Relationship Between Brazilian Dietary Patterns and the Global Syndemic: Data from the CUME Study
Abstract
1. Introduction
2. Materials and Methods
2.1. CUME Study
2.2. Participants
2.3. Malnutrition Outcome Variables
2.3.1. Obesity
2.3.2. Undernutrition
2.4. Environmental Outcome Variables
2.5. Exposure Assessment
Dietary Patterns
2.6. Covariates
2.7. Statistical Analysis
3. Results
3.1. Characterization of the Sample
3.2. Dietary Patterns
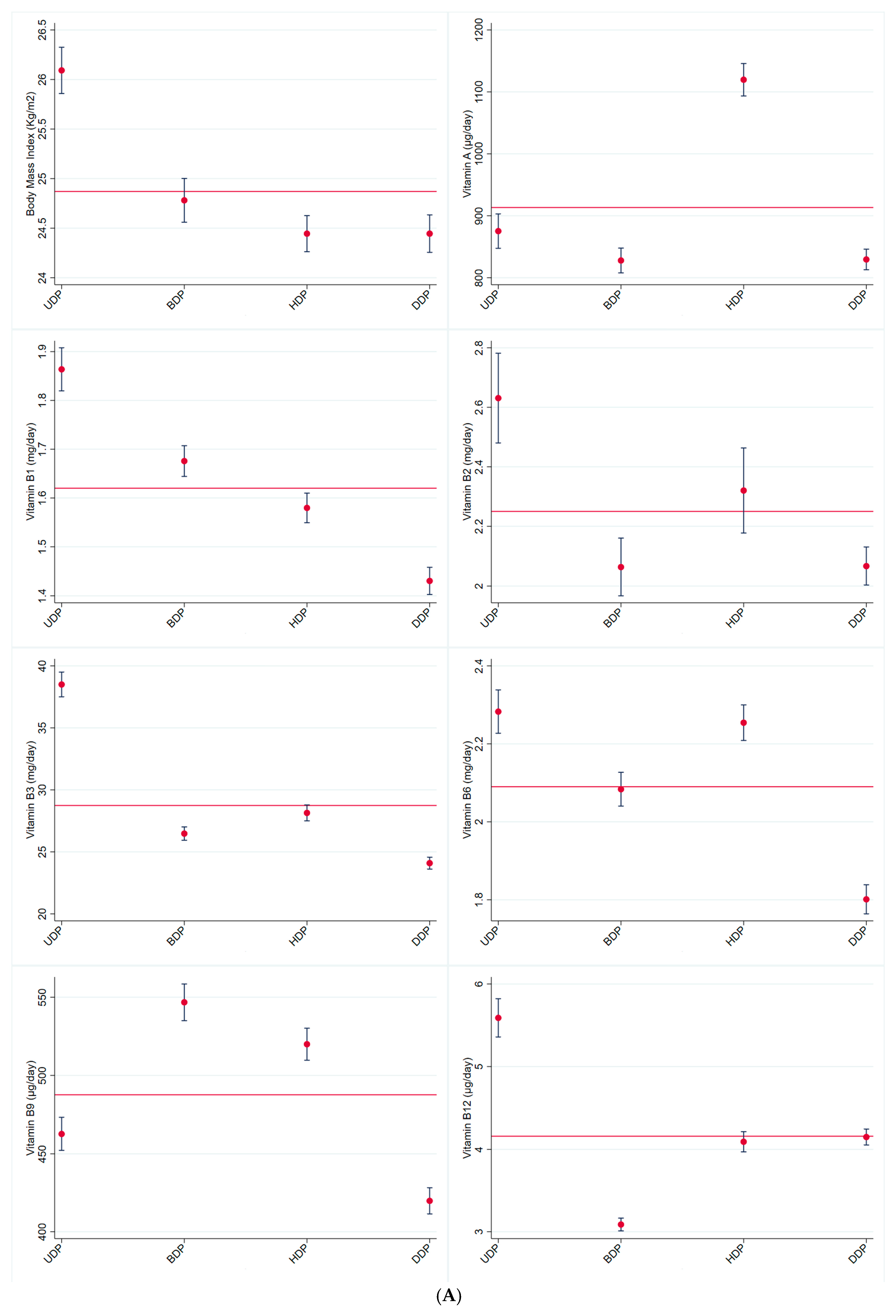
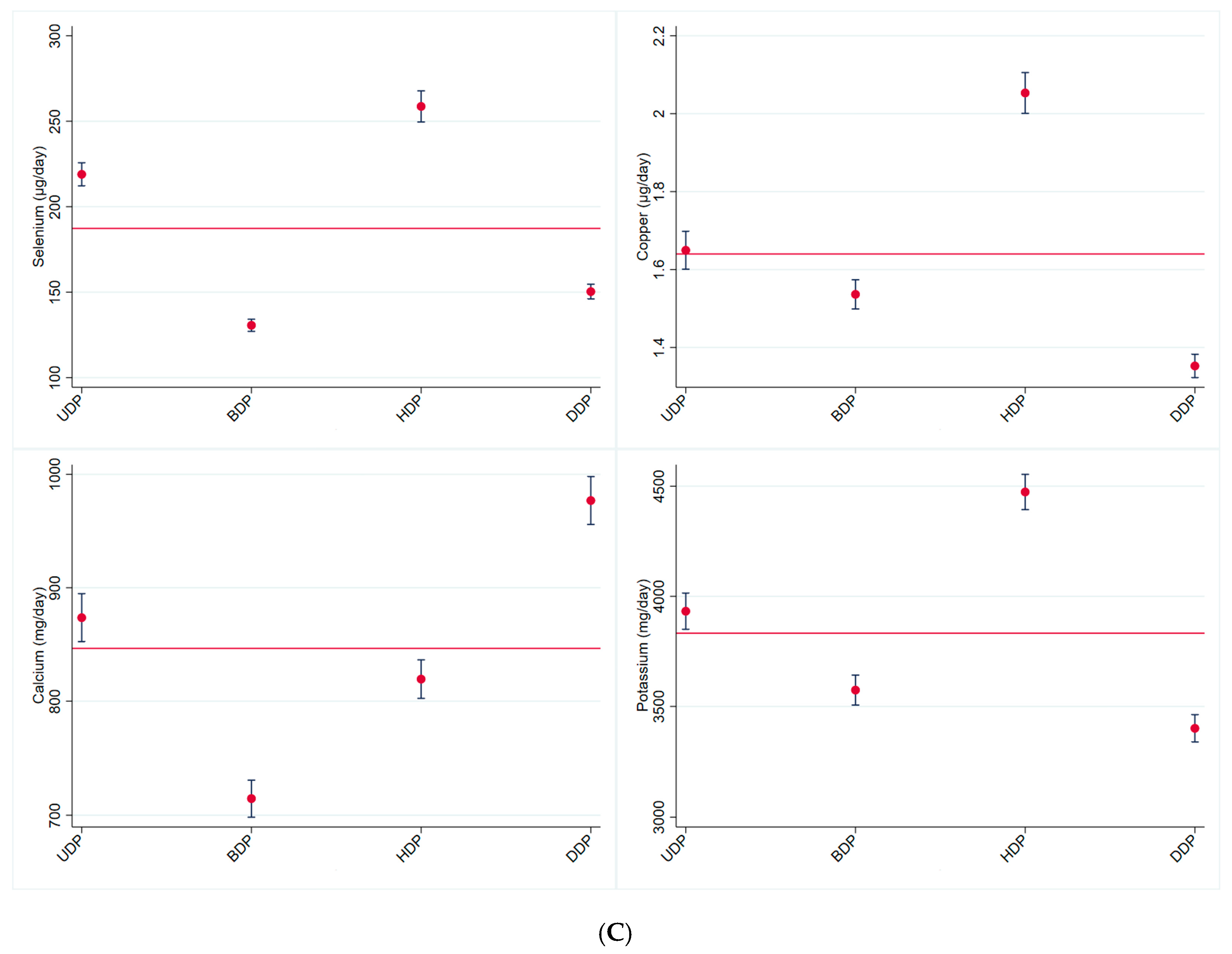
3.3. Malnutrition
3.4. Environmental Footprints
4. Discussion
5. Conclusions
Author Contributions
Funding
Institutional Review Board Statement
Informed Consent Statement
Data Availability Statement
Acknowledgments
Conflicts of Interest
References
- Swinburn, B.A.; Kraak, V.I.; Allender, S.; Atkins, V.J.; Baker, P.I.; Bogard, J.R.; Brinsden, H.; Calvillo, A.; De Schutter, O.; Devarajan, R.; et al. The Global Syndemic of Obesity, Undernutrition, and Climate Change: The Lancet Commission Report. Lancet 2019, 393, 791–846. [Google Scholar] [CrossRef]
- Tilman, D.; Balzer, C.; Hill, J.; Befort, B.L. Global Food Demand and the Sustainable Intensification of Agriculture. Proc. Natl. Acad. Sci. USA 2011, 108, 20260–20264. [Google Scholar] [CrossRef]
- Foley, J.A.; Ramankutty, N.; Brauman, K.A.; Cassidy, E.S.; Gerber, J.S.; Johnston, M.; Mueller, N.D.; O’Connell, C.; Ray, D.K.; West, P.C.; et al. Solutions for a Cultivated Planet. Nature 2011, 478, 337–342. [Google Scholar] [CrossRef]
- Clark, M.A.; Domingo, N.G.G.; Colgan, K.; Thakrar, S.K.; Tilman, D.; Lynch, J.; Azevedo, I.L.; Hill, J.D. Global Food System Emissions Could Preclude Achieving the 1.5° and 2 °C Climate Change Targets. Science 2020, 370, 705–708. [Google Scholar] [CrossRef]
- Intergovernmental Panel on Climate Change (IPCC). Climate Change and Land: An IPCC Special Report on Climate Change, Desertification, Land Degradation, Sustainable Land Management, Food Security, and Greenhouse Gas Fluxes in Terrestrial Ecosystems. Summary for Policymakers; IPCC: Geneva, Switzerland, 2019. [Google Scholar]
- FAO; IFAD; UNICEF; WFP; WHO. The State of Food Security and Nutrition in the World 2020, Transforming Food Systems for Affordable Healthy Diets; Food and Agriculture Organization: Rome, Italy, 2020. [Google Scholar]
- FAO. THE STATE OF FOOD AND AGRICULTURE: 2013, Food Systems for Better Nutrition; Food and Agriculture Organization: Rome, Italy, 2013. [Google Scholar]
- Belik, W. Estudo Sobre a Cadeia de Alimentos; Instituto Ibirapitanga: Rio de Janeiro, Brazil, 2020. [Google Scholar]
- Crippa, M.; Solazzo, E.; Guizzardi, D.; Monforti-Ferrario, F.; Tubiello, F.N.; Leip, A. Food Systems Are Responsible for a Third of Global Anthropogenic GHG Emissions. Nat. Food 2021, 2, 198–209. [Google Scholar] [CrossRef] [PubMed]
- der Pahlen, C.T. Sustainable Diets for Healthy People and a Healthy Planet; UNSCN: Rome, Italy, 2017. [Google Scholar]
- de Oliveira Neta, R.S.; Lima, S.C.V.C.; do Nascimento, L.L.; de Souza, C.V.S.; de Oliveira Lyra, C.; Marchioni, D.M.L.; da Costa Oliveira, A.G.R. Indices for Measurement of Sustainable Diets: A Scoping Review. PLoS ONE 2023, 18, e0296026. [Google Scholar] [CrossRef]
- Wang, Y.Y.; Tian, T.; Pan, D.; Zhang, J.X.; Xie, W.; Wang, S.K.; Xia, H.; Dai, Y.; Sun, G. The Relationship between Dietary Patterns and Overweight and Obesity among Adult in Jiangsu Province of China: A Structural Equation Model. BMC Public Health 2021, 21, 1225. [Google Scholar] [CrossRef]
- Bliznashka, L.; Danaei, G.; Fink, G.; Flax, V.L.; Thakwalakwa, C.; Jaacks, L.M. Cross-Country Comparison of Dietary Patterns and Overweight and Obesity among Adult Women in Urban Sub-Saharan Africa. Public Health Nutr. 2021, 24, 1393–1403. [Google Scholar] [CrossRef] [PubMed]
- França, É.B.; Mendes, K.G.; Theodoro, H.; Olinto, M.T.A.; Canuto, R. Association of Dietary Patterns, Number of Daily Meals and Anthropometric Measures in Women in Age of Menopause. Arch. Endocrinol. Metab. 2021, 65, 778–786. [Google Scholar] [CrossRef]
- da Silva, J.T.; Garzillo, J.M.F.; Rauber, F.; Kluczkovski, A.; Rivera, X.S.; da Cruz, G.L.; Frankowska, A.; Martins, C.A.; da Costa Louzada, M.L.; Monteiro, C.A.; et al. Greenhouse Gas Emissions, Water Footprint, and Ecological Footprint of Food Purchases According to Their Degree of Processing in Brazilian Metropolitan Areas: A Time-Series Study from 1987 to 2018. Lancet Planet. Health 2021, 5, e775–e785. [Google Scholar] [CrossRef]
- Notarnicola, B.; Tassielli, G.; Renzulli, P.A.; Castellani, V.; Sala, S. Environmental Impacts of Food Consumption in Europe. J. Clean. Prod. 2017, 140, 753–765. [Google Scholar] [CrossRef]
- Marlow, H.J.; Harwatt, H.; Soret, S.; Sabaté, J. Comparing the Water, Energy, Pesticide and Fertilizer Usage for the Production of Foods Consumed by Different Dietary Types in California. Public Health Nutr. 2015, 18, 2425–2432. [Google Scholar] [CrossRef]
- Domingos, A.L.G.; Da Silva Miranda, A.E.; Pimenta, A.M.; Hermsdorff, H.H.M.; De Oliveira, F.L.P.; Dos Santos, L.C.; Lopes, A.C.S.; González, M.Á.M.; Bressan, J. Cohort Profile: The Cohort of Universities of Minas Gerais (CUME). Int. J. Epidemiol. 2018, 47, 1743–1744h. [Google Scholar] [CrossRef] [PubMed]
- Azarias, H.G.D.A.; Marques-Rocha, J.L.; Miranda, A.E.D.S.; Dos Santos, L.C.; Gomes Domingos, A.L.; Hermsdorff, H.H.M.; Bressan, J.; Oliveira, F.L.P.D.; Leal, A.C.G.; Pimenta, A.M. Online Food Frequency Questionnaire From the Cohort of Universities of Minas Gerais (CUME Project, Brazil): Construction, Validity, and Reproducibility. Front. Nutr. 2021, 8, 709915. [Google Scholar] [CrossRef]
- Teixeira, M.G.; Mill, J.G.; Pereira, A.C.; Molina, M.D.C.B. Dietary Intake of Antioxidant in ELSA-Brasil Population: Baseline Results. Rev. Bras. Epidemiol. 2016, 19, 149–159. [Google Scholar] [CrossRef] [PubMed]
- Schmidt, M.I.; Duncan, B.B.; Mill, J.G.; Lotufo, P.A.; Chor, D.; Barreto, S.M.; Aquino, E.M.; Passos, V.M.A.; Matos, S.M.; Molina, M.D.C.B.; et al. Cohort Profile: Longitudinal Study of Adult Health (ELSA-Brasil). Int. J. Epidemiol. 2015, 44, 68–75. [Google Scholar] [CrossRef]
- Miranda, A.E.D.S.; Ferreira, A.V.M.; Oliveira, F.L.P.D.; Hermsdorff, H.H.M.; Bressan, J.; Pimenta, A.M. Validação da síndrome metabólica e de seus componentes autodeclarados no estudo cume. REME-Rev. Min. Enferm. 2017, 21, 1–7. [Google Scholar] [CrossRef]
- WHO. Obesity: Preventing and Managing the Global Epidemic; World Health Organization: Geneva, Switzerland, 2000. [Google Scholar]
- Universidade de Campinas. Tabela Brasileira de Composicao de Alimentos-TACO 4 Edicao Ampliada e Revisada; NEPA—Núcleo de Estudos e Pesquisas em Alimentação: Campinas, Brazil, 2011. [Google Scholar]
- IBGE. Pesquisa de Orçamentos Familiares 2008-2009: Tabela de Composição Nutricional Dos Alimentos Consumidos No Brasil; IBGE: Rio de Janeiro, Brazil, 2011; Volume 39, ISBN 9788524042225. [Google Scholar]
- Institute of Medicine. Dietary Reference Intakes for Sodium and Potassium; National Academies Press: Washington, DC, USA, 2019. [Google Scholar]
- Institute of Medicine. Dietary Reference Intakes for Calcium and Vitamin D; National Academies Press: Washington, DC, USA, 2011. [Google Scholar]
- Institute of Medicine. Dietary Reference Intakes for Vitamin C, Vitamin E, Selenium, and Carotenoids; National Academies Press: Washington, DC, USA, 2000. [Google Scholar]
- Institute of Medicine. Dietary Reference Intakes for Calcium, Phosphorus, Magnesium, Vitamin D, and Fluoride; National Academies Press: Washington, DC, USA, 1997. [Google Scholar]
- Institute of Medicine. Dietary Reference Intakes for Vitamin A, Vitamin K, Arsenic, Boron, Chromium, Copper, Iodine, Iron, Manganese, Molybdenum, Nickel, Silicon, Vanadium, and Zinc; National Academies Press: Washington, DC, USA, 2001. [Google Scholar]
- Institute of Medicine. Dietary Reference Intakes for Thiamin, Riboflavin, Niacin, Vitamin B6, Folate, Vitamin B12, Pantothenic Acid, Biotin, and Choline; National Academies Press: Washington, DC, USA, 1998. [Google Scholar]
- Garzillo, J.M.F.; Machado, P.P.; Louzada, M.L.D.C.; Levy, R.B.; Monteiro, C.A. Pegadas Dos Alimentos e Das Preparações Culinárias Consumidos No Brasil; FSP/USP: São Paulo, Brazil, 2019; ISBN 9788588848368. [Google Scholar]
- Monteiro, C.A.; Cannon, G.; Levy, R.; Moubarac, J.C.; Jaime, P.; Martins, A.P.; Canella, D.; Louzada, M.; Camila, D.P.C.; Ricardo, G.C.; et al. NOVA. A Estrela Brilha. World Nutr. 2016, 7, 28–40. [Google Scholar]
- Martínez-González, M.A.; López-Fontana, C.; Varo, J.J.; Sánchez-Villegas, A.; Martinez, J.A. Validation of the Spanish Version of the Physical Activity Questionnaire Used in the Nurses’ Health Study and the Health Professionals’ Follow-up Study. Public Health Nutr. 2005, 8, 920–927. [Google Scholar] [CrossRef]
- WHO. Global Recommendations on Physical Activity for Health; World Health Organization: Geneva, Switzerland, 2010; ISBN 9789241599979. [Google Scholar]
- Nabipour Afrouzi, H.; Ahmed, J.; Mobin Siddique, B.; Khairuddin, N.; Hassan, A. A Comprehensive Review on Carbon Footprint of Regular Diet and Ways to Improving Lowered Emissions. Results Eng. 2023, 18, 101054. [Google Scholar] [CrossRef]
- Sabaté, J.; Sranacharoenpong, K.; Harwatt, H.; Wien, M.; Soret, S. The Environmental Cost of Protein Food Choices. Public Health Nutr. 2015, 18, 2067–2073. [Google Scholar] [CrossRef] [PubMed]
- Berardy, A.; Fresán, U.; Matos, R.A.; Clarke, A.; Mejia, A.; Jaceldo-Siegl, K.; Sabaté, J. Environmental Impacts of Foods in the Adventist Health Study-2 Dietary Questionnaire. Sustainability 2020, 12, 10267. [Google Scholar] [CrossRef]
- Garzillo, J.M.F.; Poli, V.F.S.; Leite, F.H.M.; Steele, E.M.; Machado, P.P.; da Costa Louzada, M.L.; Levy, R.B.; Monteiro, C.A. Ultra-Processed Food Intake and Diet Carbon and Water Footprints: A National Study in Brazil. Rev. Saude Publica 2022, 56, 6. [Google Scholar] [CrossRef]
- Oliveira, T.M.S.; Bressan, J.; Pimenta, A.M.; Martínez-González, M.Á.; Shivappa, N.; Hébert, J.R.; Hermsdorff, H.H.M. Dietary Inflammatory Index and Prevalence of Overweight and Obesity in Brazilian Graduates from the Cohort of Universities of Minas Gerais (CUME Project). Nutrition 2020, 71, 110635. [Google Scholar] [CrossRef] [PubMed]
- Luan, D.; Wang, D.; Campos, H.; Baylin, A. Red Meat Consumption and Metabolic Syndrome in the Costa Rica Heart Study. Eur. J. Nutr. 2020, 59, 185–193. [Google Scholar] [CrossRef]
- Hall, K.D.; Ayuketah, A.; Brychta, R.; Walter, P.J.; Yang, S.; Zhou, M. Ultra-Processed Diets Cause Excess Calorie Intake and Weight Gain: An Inpatient Randomized Controlled Trial of Ad Libitum Food Intake. Cell Metab. 2019, 30, 67–77. [Google Scholar] [CrossRef]
- Silva, F.M.; Giatti, L.; de Figueiredo, R.C.; Molina, M.D.C.B.; de Oliveira Cardoso, L.; Duncan, B.B.; Barreto, S.M. Consumption of Ultra-Processed Food and Obesity: Cross Sectional Results from the Brazilian Longitudinal Study of Adult Health (ELSA-Brasil) Cohort (2008–2010). Public Health Nutr. 2018, 21, 2271–2279. [Google Scholar] [CrossRef]
- Santos, L.P.; Gigante, D.P.; Delpino, F.M.; Maciel, A.P.; Bielemann, R.M. Sugar Sweetened Beverages Intake and Risk of Obesity and Cardiometabolic Diseases in Longitudinal Studies: A Systematic Review and Meta-Analysis with 1.5 Million Individuals. Clin. Nutr. ESPEN 2022, 51, 128–142. [Google Scholar] [CrossRef]
- e Souza, L.P.S.; Hermsdorff, H.H.M.; da Silva Miranda, A.E.; Bressan, J.; Pimenta, A.M. Alcohol Consumption and Overweight in Brazilian Adults-CUME Project. Ciência Saúde Coletiva 2021, 26, 4835–4848. [Google Scholar] [CrossRef]
- Albani, V.; Bradley, J.; Wrieden, W.L.; Scott, S.; Muir, C.; Power, C.; Fitzgerald, N.; Stead, M.; Kaner, E.; Adamson, A.J. Examining Associations between Body Mass Index in 18−25 Year-Olds and Energy Intake from Alcohol: Findings from the Health Survey for England and the Scottish Health Survey. Nutrients 2018, 10, 1477. [Google Scholar] [CrossRef]
- De Oliveira Santos, R.; Vieira, D.A.D.S.; Miranda, A.A.M.; Fisberg, R.M.; Marchioni, D.M.; Baltar, V.T. The Traditional Lunch Pattern Is Inversely Correlated with Body Mass Index in a Population-Based Study in Brazil. BMC Public Health 2017, 18, 1–7. [Google Scholar] [CrossRef] [PubMed]
- Machado Arruda, S.P.; da Silva, A.A.M.; Kac, G.; Vilela, A.A.F.; Goldani, M.; Bettiol, H.; Barbieri, M.A. Dietary Patterns Are Associated with Excess Weight and Abdominal Obesity in a Cohort of Young Brazilian Adults. Eur. J. Nutr. 2016, 55, 2081–2091. [Google Scholar] [CrossRef] [PubMed]
- Kac, G.; Sichiery, R.; Gigante, D.P. Epidemiologia Nutricional; Editora FIOCRUZ/Atheneu: Rio de Janeiro, Brazil, 2007; p. 508. ISBN 788575413203. [Google Scholar]
- Ministério da Saúde. Guia Alimentar Para a População Brasileira, 2nd ed; Ministério da Saúde: Brasília, Brazil, 2014; Volume 2, ISBN 9788533421769.
- Garzillo, J.M.F.; Machado, P.P.; Leite, F.H.M.; Steele, E.M.; Poli, V.F.S.; Louzada, M.L.D.C.; Levy, R.B.; Monteiro, C.A. Carbon Footprint of the Brazilian Diet. Rev. Saude Publica 2021, 55, 90. [Google Scholar] [CrossRef]
- De Pee, S.; Hardinsyah, R.; Jalal, F.; Kim, B.F.; Semba, R.D.; Deptford, A.; Fanzo, J.C.; Ramsing, R.; Nachman, K.E.; McKenzie, S.; et al. Balancing a Sustained Pursuit of Nutrition, Health, Affordability and Climate Goals: Exploring the Case of Indonesia. Am. J. Clin. Nutr. 2021, 114, 1686–1697. [Google Scholar] [CrossRef] [PubMed]
- Fresán, U.; Craig, W.J.; Martínez-González, M.A.; Bes-Rastrollo, M. Nutritional Quality and Health Effects of Low Environmental Impact Diets: The “Seguimiento Universidad de Navarra” (SUN) Cohort. Nutrients 2020, 12, 2385. [Google Scholar] [CrossRef]
- O’Malley, K.; Willits-Smith, A.; Rose, D. Popular Diets as Selected by Adults in the United States Show Wide Variation in Carbon Footprints and Diet Quality. Am. J. Clin. Nutr. 2023, 117, 701–708. [Google Scholar] [CrossRef]
- Alves, M.A.; Lotufo, P.A.; Benseñor, I.; Marchioni, D.M.L. Dietary Patterns and Adiposity over Time-Analysis of the ELSA-Brasil. Eur. J. Nutr. 2024, 63, 1203–1211. [Google Scholar] [CrossRef]
- Longo, G.Z.; Ordaz, K.D.; da Silva, D.C.G.; de Fragas Hinnig, P.; Roberto, D.M.T.; Reinert, C.; Pot, G.K.; Palla, L. Dietary Patterns and Cardiovascular Risk Factors among Brazilians: A Population-Based Study in Viçosa, Minas Gerais. Nutrition 2022, 98, 111626. [Google Scholar] [CrossRef]
- Naspolini, N.F.; Sichieri, R.; Ciunha, D.B.; Pereira, R.A.; Faerstein, E. Dietary Patterns, Obesity Markers and Leukocyte Telomere Length among Brazilian Civil Servants: Cross-Sectional Results from the Pro-Saude Study. Public Health Nutr. 2023, 26, 2076–2082. [Google Scholar] [CrossRef]
- Fresán, U.; Sabaté, J. Vegetarian Diets: Planetary Health and Its Alignment with Human Health. Adv. Nutr. 2019, 10, S380–S388. [Google Scholar] [CrossRef]
- Chapa, J.; Farkas, B.; Bailey, R.L.; Huang, J.Y. Evaluation of Environmental Performance of Dietary Patterns in the United States Considering Food Nutrition and Satiety. Sci. Total Environ. 2020, 722, 137672. [Google Scholar] [CrossRef] [PubMed]
- Gleick, P.H. The World’s Water; Springer: Berlin/Heidelberg, Germany, 2014; Volume 8, pp. 1–476. [Google Scholar] [CrossRef]
- Wilderer, P.A. Treatise on Water Science; Elsevier: Amsterdam, The Netherlands, 2010; Volume 4, ISBN 9780444531933. [Google Scholar]
- Fekete, B.M. State of the World’s Water Resources. In Climate Vulnerability: Understanding and Addressing Threats to Essential Resources; Elsevier: Amsterdam, The Netherlands, 2013; Volume 5, pp. 11–23. [Google Scholar] [CrossRef]
- Richiardi, L.; Pizzi, C.; Pearce, N. Commentary: Representativeness Is Usually Not Necessary and Often Should Be Avoided. Int. J. Epidemiol. 2013, 42, 1018–1022. [Google Scholar] [CrossRef] [PubMed]




| Characteristic | Total n (%) | Obesity n (%) | VII n (%) | MII n (%) | CFP Mean ± sd | WFP Mean ± sd | EFP Mean ± sd |
|---|---|---|---|---|---|---|---|
| Sex | |||||||
| Male | 2420 (32.01) | 380 (40.25) | 2328 (31.71) | 1454 (30.85) | 7676.13 ± 94.5 a | 9106 ± 93.12 a | 54.72 ± 0.62 a |
| Female | 5140 (67.99) | 564 (59.75) | 5014 (68.29) | 3259 (69.15) | 6260.20 ± 56.53 b | 7409.41 ± 53.15 b | 45.11 ± 0.37 b |
| p-value | - | <0.001 | 0.001 | 0.005 | - | - | - |
| Age | |||||||
| 20–29 | 2317 (30.65) | 175 (18.54) | 2266 (30.86) | 1454 (30.85) | 6364.07 ± 88.76 a | 7499.17 ± 85.6 a | 44.53 ± 0.54 a |
| 30–39 | 3234 (42.78) | 382 (40.47) | 3156 (42.99) | 2046 (43.41) | 6811.93 ± 76.36 b | 8020.24 ± 72.7 b | 48.9 ± 0.52 b |
| 40–49 | 1388 (18.36) | 261 (27.65) | 1338 (18.22) | 819 (17.38) | 7030.4 ± 113.9 b | 406.16 ± 111.37 c | 51 ± 0.72 b |
| 50–59 | 621 (8.21) | 126 (13.35) | 582 (7.93) | 394 (8.36) | 6795.77 ± 171.57 a,b | 8277.12 ± 167.7 b,c | 51.86 ± 1.17 b |
| p-value | - | <0.001 | <0.001 | 0.041 | - | - | - |
| Individual income (minimum wage) * | |||||||
| <5 | 4344 (57.46) | 499 (52.86) | 4225 (57.55) | 2742 (58.18) | 6430.43 ± 65.97 a | 7704.42 ± 63.5 a | 45.92 ± 0.42 a |
| ≥5 to <10 | 2215 (29.30) | 273 (28.92) | 2160 (29.42) | 1365 (28.96) | 7002.66 ± 91.38 b | 8194.37 ± 86.49 b | 50.3 ± 0.61 b |
| ≥10 | 1001 (13.24) | 172 (18.22) | 957 (13.03) | 606 (12.86) | 7301.7 ± 126.73 b | 8493.87 ± 129.1 b | 53.34 ± 0.83 c |
| p-value | - | <0.001 | 0.008 | 0.224 | - | - | - |
| Skin color | |||||||
| White | 4854 (64.21) | 579 (61.33) | 4722 (64.31) | 2993 (63.51) | 6532.94 ± 56.85 a | 7813.05 ± 55.95 a | 47.36 ± 0.38 a |
| Black/Brown | 2614 (34.58) | 349 (36.97) | 2530 (34.46) | 1659 (35.20) | 7024.65 ± 94.35 b | 8192.58 ± 88.46 b | 49.55 ± 0.6 b |
| Yellow/Indigenous | 925 (1.22) | 16 (1.69) | 90 (1.23) | 61 (1.29) | 7395.27 ± 560.77 a,b | 8488.7 ± 564.64 a,b | 53.36 ± 3.74 a,b |
| p-value | - | 0.074 | 0.439 | 0.225 | - | - | - |
| Marital status | |||||||
| Single | 3702 (84.97) | 390 (41.31) | 3604 (49.09) | 2311 (49.03) | 6569.68 ± 71.79 a | 7798.04 ± 69.27 a | 46.75 ± 0.47 a |
| Married | 3500 (46.30) | 501 (53.07) | 3392 (46.20) | 2169 (46.02) | 6888.26 ± 71.48 b | 8099.86 ± 68.69 b | 49.63 ± 0.47 b |
| Divorced/Widow(er) | 358 (4.74) | 53 (5.61) | 346 (4.71) | 233 (4.94) | 6491.12 ± 227.53 a,b | 8109.01 ± 224.62 a,b | 48.9 ± 1.4 a,b |
| p-value | - | <0.001 | 0.465 | 0.506 | - | - | - |
| Professional status | |||||||
| Employed | 5611 (74.22) | 748 (79.24) | 5447 (74.19) | 3538 (75.07) | 6789.75 ± 56.95 a | 8016.13 ± 54.83 a | 48.74 ± 0.37 a |
| Student | 1292 (17.09) | 103 (10.91) | 1265 (17.23) | 779 (16.53) | 6415.72 ± 122.02 b | 7754.35 ± 118.65 a | 46.29 ± 0.84 b |
| Retired/home duties | 96 (1.27) | 21 (2.22) | 94 (1.28) | 65 (1.38) | 6913.39 ± 494.5 a,b | 7914.73 ± 411.94 a | 48.29 ± 2.5 a,b |
| Unemployed | 591 (7.42) | 72 (7.63) | 536 (7.30) | 331 (7.02) | 6601.82 ± 184.46 a,b | 7778.87 ± 181.81 a | 47.06 ± 1.26 a,b |
| p-value | - | <0.001 | 0.044 | 0.061 | - | - | - |
| Region of Brazil | |||||||
| North | 120 (1.38) | 13 (1.38) | 102 (1.39) | 69 (1.47) | 7077.48 ± 467.56 a | 7712.54 ± 424.09 a | 50.55 ± 2.75 a |
| Northeast | 274 (3.16) | 33 (3.50) | 229 (3.13) | 151 (3.21) | 7152.16 ± 288.10 a | 8019.95 ± 258.71 a | 52.22 ± 1.87 a |
| Southeast | 7824 (90.18) | 839 (89.07) | 6605 (90.16) | 4208 (89.53) | 6680.99 ± 52.17 a | 7952 ± 50.48 a | 48.01 ± 0.34 a |
| Midwest | 304 (3.50) | 39 (4.14) | 258 (3.52) | 183 (3.89) | 7141.98 ± 275.26 a | 8193.49 ± 268.56 a | 49.95 ± 1.62 a |
| South | 154 (1.78) | 18 (1.91) | 132 (1.80) | 89 (1.89) | 6473.98 ± 281.42 a | 7649.92 ± 265.73 a | 45.49 ± 1.66 a |
| p-value | - | 0.798 | 0.253 | 0.186 | - | - | - |
| Food Groups | Dietary Patterns | h2 | |||
|---|---|---|---|---|---|
| Unhealthy | Brazilian | Healthy | Dairy | ||
| Milk | - | - | - | 0.4524 | 0.6854 |
| Cheeses | - | - | - | 0.2820 | 0.7623 |
| Yogurts | - | - | - | 0.4280 | 0.6468 |
| Red meat | 0.3990 | - | - | - | 0.6726 |
| Chicken and fish | 0.3223 | - | - | - | 0.6509 |
| Salt meat | 0.2966 | - | - | - | 0.8127 |
| Sushi | - | - | - | - | 0.8869 |
| Egg | - | - | 0.3264 | - | 0.7011 |
| Ultra-processed meats | 0.3995 | - | - | - | 0.6411 |
| Rice and pasta | - | 0.4337 | - | - | 0.5997 |
| Beans | - | 0.3084 | - | - | 0.6701 |
| Grains and tubers | - | - | 0.3047 | - | 0.6277 |
| Fried tubers | - | - | - | - | 0.8036 |
| Culinary ingredients | - | 0.3655 | - | - | 0.716 |
| Ultra-processed fats | - | 0.2618 | - | - | 0.7317 |
| Fruits and natural juice | - | - | 0.4080 | - | 0.5694 |
| Vegetables | - | - | 0.4553 | - | 0.5518 |
| Coffee | - | - | - | - | 0.8352 |
| Teas and water | - | - | 0.3161 | - | 0.7882 |
| Sweetened beverages | 0.2899 | - | - | - | 0.7121 |
| Fermented alcoholic beverages | 0.2743 | - | - | - | 0.6865 |
| Distilled alcoholic beverages | 0.2608 | - | - | - | 0.7732 |
| Nuts and olive oils | - | - | 0.3403 | - | 0.7532 |
| French bread | - | 0.3782 | - | - | 0.6359 |
| Ultra-processed breads | - | - | - | 0.3555 | 0.7101 |
| Preserves (jams) | - | - | - | - | 0.9175 |
| Ultra-processed foods | 0.3059 | - | - | - | 0.6775 |
| Characteristic | Total n (%) | Dietary Patterns | |||
|---|---|---|---|---|---|
| Unhealthy (UDP) | Brazilian (BDP) | Healthy (HDP) | Dairy (DDP) | ||
| Sex | |||||
| Male | 2420 (32.01) | 0.46 ± 0.03 a | 0.39 ± 0.03 a | 0.05 ± 0.03 a | −0.14 ± 0.03 a |
| Female | 5140 (67.99) | −0.22 ± 0.02 b | −0.19 ± 0.02 b | −0.02 ± 0.02 a | 0.07 ± 0.02 b |
| Age | |||||
| 20–29 | 2317 (30.65) | −0.02 ± 0.03 a | −0.02 ± 0.03 a | −0.15 ± 0.03 a | 0.00 ± 0.02 a,b |
| 30–39 | 3234 (42.78) | 0.03 ± 0.03 a | −0.06 ± 0.02 a | −0.03 ± 0.02 b | −0.06 ± 0.02 b |
| 40–49 | 1388 (18.36) | 0.02 ± 0.04 a | 0.15 ± 0.04 b | 0.13 ± 0.04 c | 0.07 ± 0.03 a,c |
| 50–59 | 621 (8.21) | −0.13 ± 0.06 a | 0.02 ± 0.06 a,b | 0.39 ± 0.06 d | 0.15 ± 0.05 c |
| Individual income * | |||||
| <5 | 4344 (57.46) | −0.06 ± 0.02 a | 0.08 ± 0.02 a | −0.05 ± 0.02 a | 0.00 ± 0.02 a |
| ≥5 to <10 | 2215 (29.30) | 0.06 ± 0.03 b | −0.09 ± 0.03 b | 0.04 ± 0.03 b | 0.02 ± 0.03 a |
| ≥10 | 1001 (13.24) | 0.16 ± 0.05 b | −0.14 ± 0.04 b | 0.13 ± 0.04 b | −0.04 ± 0.04 a |
| Skin color | |||||
| White | 4854 (64.21) | −0.04 ± 0.02 a | −0.07 ± 0.02 a | 0.00 ± 0.02 a | 0.00 ± 0.02 a |
| Black/Brown | 2614 (34.58) | 0.06 ± 0.03 b | 0.13 ± 0.03 b | −0.00 ± 0.03 a | 0.00 ± 0.02 a |
| Yellow/Indigenous | 925 (1.22) | 0.13 ± 0.18 a,b | 0.14 ± 0.16 a,b | 0.04 ± 0.13 a | −0.14 ± 0.11 a |
| Marital status | |||||
| Single | 3702 (84.97) | 0.03 ± 0.02 a | −0.01 ± 0.02 a | −0.05 ± 0.02 a | 0.01 ± 0.02 a |
| Married | 3500 (46.30) | −0.02 ± 0.02 a | 0.01 ± 0.02 a | 0.03 ± 0.02 b | −0.01 ± 0.02 a |
| Divorced/Widow (e) | 358 (4.74) | −0.09 ± 0.08 a | 0.00 ± 0.07 a | 0.17 ± 0.08 b | 0.07 ± 0.07 a |
| Professional status | |||||
| Employed | 5611 (74.22) | 0.02 ± 0.02 a | −0.03 ± 0.02 a | 0.01 ± 0.02 a,b,c | −0.02 ± 0.02 a |
| Student | 1292 (17.09) | −0.03 ± 0.04 a | 0.04 ± 0.04 a | −0.04 ± 0.04 b | 0.04 ± 0.03 a |
| Retired/home duties | 96 (1.27) | −0.45 ± 0.12 b | −0.24 ± 0.13 a | 0.37 ± 0.14 c | 0.15 ± 0.12 a |
| Unemployed | 591 (7.42) | −0.02 ± 0.07 a | 0.25 ± 0.07 b | −0.02 ± 0.06 a,b,c | 0.08 ± 0.05 a |
| Region of Brazil | |||||
| North | 120 (1.38) | −0.03 ± 0.17 a | −0.23 ± 0.13 a,b,c | −0.06 ± 0.13 a | −0.11 ± 0.11 a,b,c |
| North-east | 274 (3.16) | 0.08 ± 0.10 a | −0.14 ± 0.09 a,b,c | 0.25 ± 0.10 a | −0.03 ± 0.08 b |
| South-east | 7824 (90.18) | −0.01 ± 0.02 a | 0.03 ± 0.02 b | −0.01 ± 0.02 a | 0.02 ± 0.01 a,b |
| Mid-west | 304 (3.50) | 0.10 ± 0.09 a | −0.29 ± 0.08 c | 0.10 ± 0.09 a | −0.33 ± 0.07 c |
| South | 154 (1.78) | −0.03 ± 0.11 a | −0.24 ± 0.11 a,b,c | −0.26 ± 0.12 a | −0.08 ± 0.11 a,b,c |
| Outcome | Dietary Patterns Coefficient * (95% Confidence Interval) | |||||||
|---|---|---|---|---|---|---|---|---|
| Unhealthy (UDP) | Brazilian (BDP) | Healthy (HDP) | Dairy (DDP) | |||||
| Model 1 | Model 2 | Model 1 | Model 2 | Model 1 | Model 2 | Model 1 | Model 2 | |
| Body Mass Index | 0.70 (0.62–0.78) | 0.94 (0.80–1.08) | 0.13 (0.05–0.21) | 0.20 (0.10–0.31) | −0.06 (−0.12–0.01) | 0.16 (0.05–0.27) | −0.05 (−0.14–0.03) | 0.14 (0.04–0.24) |
| Insufficient intake | ||||||||
| Vitamin score | −0.34 (−0.36–−0.32) | −0.11 (−0.15–−0.07) | −0.24 (−0.27–−0.22) | −0.10 (−0.13–−0.06) | −0.58 (−0.61–−0.55) | −0.37 (−0.41–−0.33) | −0.40 (−0.43–−0.37) | −0.27 (−0.30–−0.24) |
| Mineral score | −0.34 (−0.36–−0.32) | −0.09 (−0.13–−0.05) | −0.21 (−0.23–−0.18) | −0.05 (−0.08–−0.02) | −0.55 (−0.58–−0.53) | −0.33 (−0.37–−0.29) | −0.45 (−0.48–−0.42) | −0.30 (−0.33–−0.27) |
| Total score | −0.68 (−0.72–−0.64) | −0.19 (−0.26–−0.12) | −0.45 (−0.49–−0.41) | −0.15 (−0.20–−0.09) | −1.13 (−1.19–−1.09) | −0.70 (−0.77–−0.63) | −0.85 (−0.90–−0.80) | −0.57 (−0.62–−0.51) |
| Environmental data | ||||||||
| CFP | 2145.82 (2062.65–2228.99) | 803.42 (680.09–926.74) | −121.33 (−179.30–−63.36) | −983.02 (−1086.64–−879.40) | 432.92 (383.53–482.30) | −689.21 (−804.99–−573.42) | 283.73 (214.66–352.80) | −375.37 (−463.86–−286.88) |
| WFP | 1879.49 (1809.02–1949.96) | 843.32 (741.13–945.50) | 248.90 (192.54–305.26) | −419.22 (−504.32–−334.11) | 941.87 (889.68–994.06) | 78.02 (−13.29–169.34) | −99.19 (−168.65–−29.74) | −599.08 (−676.77–−521.38) |
| EFP | 13.36 (12.77–13.95) | 7.33 (6.52–8.14) | −0.37 (−0.79–0.05) | −4.29 (−4.98–−3.61) | 5.19 (4.85–5.54) | 0.04 (−0.61–0.69) | 0.79 (0.34–1.25) | −2.21 (−2.73–−1.68) |
Disclaimer/Publisher’s Note: The statements, opinions and data contained in all publications are solely those of the individual author(s) and contributor(s) and not of MDPI and/or the editor(s). MDPI and/or the editor(s) disclaim responsibility for any injury to people or property resulting from any ideas, methods, instructions or products referred to in the content. |
© 2025 by the authors. Licensee MDPI, Basel, Switzerland. This article is an open access article distributed under the terms and conditions of the Creative Commons Attribution (CC BY) license (https://creativecommons.org/licenses/by/4.0/).
Share and Cite
Bevenuto Mattar, J.; Heil Costa, M.; Gomes Domingos, A.L.; Miranda Hermsdorff, H.H.; Marçal Pimenta, A.; Bressan, J. Relationship Between Brazilian Dietary Patterns and the Global Syndemic: Data from the CUME Study. Int. J. Environ. Res. Public Health 2025, 22, 805. https://doi.org/10.3390/ijerph22050805
Bevenuto Mattar J, Heil Costa M, Gomes Domingos AL, Miranda Hermsdorff HH, Marçal Pimenta A, Bressan J. Relationship Between Brazilian Dietary Patterns and the Global Syndemic: Data from the CUME Study. International Journal of Environmental Research and Public Health. 2025; 22(5):805. https://doi.org/10.3390/ijerph22050805
Chicago/Turabian StyleBevenuto Mattar, Jéssica, Marcos Heil Costa, Ana Luiza Gomes Domingos, Helen Hermana Miranda Hermsdorff, Adriano Marçal Pimenta, and Josefina Bressan. 2025. "Relationship Between Brazilian Dietary Patterns and the Global Syndemic: Data from the CUME Study" International Journal of Environmental Research and Public Health 22, no. 5: 805. https://doi.org/10.3390/ijerph22050805
APA StyleBevenuto Mattar, J., Heil Costa, M., Gomes Domingos, A. L., Miranda Hermsdorff, H. H., Marçal Pimenta, A., & Bressan, J. (2025). Relationship Between Brazilian Dietary Patterns and the Global Syndemic: Data from the CUME Study. International Journal of Environmental Research and Public Health, 22(5), 805. https://doi.org/10.3390/ijerph22050805

