessed using a 22-item Revised Impact of Events Scale for cancer care (IES-R; [59] including four subscales: Avoidance, Intrusion, and Hyperarousal subscales, with a subscale range 0–4). The total score was calculated and used for analysis (range 0–12, where lower scores indicate fewer posttraumatic stress symptoms);
- (e)
- Fatigue was assessed using a 13-item Functional Assessment of Chronic Illness Therapy—Fatigue (FACIT-F, version 4; [60], with a range 0–52 with higher scores indicating less fatigue).
2.6. Heart Rate Variability Baseline Recording Equipment
2.7. Heart Rate Variability Training Protocol
2.8. Procedure
2.9. Data Analysis
Statistical Analysis
3. Results
3.1. Baseline Heart Rate Variability Indices
3.2. Overall Sleep Quality:
3.3. Night Sweats and Hot Flushes
3.4. Psychological Well-Being, Cognitive Function and Fatigue
4. Discussion
Limitations and Future Research
5. Conclusions
Supplementary Materials
Author Contributions
Funding
Institutional Review Board Statement
Informed Consent Statement
Data Availability Statement
Acknowledgments
Conflicts of Interest
References
- Sung, H.; Ferlay, J.; Siegel, R.L.; Laversanne, M.; Soerjomataram, I.; Jemal, A.; Bray, F. Global Cancer Statistics 2020: GLOBOCAN Estimates of Incidence and Mortality Worldwide for 36 Cancers in 185 Countries. CA A Cancer J. Clin. 2021, 71, 209–249. [Google Scholar] [CrossRef] [PubMed]
- Breidenbach, C.; Heidkamp, P.; Hiltrop, K.; Pfaff, H.; Enders, A.; Ernstmann, N.; Kowalski, C. Prevalence and determinants of anxiety and depression in long-term breast cancer survivors. BMC Psychiatry 2022, 22, 101. [Google Scholar] [CrossRef] [PubMed]
- Wang, X.; Wang, N.; Zhong, L.; Wang, S.; Zheng, Y.; Yang, B.; Zhang, J.; Lin, Y.; Wang, Z. Prognostic value of depression and anxiety on breast cancer recurrence and mortality: A systematic review and meta-analysis of 282,203 patients. Mol. Psychiatry 2020, 25, 3186–3197. [Google Scholar] [CrossRef] [PubMed]
- Luigjes-Huizer, Y.L.; Tauber, N.M.; Humphris, G.; Kasparian, N.A.; Lam, W.W.T.; Lebel, S.; Simard, S.; Ben Smith, A.; Zachariae, R.; Afiyanti, Y.; et al. What is the prevalence of fear of cancer recurrence in cancer survivors and patients? A systematic review and individual participant data meta-analysis. Psycho-Oncology 2022, 31, 879–892. [Google Scholar] [CrossRef]
- Ahles, T.A.; Root, J.C. Cognitive Effects of Cancer and Cancer Treatments. Annu. Rev. Clin. Psychol. 2018, 14, 425–451. [Google Scholar] [CrossRef]
- Bjerkeset, E.; Röhrl, K.; Schou-Bredal, I. Symptom cluster of pain, fatigue, and psychological distress in breast cancer survivors: Prevalence and characteristics. Breast Cancer Res. Treat. 2020, 180, 63–71. [Google Scholar] [CrossRef]
- Shapiro, C.L. Osteoporosis: A Long-Term and Late-Effect of Breast Cancer Treatments. Cancers 2020, 12, 3094. [Google Scholar] [CrossRef]
- Chang, H.-Y.; Jotwani, A.C.; Lai, Y.-H.; Jensen, M.P.; Syrjala, K.L.; Fann, J.R.; Gralow, J. Hot flashes in breast cancer survivors: Frequency, severity and impact. Breast 2016, 27, 116–121. [Google Scholar] [CrossRef]
- Koric, A.; Chang, C.; Mark, B.; Rowe, K.; Snyder, J.; Dodson, M.; Deshmukh, V.G.; Newman, M.G.; Fraser, A.M.; Smith, K.R.; et al. Cardiovascular disease risk in long-term breast cancer survivors: A population-based cohort study. Cancer 2022, 128, 2826–2835. [Google Scholar] [CrossRef]
- Kehm, R.D.; McDonald, J.A.; Fenton, S.E.; Kavanaugh-Lynch, M.; Leung, K.A.; McKenzie, K.E.; Mandelblatt, J.S.; Terry, M.B. Inflammatory Biomarkers and Breast Cancer Risk: A Systematic Review of the Evidence and Future Potential for Intervention Research. Int. J. Environ. Res. Public Health 2020, 17, 5445. [Google Scholar] [CrossRef]
- Furman, D.; Campisi, J.; Verdin, E.; Carrera-Bastos, P.; Targ, S.; Franceschi, C.; Ferrucci, L.; Gilroy, D.W.; Fasano, A.; Miller, G.W.; et al. Chronic inflammation in the etiology of disease across the life span. Nat. Med. 2019, 25, 1822–1832. [Google Scholar] [CrossRef] [PubMed]
- Francis, N.; Borniger, J.C. Cancer as a homeostatic challenge: The role of the hypothalamus. Trends Neurosci. 2021, 44, 903–914. [Google Scholar] [CrossRef] [PubMed]
- Lehrer, P.M.; Gevirtz, R. Heart rate variability biofeedback: How and why does it work? Front. Psychol. 2014, 5, 756. [Google Scholar] [CrossRef] [PubMed]
- Mulcahy, J.S.; Larsson, D.E.; Garfinkel, S.N.; Critchley, H.D. Heart rate variability as a biomarker in health and affective disorders: A perspective on neuroimaging studies. NeuroImage 2019, 202, 116072. [Google Scholar] [CrossRef]
- Mather, M.; Thayer, J.F. How heart rate variability affects emotion regulation brain networks. Curr. Opin. Behav. Sci. 2018, 19, 98–104. [Google Scholar] [CrossRef]
- Blase, K.; Vermetten, E.; Lehrer, P.; Gevirtz, R. Neurophysiological Approach by Self-Control of Your Stress-Related Autonomic Nervous System with Depression, Stress and Anxiety Patients. Int. J. Environ. Res. Public Health 2021, 18, 3329. [Google Scholar] [CrossRef]
- Chalmers, J.A.; Quintana, D.S.; Abbott, M.J.-A.; Kemp, A.H. Anxiety Disorders are Associated with Reduced Heart Rate Variability: A Meta-Analysis. Front. Psychiatry 2014, 5, 80. [Google Scholar] [CrossRef]
- Kim, H.-G.; Cheon, E.-J.; Bai, D.-S.; Lee, Y.H.; Koo, B.-H. Stress and Heart Rate Variability: A Meta-Analysis and Review of the Literature. Psychiatry Investig. 2018, 15, 235–245. [Google Scholar] [CrossRef]
- Jarczok, M.N.; Weimer, K.; Braun, C.; Williams, D.P.; Thayer, J.F.; Gündel, H.O.; Balint, E.M. Heart rate variability in the prediction of mortality: A systematic review and meta-analysis of healthy and patient populations. Neurosci. Biobehav. Rev. 2022, 143, 104907. [Google Scholar] [CrossRef]
- Escutia-Reyes, D.; Garduño-García, J.D.J.; Emilio-López-Chávez, G.; Gómez-Villanueva, A.; Pliego-Carrillo, A.C.; Soto-Piña, A.E.; Reyes-Lagos, J.J. Differences in heart rate variability and body composition in breast cancer survivors and women without cancer. Sci. Rep. 2021, 11, 14460. [Google Scholar] [CrossRef]
- Martins, A.D.; Brito, J.P.; Oliveira, R.; Costa, T.; Ramalho, F.; Santos-Rocha, R.; Pimenta, N. Relationship between Heart Rate Variability and Functional Fitness in Breast Cancer Survivors: A Cross-Sectional Study. Healthcare 2021, 9, 1205. [Google Scholar] [CrossRef] [PubMed]
- Arab, C.; Dias, D.P.M.; Barbosa, R.T.D.A.; de Carvalho, T.D.; Valenti, V.E.; Crocetta, T.B.; Ferreira, M.; de Abreu, L.C.; Ferreira, C. Heart rate variability measure in breast cancer patients and survivors: A systematic review. Psychoneuroendocrinology 2016, 68, 57–68. [Google Scholar] [CrossRef] [PubMed]
- Zaccaro, A.; Piarulli, A.; Laurino, M.; Garbella, E.; Menicucci, D.; Neri, B.; Gemignani, A. How Breath-Control Can Change Your Life: A Systematic Review on Psycho-Physiological Correlates of Slow Breathing. Front. Hum. Neurosci. 2018, 12, 353. [Google Scholar] [CrossRef] [PubMed]
- Sevoz-Couche, C.; Laborde, S. Heart rate variability and slow-paced breathing:when coherence meets resonance. Neurosci. Biobehav. Rev. 2022, 135, 104576. [Google Scholar] [CrossRef]
- Appelhans, B.M.; Luecken, L.J. Heart Rate Variability as an Index of Regulated Emotional Responding. Rev. Gen. Psychol. 2006, 10, 229–240. [Google Scholar] [CrossRef]
- Lehrer, P.; Kaur, K.; Sharma, A.; Shah, K.; Huseby, R.; Bhavsar, J.; Sgobba, P.; Zhang, Y. Correction to: Heart Rate Variability Biofeedback Improves Emotional and Physical Health and Performance: A Systematic Review and Meta Analysis. Appl. Psychophysiol. Biofeedback 2021, 46, 389. [Google Scholar] [CrossRef]
- Maqsood, R.; Schofield, S.; Bennett, A.N.; Khattab, A.; Bull, A.M.J.; Fear, N.T.; Boos, C.J.; Coady, E.; Blissitt, G.; ADVANCE Study; et al. Exploratory analysis of spontaneous versus paced breathing on heart rate variability in veterans with combat-related traumatic injury. PM&R 2024, 16, 1079–1087. [Google Scholar] [CrossRef]
- Pitzalis, M.V.; Mastropasqua, F.; Massari, F.; Passantino, A.; Colombo, R.; Mannarini, A.; Forleo, C.; Rizzon, P. Effect of respiratory rate on the relationships between RR interval and systolic blood pressure fluctuations: A frequency-dependent phenomenon. Cardiovasc. Res. 1998, 38, 332–339. [Google Scholar] [CrossRef]
- Radaelli, A.; Mancia, G.; Balestri, G.; Bonfanti, D.; Castiglioni, P. Respiratory patterns and baroreflex function in heart failure. Sci. Rep. 2023, 13, 2220. [Google Scholar] [CrossRef]
- Bernardi, L.; Porta, C.; Spicuzza, L.; Bellwon, J.; Spadacini, G.; Frey, A.W.; Yeung, L.Y.; Sanderson, J.E.; Pedretti, R.; Tramarin, R. Slow Breathing Increases Arterial Baroreflex Sensitivity in Patients With Chronic Heart Failure. Circulation 2002, 105, 143–145. [Google Scholar] [CrossRef]
- Goessl, V.C.; Curtiss, J.E.; Hofmann, S.G. The effect of heart rate variability biofeedback training on stress and anxiety: A meta-analysis. Psychol. Med. 2017, 47, 2578–2586. [Google Scholar] [CrossRef] [PubMed]
- Lin, G.; Xiang, Q.; Fu, X.; Wang, S.; Wang, S.; Chen, S.; Shao, L.; Zhao, Y.; Wang, T. Heart Rate Variability Biofeedback Decreases Blood Pressure in Prehypertensive Subjects by Improving Autonomic Function and Baroreflex. J. Altern. Complement. Med. 2012, 18, 143–152. [Google Scholar] [CrossRef] [PubMed]
- Fournié, C.; Chouchou, F.; Dalleau, G.; Caderby, T.; Cabrera, Q.; Verkindt, C. Heart rate variability biofeedback in chronic disease management: A systematic review. Complement. Ther. Med. 2021, 60, 102750. [Google Scholar] [CrossRef] [PubMed]
- Nicolini, P.; Malfatto, G.; Lucchi, T. Heart Rate Variability and Cognition: A Narrative Systematic Review of Longitudinal Studies. J. Clin. Med. 2024, 13, 280. [Google Scholar] [CrossRef]
- Nashiro, K.; Min, J.; Yoo, H.J.; Cho, C.; Bachman, S.L.; Dutt, S.; Thayer, J.F.; Lehrer, P.M.; Feng, T.; Mercer, N.; et al. Increasing coordination and responsivity of emotion-related brain regions with a heart rate variability biofeedback randomized trial. Cogn. Affect. Behav. Neurosci. 2022, 23, 66–83. [Google Scholar] [CrossRef]
- Spada, G.E.; Masiero, M.; Pizzoli, S.F.M.; Pravettoni, G. Heart Rate Variability Biofeedback in Cancer Patients: A Scoping Review. Behav. Sci. 2022, 12, 389. [Google Scholar] [CrossRef]
- Burch, J.B.; Ginsberg, J.P.; McLain, A.C.; Franco, R.; Stokes, S.; Susko, K.; Hendry, W.; Crowley, E.; Christ, A.; Hanna, J.; et al. Symptom Management Among Cancer Survivors: Randomized Pilot Intervention Trial of Heart Rate Variability Biofeedback. Appl. Psychophysiol. Biofeedback 2020, 45, 99–108. [Google Scholar] [CrossRef]
- Groff, D.; Battaglini, C.; Sipe, C.; Peppercorn, J.; Anderson, M.; Hackney, A. Finding a new normal: Using recreation therapy to improve the well-being of women with breast cancer. Annu. Ther Recreat. 2010, 18, 50–52. [Google Scholar]
- Stefanopoulou, E.; Grunfeld, E.A. Mind–body interventions for vasomotor symptoms in healthy menopausal women and breast cancer survivors. A systematic review. J. Psychosom. Obstet. Gynecol. 2017, 38, 210–225. [Google Scholar] [CrossRef]
- Hunter, M.S. Cognitive behavioral therapy for menopausal symptoms. Climacteric 2020, 24, 51–56. [Google Scholar] [CrossRef]
- Lalanza, J.F.; Lorente, S.; Bullich, R.; García, C.; Losilla, J.-M.; Capdevila, L. Methods for Heart Rate Variability Biofeedback (HRVB): A Systematic Review and Guidelines. Appl. Psychophysiol. Biofeedback 2023, 48, 275–297. [Google Scholar] [CrossRef] [PubMed]
- Wang, Y.-P.; Kuo, T.B.J.; Lai, C.-T.; Chu, J.-W.; Yang, C.C.H. Effects of respiratory time ratio on heart rate variability and spontaneous baroreflex sensitivity. J. Appl. Physiol. 2013, 115, 1648–1655. [Google Scholar] [CrossRef] [PubMed]
- Lin, I.; Tai, L.; Fan, S. Breathing at a rate of 5.5breaths per minute with equal inhalation-to-exhalation ratio increases heart rate variability. Int. J. Psychophysiol. 2014, 91, 206–211. [Google Scholar] [CrossRef] [PubMed]
- Morton, A.R.; King, K.; Papalia, S.; Goodman, C.; Turley, K.R.; Wilmore, J.H. Comparison of maximal oxygen consumption with oral and nasal breathing. Aust. J. Sci. Med. Sport 1995, 27, 51–55. [Google Scholar]
- Russo, M.A.; Santarelli, D.M.; O’rourke, D. The physiological effects of slow breathing in the healthy human. Breathe 2017, 13, 298–309. [Google Scholar] [CrossRef]
- Daubenmier, J.; Sze, J.; Kerr, C.E.; Kemeny, M.E.; Mehling, W. Follow your breath: Respiratory interoceptive accuracy in experienced meditators. Psychophysiology 2013, 50, 777–789. [Google Scholar] [CrossRef]
- Gibson, J. Mindfulness, Interoception, and the Body: A Contemporary Perspective. Front. Psychol. 2019, 10, 2012. [Google Scholar] [CrossRef]
- Faul, F.; Erdfelder, E.; Lang, A.-G.; Buchner, A. G*Power 3: A flexible statistical power analysis program for the social, behavioral, and biomedical sciences. Behav. Res. Methods 2007, 39, 175–191. [Google Scholar] [CrossRef]
- Anwyl-Irvine, A.L.; Massonnié, J.; Flitton, A.; Kirkham, N.; Evershed, J.K. Gorilla in our midst: An online behavioral experiment builder. Behav. Res. Methods 2019, 52, 388–407. [Google Scholar] [CrossRef]
- Chapman, B.; Louis, C.C.; Moser, J.; Grunfeld, E.A.; Derakshan, N. Benefits of adaptive cognitive training on cognitive abilities in women treated for primary breast cancer: Findings from a 1-year randomised control trial intervention. Psycho-Oncology 2023, 32, 1848–1857. [Google Scholar] [CrossRef]
- Malik, M.; Bigger, J.T.; Camm, A.J.; Kleiger, R.E.; Malliani, A.; Moss, A.J.; Schwartz, P.J. Heart rate variability: Standards of measurement, physiological interpretation, and clinical use. Eur. Hear. J. 1996, 17, 354–381. [Google Scholar] [CrossRef]
- Shaffer, F.; Ginsberg, J.P. An Overview of Heart Rate Variability Metrics and Norms. Front. Public Health 2017, 5, 258. [Google Scholar] [CrossRef] [PubMed]
- Buysse, D.J.; Reynolds, C.F., III; Monk, T.H.; Berman, S.R.; Kupfer, D.J. The Pittsburgh sleep quality index: A new instrument for psychiatric practice and research. Psychiatry Res. 1989, 28, 193–213. [Google Scholar] [CrossRef] [PubMed]
- Gross, J.J.; Thompson, R. Emotion Regulation: Conceptual Foundations. In Handbook of Emotion Regulation; Guilford Publications: New York, NY, USA, 2007; pp. 3–27. [Google Scholar]
- Hunter, M.S.; Liao, K.L. A psychological analysis of menopausal hot flushes. Br. J. Clin. Psychol. 1995, 34, 589–599. [Google Scholar] [CrossRef]
- Wagner, L.I.; Sweet, J.; Butt, Z.; Lai, J.S.; Cella, D.J. Measuring patient self-reported cognitive function: Development of the functional assessment of cancer therapy-cognitive function instrument. J. Support Oncol. 2009, 7, W32–W39. [Google Scholar]
- Zigmond, A.S.; Snaith, R.P. The Hospital Anxiety and Depression Scale. Acta Psychiatr. Scand. 1983, 67, 361–370. [Google Scholar] [CrossRef]
- Cohen, S. Perceived stress in a probability sample of the United States. In The Social Psychology of Health/Sage; Sage Publications: Thousand Oaks, CA, USA, 1988. [Google Scholar]
- Weiss, D.; Marmar, C.R. The Impact of Event Scale: Revised. In Assessing Psychological Trauma and PTSD; Wilson, J.P., Keane, T.M., Eds.; The Guilford Press: New York, NY, USA, 1997; pp. 399–411. [Google Scholar]
- Webster, K.; Odom, L.; Peterman, A.; Lent, L.; Cella, D. The Functional Assessment of Chronic Illness Therapy (FACIT) measurement system: Validation of version 4 of the core questionnaire. Qual. Life Res. 1999, 1, 604. [Google Scholar]
- HeartMath Inc. Inner Balance. 2014. Available online: https://www.heartmath.com/app/inner-balance/ (accessed on 1 March 2024).
- HeartMath. EmWave Pro Software System. 2016. Available online: https://www.heartmath.co.uk/product/emwavepro/ (accessed on 1 June 2024).
- Tarvainen, M.P.; Niskanen, J.-P.; Lipponen, J.A.; Ranta-Aho, P.O.; Karjalainen, P.A. Kubios HRV–Heart Rate Variability Analysis Software. Comput. Methods Progr. Biomed. 2014, 113, 210–220. [Google Scholar] [CrossRef]
- Zoom Video Communications, I. Zoom Cloud Meetings. 2020. Available online: https://apps.apple.com/us/app/zoom-cloud-meetings/id546505307 (accessed on 1 March 2024).
- Quintana, D.S.; Heathers, J.A.J. Considerations in the assessment of heart rate variability in biobehavioral research. Front. Psychol. 2014, 5, 805. [Google Scholar] [CrossRef]
- Laborde, S.; Mosley, E.; Thayer, J.F. Heart Rate Variability and Cardiac Vagal Tone in Psychophysiological Research—Recommendations for Experiment Planning, Data Analysis, and Data Reporting. Front. Psychol. 2017, 8, 213. [Google Scholar] [CrossRef]
- Lehrer, P.; Vaschillo, B.; Zucker, T.; Graves, J.; Katsamanis, M.; Aviles, M.; Wamboldt, F. Protocol for Heart Rate Variability Biofeedback Training. Biofeedback 2013, 41, 98–109. [Google Scholar] [CrossRef]
- Sealed Envelope Ltd. Simple Randomisation Service. 2017. Available online: https://www.sealedenvelope.com/simple-randomiser/v1/ (accessed on 1 September 2023).
- McCraty, R.; Atkinson, M.; Tomasino, D.; Bradley, R.T. The Coherent Heart Heart–Brain Interactions, Psychophysiological Coherence, and the Emergence of System-Wide Order. Integral Rev. 2009, 5, 10–115. [Google Scholar]
- Tegegne, B.S.; Man, T.; van Roon, A.M.; Snieder, H.; Riese, H. Reference values of heart rate variability from 10-second resting electrocardiograms: The Lifelines Cohort Study. Eur. J. Prev. Cardiol. 2020, 27, 2191–2194. [Google Scholar] [CrossRef] [PubMed]
- IBM Corp. IBM SPSS Statistics for Windows (Version 29.0.2.0). 2023. Available online: https://www.ibm.com/spss (accessed on 1 December 2024).
- Vaschillo, E.; Lehrer, P.; Rishe, N.; Konstantinov, M. Heart Rate Variability Biofeedback as a Method for Assessing Baroreflex Function: A Preliminary Study of Resonance in the Cardiovascular System. Appl. Psychophysiol. Biofeedback 2002, 27, 1–27. [Google Scholar] [CrossRef]
- Van Diest, I.; Verstappen, K.; Aubert, A.E.; Widjaja, D.; Vansteenwegen, D.; Vlemincx, E. Inhalation/Exhalation Ratio Modulates the Effect of Slow Breathing on Heart Rate Variability and Relaxation. Appl. Psychophysiol. Biofeedback 2014, 39, 171–180. [Google Scholar] [CrossRef]
- Miglis, M.G. Autonomic dysfunction in primary sleep disorders. Sleep Med. 2015, 19, 40–49. [Google Scholar] [CrossRef]
- Palesh, O.; Scheiber, C.; Kesler, S.; Gevirtz, R.; Heckler, C.; Guido, J.J.; Janelsins, M.; Cases, M.G.; Tong, B.; Miller, J.M.; et al. Secondary outcomes of a behavioral sleep intervention: A randomized clinical trial. Health Psychol. 2019, 38, 196–205. [Google Scholar] [CrossRef]
- Tsai, H.J.; Kuo, T.B.J.; Lee, G.; Yang, C.C.H. Efficacy of paced breathing for insomnia: Enhances vagal activity and improves sleep quality. Psychophysiology 2014, 52, 388–396. [Google Scholar] [CrossRef]
- Laborde, S.; Hosang, T.; Mosley, E.; Dosseville, F. Influence of a 30-Day Slow-Paced Breathing Intervention Compared to Social Media Use on Subjective Sleep Quality and Cardiac Vagal Activity. J. Clin. Med. 2019, 8, 193. [Google Scholar] [CrossRef]
- Hasuo, H.; Kanbara, K.; Fukunaga, M. Effect of Heart Rate Variability Biofeedback Sessions with Resonant Frequency Breathing on Sleep: A Pilot Study Among Family Caregivers of Patients with Cancer. Front. Med. 2020, 7, 61. [Google Scholar] [CrossRef]
- Jerath, R.; Beveridge, C.; Barnes, V.A. Self-Regulation of Breathing as an Adjunctive Treatment of Insomnia. Front. Psychiatry 2019, 9, 780. [Google Scholar] [CrossRef] [PubMed]
- Schottelkotte, K.M.; Crone, S.A. Forebrain control of breathing: Anatomy and potential functions. Front. Neurol. 2022, 13, 1041887. [Google Scholar] [CrossRef] [PubMed]
- Fukushi, I.; Yokota, S.; Okada, Y. The role of the hypothalamus in modulation of respiration. Respir. Physiol. Neurobiol. 2018, 265, 172–179. [Google Scholar] [CrossRef] [PubMed]
- Tansey, E.A.; Johnson, C.D. Recent advances in thermoregulation. Adv. Physiol. Educ. 2015, 39, 139–148. [Google Scholar] [CrossRef]
- Wang, G.; Drake, C.T.; Rozenblit, M.; Zhou, P.; Alves, S.E.; Herrick, S.P.; Hayashi, S.; Warrier, S.; Iadecola, C.; Milner, T.A. Evidence that estrogen directly and indirectly modulates C1 adrenergic bulbospinal neurons in the rostral ventrolateral medulla. Brain Res. 2006, 1094, 163–178. [Google Scholar] [CrossRef]
- Deecher, D.C.; Dorries, K. Understanding the pathophysiology of vasomotor symptoms (hot flushes and night sweats) that occur in perimenopause, menopause, and postmenopause life stages. Arch. Women’s Ment. Health 2007, 10, 247–257. [Google Scholar] [CrossRef]
- Kearney, B.E.; Lanius, R.A. The brain-body disconnect: A somatic sensory basis for trauma-related disorders. Front. Neurosci. 2022, 16, 1015749. [Google Scholar] [CrossRef]
- Ouhmad, N.; El-Hage, W.; Combalbert, N. Maladaptive cognitions and emotion regulation in posttraumatic stress disorder. Neuropsychiatrie 2023, 37, 65–75. [Google Scholar] [CrossRef]
- Thayer, J.F.; Hansen, A.L.; Saus-Rose, E.; Johnsen, B.H. Heart Rate Variability, Prefrontal Neural Function, and Cognitive Performance: The Neurovisceral Integration Perspective on Self-regulation, Adaptation, and Health. Ann. Behav. Med. 2009, 37, 141–153. [Google Scholar] [CrossRef]
- Benarroch, E.E. The Central Autonomic Network: Functional Organization, Dysfunction, and Perspective. Mayo Clin. Proc. 1993, 68, 988–1001. [Google Scholar] [CrossRef]
- Thayer, J.F.; Lane, R.D. A model of neurovisceral integration in emotion regulation and dysregulation. J. Affect. Disord. 2000, 61, 201–216. [Google Scholar] [CrossRef] [PubMed]
- Thayer, J.F.; Åhs, F.; Fredrikson, M.; Sollers, J.J., III.; Wager, T.D. A meta-analysis of heart rate variability and neuroimaging studies: Implications for heart rate variability as a marker of stress and health. Neurosci. Biobehav. Rev. 2012, 36, 747–756. [Google Scholar] [CrossRef] [PubMed]
- Yoo, H.J.; Nashiro, K.; Min, J.; Cho, C.; Bachman, S.L.; Nasseri, P.; Porat, S.; Dutt, S.; Grigoryan, V.; Choi, P.; et al. Heart rate variability (HRV) changes and cortical volume changes in a randomized trial of five weeks of daily HRV biofeedback in younger and older adults. Int. J. Psychophysiol. 2022, 181, 50–63. [Google Scholar] [CrossRef] [PubMed]
- Gerritsen, R.J.S.; Band, G.P.H. Breath of Life: The Respiratory Vagal Stimulation Model of Contemplative Activity. Front. Hum. Neurosci. 2018, 12, 397. [Google Scholar] [CrossRef]
- Bentley, T.G.K.; D’andrea-Penna, G.; Rakic, M.; Arce, N.; LaFaille, M.; Berman, R.; Cooley, K.; Sprimont, P. Breathing Practices for Stress and Anxiety Reduction: Conceptual Framework of Implementation Guidelines Based on a Systematic Review of the Published Literature. Brain Sci. 2023, 13, 1612. [Google Scholar] [CrossRef]
- Fincham, G.W.; Strauss, C.; Montero-Marin, J.; Cavanagh, K. Effect of breathwork on stress and mental health: A meta-analysis of randomised-controlled trials. Sci. Rep. 2023, 13, 432. [Google Scholar] [CrossRef]
- Chen, T.-L.; Chang, S.-C.; Hsieh, H.-F.; Huang, C.-Y.; Chuang, J.-H.; Wang, H.-H. Effects of mindfulness-based stress reduction on sleep quality and mental health for insomnia patients: A meta-analysis. J. Psychosom. Res. 2020, 135, 110144. [Google Scholar] [CrossRef]
- Gullett, J.M.; Cohen, R.A.; Yang, G.S.; Menzies, V.S.; Fieo, R.A.; Kelly, D.L.; Starkweather, A.R.; Jackson-Cook, C.K.; Lyon, D.E. Relationship of fatigue with cognitive performance in women with early-stage breast cancer over 2 years. Psycho-Oncology 2019, 28, 997–1003. [Google Scholar] [CrossRef]
- Janelsins, M.C.; Heckler, C.E.; Peppone, L.J.; Kamen, C.; Mustian, K.M.; Mohile, S.G.; Magnuson, A.; Kleckner, I.R.; Guido, J.J.; Young, K.L.; et al. Cognitive Complaints in Survivors of Breast Cancer After Chemotherapy Compared With Age-Matched Controls: An Analysis From a Nationwide, Multicenter, Prospective Longitudinal Study. J. Clin. Oncol. 2017, 35, 506–514. [Google Scholar] [CrossRef]
- Von Ah, D.; Crouch, A.; Arthur, E.; Yang, Y.; Nolan, T. Association Between Cardiovascular Disease and Cognitive Dysfunction in Breast Cancer Survivors. Cancer Nurs. 2023, 46, E122–E128. [Google Scholar] [CrossRef]
- Kang, E.-S.; Yook, J.S.; Ha, M.-S. Breathing Exercises for Improving Cognitive Function in Patients with Stroke. J. Clin. Med. 2022, 11, 2888. [Google Scholar] [CrossRef] [PubMed]
- Zelano, C.; Jiang, H.; Zhou, G.; Arora, N.; Schuele, S.; Rosenow, J.; Gottfried, J.A. Nasal Respiration Entrains Human Limbic Oscillations and Modulates Cognitive Function. J. Neurosci. 2016, 36, 12448–12467. [Google Scholar] [CrossRef] [PubMed]
- Jung, J.-Y.; Kang, C.-K. Investigation on the Effect of Oral Breathing on Cognitive Activity Using Functional Brain Imaging. Healthcare 2021, 9, 645. [Google Scholar] [CrossRef] [PubMed]
- Singh, V.; Mutreja, V. Enhancing Executive Control: Attention to Balance, Breath, and the Speed Versus Accuracy Tradeoff. Front. Psychol. 2020, 11, 180. [Google Scholar] [CrossRef]
- Biparva, A.J.; Raoofi, S.; Rafiei, S.; Masoumi, M.; Doustmehraban, M.; Bagheribayati, F.; Shahrebabak, E.S.V.; Mejareh, Z.N.; Khani, S.; Abdollahi, B.; et al. Global depression in breast cancer patients: Systematic review and meta-analysis. PLoS ONE 2023, 18, e0287372. [Google Scholar] [CrossRef]
- Porges, S.W. The Polyvagal Theory: Neurophysiological Foundations of Emotions, Attachment, Communication, and Self-Regulation; WW Norton & Company: New York, NY, USA, 2011. [Google Scholar]
- Economides, M.; Lehrer, P.; Ranta, K.; Nazander, A.; Hilgert, O.; Raevuori, A.; Gevirtz, R.; Khazan, I.; Forman-Hoffman, V.L. Feasibility and Efficacy of the Addition of Heart Rate Variability Biofeedback to a Remote Digital Health Intervention for Depression. Appl. Psychophysiol. Biofeedback 2020, 45, 75–86. [Google Scholar] [CrossRef]
- Haas, A.V.; Koefoed, A.; Easly, R.M.; Celli, J.; Heydarpour, M.; Bonyhay, I.; Freeman, R.; Adler, G.K. Effect of hypoglycemia on baroreflex sensitivity in individuals with type 2 diabetes: Implications for autonomic control of cardiovascular function in diabetes. Clin. Auton. Res. 2023, 33, 727–735. [Google Scholar] [CrossRef]



| Intervention Group (n = 20) | Active Control Group (n = 20) | Waitlist Control Group (n = 20) | ||||
|---|---|---|---|---|---|---|
| Sociodemographic | Mean age = 49.6 (6.2) (Min = 39, Max = 61) | Mean age = 49.6 (6.2) (Min = 36, Max = 59) | Mean age = 49.2 (6.2) (Min = 36, Max = 59) | |||
| Age (years) | ||||||
| Education | No. of cases | % | No. of cases | % | No. of cases | % |
| Secondary education | 2 | 10 | 0 | 0 | 1 | 5 |
| Further education | 2 | 10 | 5 | 25 | 4 | 20 |
| Higher education | 16 | 80 | 15 | 75 | 15 | 75 |
| Work | ||||||
| Employed | 13 | 65 | 16 | 80 | 12 | 60 |
| Self-employed | 1 | 5 | 0 | 0 | 1 | 5 |
| Volunteering work | 0 | 0 | 1 | 5 | 1 | 5 |
| Not in work | 5 | 25 | 2 | 10 | 4 | 20 |
| Other (on sick leave, retired etc) | 1 | 5 | 1 | 5 | 2 | 10 |
| Ethnicity | ||||||
| White | 19 | 95 | 20 | 100 | 20 | 100 |
| Asian | 1 | 5 | 0 | 0 | 0 | 0 |
| Marital status | ||||||
| Married | 15 | 75 | 14 | 70 | 14 | 70 |
| Cohabiting with a Partner | 0 | 0 | 1 | 5 | 2 | 10 |
| Divorced | 1 | 5 | 3 | 15 | 1 | 5 |
| Separated | 0 | 0 | 1 | 5 | 0 | 0 |
| Single | 3 | 15 | 1 | 5 | 3 | 15 |
| Widowed | 1 | 5 | 0 | 0 | 0 | 0 |
| Health and lifestyle information | ||||||
| Height (in cm) | 168.0 (7.1) | 168.1 (7.1) | 168.5 (7.0) | |||
| Weight (in kg) | 75.8 (17.1) | 76.3 (16.9) | 77.7 (5.8) | |||
| Body Mass Index (BMI) | 26.8 (5.8) | 27.0 (5.8) | 27.4 (5.8) | |||
| Smoking status | ||||||
| Current smoker | 0 | 0 | 0 | 0 | 1 | 5 |
| Former smoker | 8 | 40 | 5 | 25 | 10 | 50 |
| Electronic cigarette user | 0 | 0 | 0 | 0 | 1 | 5 |
| Never smoked | 12 | 60 | 15 | 75 | 8 | 40 |
| Menopausal status at diagnosis 1 | ||||||
| Premenopausal | 13 | 65 | 9 | 45 | 9 | 45 |
| Perimenopausal | 4 | 20 | 2 | 10 | 3 | 15 |
| Menopausal | 0 | 0 | 1 | 5 | 0 | 0 |
| Postmenopausal | 2 | 10 | 7 | 35 | 4 | 20 |
| Group. | Average Time (in Minutes) | SD | (%) | Min | (%) | Max | (%) |
|---|---|---|---|---|---|---|---|
| Intervention group | 641 | (31) | 98 | 548 | 84 | 690 | 106 |
| Active control group | 627 | (60) | 96 | 470 | 72 | 781 | 120 |
| Intervention Group | Active Control Group | Waitlist Control Group | |||||||
|---|---|---|---|---|---|---|---|---|---|
| Baseline | Post | 6 Months | Baseline | Post | 6 Months | Baseline | Post | 6 Months | |
| (n = 20) | (n = 19) | (n = 19) | (n = 20) | (n = 20) | (n = 19) | (n = 20) | (n = 18) | (n = 19) | |
| Mean (SD) | Mean (SD) | Mean (SD) | |||||||
| HR | 77.92 (9.72) | 78.81 (10.03) | 74.19 (12.10) | 73.93 (14.68) | 77.77 (12.55) | 77.63 (13.52) | 68.25 (12.42) | 68.65 (10.45) | 67.40 (13.00) |
| RMSSD | 35.66 (28.14) | 54.41 (34.90) | 52.72 (33.95) | 50.71 (39.37) | 55.47 (37.33) | 44.43 (25.69) | 53.57 (26.54) | 43.91 (20.90) | 55.76 (29.97) |
| Ln HF power | 5.39 (1.24) | 6.13 (1.56) | 5.99 (1.28) | 6.01 (1.50) | 6.09 (1.43) | 5.67 (1.30) | 6.29 (1.04) | 6.11 (1.09) | 6.47 (0.94) |
| Ln LF power | 5.78 (1.09) | 6.57 (1.18) | 6.76 (1.31) | 6.20 (1.14) | 6.10 (1.33) | 6.17 (1.32) | 6.39 (1.12) | 6.23 (1.12) | 6.55 (1.37) |
Disclaimer/Publisher’s Note: The statements, opinions and data contained in all publications are solely those of the individual author(s) and contributor(s) and not of MDPI and/or the editor(s). MDPI and/or the editor(s) disclaim responsibility for any injury to people or property resulting from any ideas, methods, instructions or products referred to in the content. |
© 2025 by the authors. Licensee MDPI, Basel, Switzerland. This article is an open access article distributed under the terms and conditions of the Creative Commons Attribution (CC BY) license (https://creativecommons.org/licenses/by/4.0/).
Share and Cite
Dolgilevica, K.; Grunfeld, E.; Derakshan, N. Heart Rate Variability Biofeedback Training Can Improve Menopausal Symptoms and Psychological Well-Being in Women with a Diagnosis of Primary Breast Cancer: A Longitudinal Randomized Controlled Trial. Curr. Oncol. 2025, 32, 150. https://doi.org/10.3390/curroncol32030150
Dolgilevica K, Grunfeld E, Derakshan N. Heart Rate Variability Biofeedback Training Can Improve Menopausal Symptoms and Psychological Well-Being in Women with a Diagnosis of Primary Breast Cancer: A Longitudinal Randomized Controlled Trial. Current Oncology. 2025; 32(3):150. https://doi.org/10.3390/curroncol32030150
Chicago/Turabian StyleDolgilevica, Karina, Elizabeth Grunfeld, and Nazanin Derakshan. 2025. "Heart Rate Variability Biofeedback Training Can Improve Menopausal Symptoms and Psychological Well-Being in Women with a Diagnosis of Primary Breast Cancer: A Longitudinal Randomized Controlled Trial" Current Oncology 32, no. 3: 150. https://doi.org/10.3390/curroncol32030150
APA StyleDolgilevica, K., Grunfeld, E., & Derakshan, N. (2025). Heart Rate Variability Biofeedback Training Can Improve Menopausal Symptoms and Psychological Well-Being in Women with a Diagnosis of Primary Breast Cancer: A Longitudinal Randomized Controlled Trial. Current Oncology, 32(3), 150. https://doi.org/10.3390/curroncol32030150

