Oxidative Potential Characterization of Different PM2.5 Sources and Components in Beijing and the Surrounding Region
Abstract
1. Introduction
2. Methods
2.1. Site Description
2.2. Sample Analysis
2.2.1. Component Analysis
2.2.2. Oxidative Potential Analysis
2.3. Source Analysis
2.4. Health Risk Assessment Methods
3. Results and Discussion
3.1. Characteristics of PM2.5
3.1.1. PM2.5 Concentration Characteristics
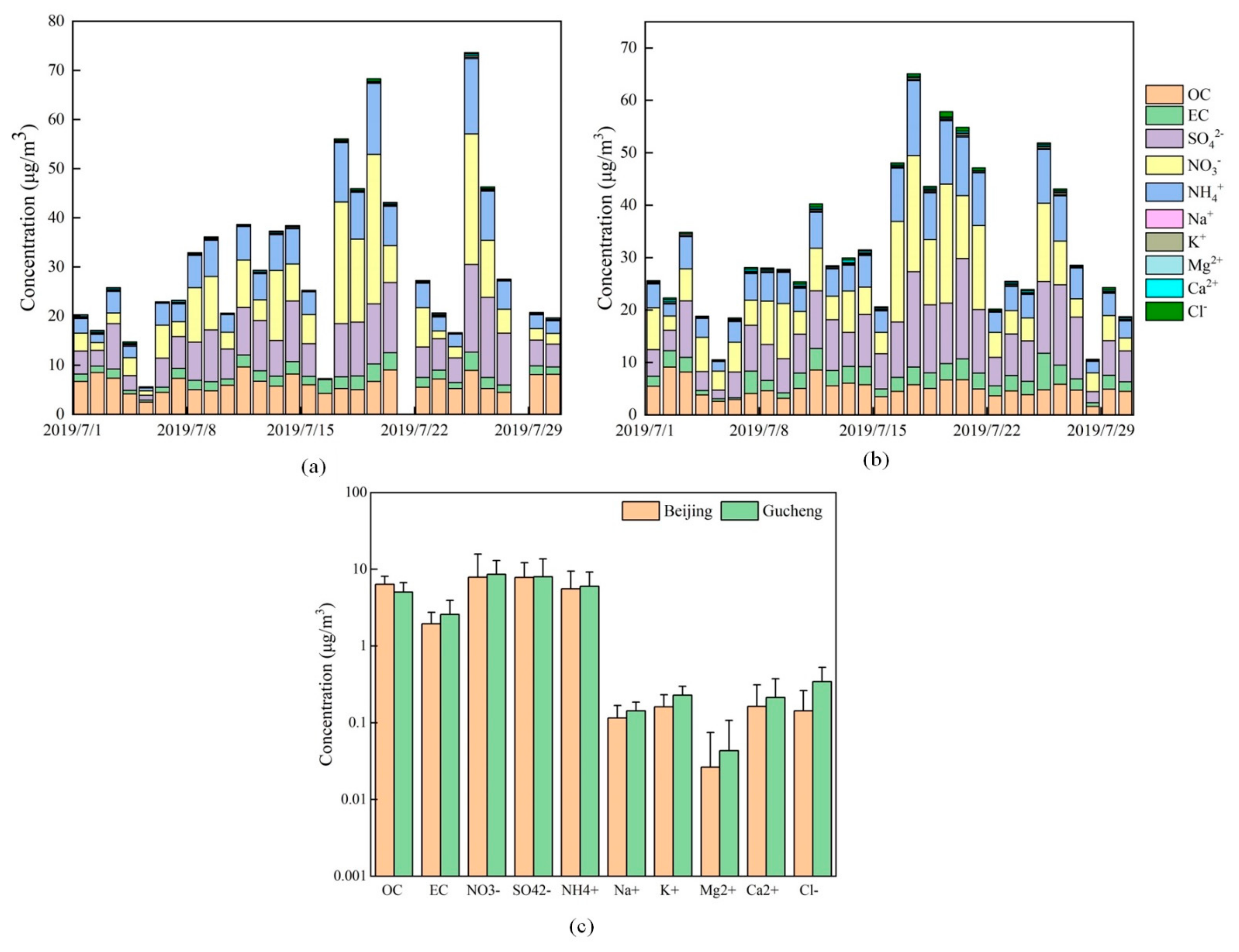
3.1.2. Characteristics of the Chemical Components in PM2.5
3.2. PM2.5 Source Analysis
3.3. Oxidative Potential Analysis
3.4. Health Risk Assessment
4. Conclusions
Author Contributions
Funding
Institutional Review Board Statement
Informed Consent Statement
Data Availability Statement
Acknowledgments
Conflicts of Interest
References
- Qi, G.; Wang, Z.; Wei, L.; Wang, Z. Multidimensional effects of urbanization on PM2.5 concentration in China. Environ. Sci. Pollut. Res. Int. 2022, 29, 77081–77096. [Google Scholar] [CrossRef] [PubMed]
- Maji, K.J.; Dikshit, A.K.; Arora, M.; Deshpande, A. Estimating premature mortality attributable to PM2.5 exposure and benefit of air pollution control policies in China for 2020. Sci. Total Environ. 2018, 612, 683–693. [Google Scholar] [CrossRef] [PubMed]
- Chan, C.K.; Yao, X. Air pollution in mega cities in China. Atmos. Environ. 2008, 42, 1–42. [Google Scholar] [CrossRef]
- Pui, D.Y.H.; Chen, S.-C.; Zuo, Z. PM 2.5 in China: Measurements, sources, visibility and health effects, and mitigation. Particuology 2014, 13, 1–26. [Google Scholar] [CrossRef]
- Xing, Y.F.; Xu, Y.H.; Shi, M.H.; Lian, Y.X. The impact of PM2.5 on the human respiratory system. J. Thorac. Dis. 2016, 8, E69–E74. [Google Scholar] [CrossRef]
- Sharma, S.; Chandra, M.; Kota, S.H. Health Effects Associated with PM2.5: A Systematic Review. Curr. Pollut. Rep. 2020, 6, 345–367. [Google Scholar] [CrossRef]
- Valavanidis, A.; Vlachogianni, T.; Fiotakis, K.; Loridas, S. Pulmonary oxidative stress, inflammation and cancer: Respirable particulate matter, fibrous dusts and ozone as major causes of lung carcinogenesis through reactive oxygen species mechanisms. Int. J. Environ. Res. Public Health 2013, 10, 3886–3907. [Google Scholar] [CrossRef]
- Feng, S.; Gao, D.; Liao, F.; Zhou, F.; Wang, X. The health effects of ambient PM2.5 and potential mechanisms. Ecotoxicol. Environ. Saf. 2016, 128, 67–74. [Google Scholar] [CrossRef]
- Wang, Y.; Wang, M.; Li, S.; Sun, H.; Mu, Z.; Zhang, L.; Li, Y.; Chen, Q. Study on the oxidation potential of the water-soluble components of ambient PM2.5 over Xi’an, China: Pollution levels, source apportionment and transport pathways. Environ. Int. 2020, 136, 105515. [Google Scholar] [CrossRef]
- Cao, W.; Wang, X.; Li, J.; Yan, M.; Chang, C.H.; Kim, J.; Jiang, J.; Liao, Y.P.; Tseng, S.; Kusumoputro, S.; et al. NLRP3 inflammasome activation determines the fibrogenic potential of PM2.5 air pollution particles in the lung. J. Environ. Sci. 2022, 111, 429–441. [Google Scholar] [CrossRef]
- Fang, T.; Verma, V.; Bates, J.T.; Abrams, J.; Klein, M.; Strickland, M.J.; Sarnat, S.E.; Chang, H.H.; Mulholland, J.A.; Tolbert, P.E.; et al. Oxidative potential of ambient water-soluble PM2.5 in the southeastern United States: Contrasts in sources and health associations between ascorbic acid (AA) and dithiothreitol (DTT) assays. Atmos. Chem. Phys. 2016, 16, 3865–3879. [Google Scholar] [CrossRef]
- Liu, Q.; Lu, Z.; Xiong, Y.; Huang, F.; Zhou, J.; Schauer, J.J. Oxidative potential of ambient PM2.5 in Wuhan and its comparisons with eight areas of China. Sci. Total Environ. 2020, 701, 134844. [Google Scholar] [CrossRef]
- Lim, C.C.; Thurston, G.D. Air Pollution, Oxidative Stress, and Diabetes: A Life Course Epidemiologic Perspective. Curr. Diab. Rep. 2019, 19, 58. [Google Scholar] [CrossRef]
- Li, Z.; Tang, Y.; Song, X.; Lazar, L.; Li, Z.; Zhao, J. Impact of ambient PM2.5 on adverse birth outcome and potential molecular mechanism. Ecotoxicol. Environ. Saf. 2019, 169, 248–254. [Google Scholar] [CrossRef]
- Rich, D.Q.; Zhang, W.; Lin, S.; Squizzato, S.; Thurston, S.W.; van Wijngaarden, E.; Croft, D.; Masiol, M.; Hopke, P.K. Triggering of cardiovascular hospital admissions by source specific fine particle concentrations in urban centers of New York State. Environ. Int. 2019, 126, 387–394. [Google Scholar] [CrossRef]
- Gao, J.; Peng, X.; Chen, G.; Xu, J.; Shi, G.L.; Zhang, Y.C.; Feng, Y.C. Insights into the chemical characterization and sources of PM(2.5) in Beijing at a 1-h time resolution. Sci. Total Environ. 2016, 542, 162–171. [Google Scholar] [CrossRef]
- Han, L.; Cheng, S.; Zhuang, G.; Ning, H.; Wang, H.; Wei, W.; Zhao, X. The changes and long-range transport of PM2.5 in Beijing in the past decade. Atmos. Environ. 2015, 110, 186–195. [Google Scholar] [CrossRef]
- MEPC. Ministry of Ecology and Enviroment of the People’s Republic of China. Available online: https://www.mee.gov.cn/ (accessed on 10 July 2022).
- Shi, X.; Zhang, J.; Lu, S.; Wang, T.; Zhang, X. China Carbon Neutralization Research Status and Research Frontier Tracking. Front. Environ. Sci. 2022, 10, 896524. [Google Scholar] [CrossRef]
- Guo, B.; Feng, Y.; Wang, Y.; Lin, J.; Zhang, J.; Wu, S.; Jia, R.; Zhang, X.; Sun, H.; Zhang, W.; et al. Influence of carbon emission trading policy on residents’ health in China. Front. Public Health 2022, 10, 1003192. [Google Scholar] [CrossRef]
- Cao, J. Characteristics of carbonaceous aerosol in Pearl River Delta Region, China during 2001 winter period. Atmos. Environ. 2003, 37, 1451–1460. [Google Scholar] [CrossRef]
- Liu, L.; Zhang, L.; Wen, W.; Jiao, J.; Cheng, H.; Ma, X.; Sun, C. Chemical composition, oxidative potential and identifying the sources of outdoor PM2.5 after the improvement of air quality in Beijing. Environ. Geochem. Health 2022. [Google Scholar] [CrossRef] [PubMed]
- Wang, Z.; Yan, J.; Zhang, P.; Li, Z.; Guo, C.; Wu, K.; Li, X.; Zhu, X.; Sun, Z.; Wei, Y. Chemical characterization, source apportionment, and health risk assessment of PM2.5 in a typical industrial region in North China. Environ. Sci. Pollut. Res. Int. 2022, 29, 71696–71708. [Google Scholar] [CrossRef]
- Han, Y.; Wang, Z.; Zhou, J.; Che, H.; Tian, M.; Wang, H.; Shi, G.; Yang, F.; Zhang, S.; Chen, Y. PM2.5-Bound Heavy Metals in Southwestern China: Characterization, Sources, and Health Risks. Atmosphere 2021, 12, 929. [Google Scholar] [CrossRef]
- Li, F.; Yan, J.; Wei, Y.; Zeng, J.; Wang, X.; Chen, X.; Zhang, C.; Li, W.; Chen, M.; Lü, G. PM2.5-bound heavy metals from the major cities in China: Spatiotemporal distribution, fuzzy exposure assessment and health risk management. J. Clean. Prod. 2021, 286, 124967. [Google Scholar] [CrossRef]
- Chen, P.; Bi, X.; Zhang, J.; Wu, J.; Feng, Y. Assessment of heavy metal pollution characteristics and human health risk of exposure to ambient PM2.5 in Tianjin, China. Particuology 2015, 20, 104–109. [Google Scholar] [CrossRef]
- Chen, Z.; Chen, D.; Zhao, C.; Kwan, M.P.; Cai, J.; Zhuang, Y.; Zhao, B.; Wang, X.; Chen, B.; Yang, J.; et al. Influence of meteorological conditions on PM2.5 concentrations across China: A review of methodology and mechanism. Environ. Int. 2020, 139, 105558. [Google Scholar] [CrossRef]
- Li, J.J.; Wang, G.H.; Wang, X.M.; Cao, J.J.; Sun, T.; Cheng, C.L.; Meng, J.J.; Hu, T.F.; Liu, S.X. Abundance, composition and source of atmospheric PM2.5 at a remote site in the Tibetan Plateau, China. Tellus B Chem. Phys. Meteorol. 2013, 65, 20281. [Google Scholar] [CrossRef]
- Yang, Q.; Yuan, Q.; Li, T.; Shen, H.; Zhang, L. The Relationships between PM2.5 and Meteorological Factors in China: Seasonal and Regional Variations. Int. J. Environ. Res. Public Health 2017, 14, 1510. [Google Scholar] [CrossRef]
- Ma, S.; Shao, M.; Zhang, Y.; Dai, Q.; Xie, M. Sensitivity of PM2.5 and O3 pollution episodes to meteorological factors over the North China Plain. Sci. Total Environ. 2021, 792, 148474. [Google Scholar] [CrossRef]
- BEE. Beijing Municipal Ecology and Enviroment Bureau. Available online: http://sthjj.beijing.gov.cn/bjhrb/index/index.html (accessed on 20 July 2022).
- Wang, Z.; Zhang, D.; Liu, B.; Li, Y.; Chen, T.; Sun, F.; Yang, D.; Liang, Y.; Chang, M.; Yang, L.; et al. Analysis of chemical characteristics of PM2.5 in Beijing over a 1-year period. J. Atmos. Chem. 2016, 73, 407–425. [Google Scholar] [CrossRef]
- Jiang, J.; Hou, L.; Yan, X.; Liu, H.; Sun, S.; Li, S.; Xiong, K.; Zhao, W. Simultaneous Measurements of Carbonaceous Aerosol in Three Major Cities in the Beijing-Tianjin-Hebei Region, China. Aerosol Air Qual. Res. 2022, 22, 220056. [Google Scholar] [CrossRef]
- Qi, M.; Jiang, L.; Liu, Y.; Xiong, Q.; Sun, C.; Li, X.; Zhao, W.; Yang, X. Analysis of the Characteristics and Sources of Carbonaceous Aerosols in PM2.5 in the Beijing, Tianjin, and Langfang Region, China. Int. J. Environ. Res. Public Health 2018, 15, 1483. [Google Scholar] [CrossRef]
- Wang, X.; Wei, W.; Cheng, S.; Yao, S.; Zhang, H.; Zhang, C. Characteristics of PM2.5 and SNA components and meteorological factors impact on air pollution through 2013–2017 in Beijing, China. Atmos. Pollut. Res. 2019, 10, 1976–1984. [Google Scholar] [CrossRef]
- Zhao, S.; Hu, B.; Gao, W.; Li, L.; Huang, W.; Wang, L.; Yang, Y.; Liu, J.; Li, J.; Ji, D.; et al. Effect of the “coal to gas” project on atmospheric NOX during the heating period at a suburban site between Beijing and Tianjin. Atmos. Res. 2020, 241, 104977. [Google Scholar] [CrossRef]
- Wang, G.; Cheng, S.; Li, J.; Lang, J.; Wen, W.; Yang, X.; Tian, L. Source apportionment and seasonal variation of PM2.5 carbonaceous aerosol in the Beijing-Tianjin-Hebei region of China. Environ. Monit. Assess. 2015, 187, 143. [Google Scholar] [CrossRef]
- Lv, L.; Chen, Y.; Han, Y.; Cui, M.; Wei, P.; Zheng, M.; Hu, J. High-time-resolution PM2.5 source apportionment based on multi-model with organic tracers in Beijing during haze episodes. Sci. Total Environ. 2021, 772, 144766. [Google Scholar] [CrossRef]
- Rai, P.; Furger, M.; Slowik, J.G.; Zhong, H.; Tong, Y.; Wang, L.; Duan, J.; Gu, Y.; Qi, L.; Huang, R.J.; et al. Characteristics and sources of hourly elements in PM10 and PM2.5 during wintertime in Beijing. Environ. Pollut. 2021, 278, 116865. [Google Scholar] [CrossRef]
- Zheng, M.; Salmon, L.G.; Schauer, J.J.; Zeng, L.; Kiang, C.S.; Zhang, Y.; Cass, G.R. Seasonal trends in PM2.5 source contributions in Beijing, China. Atmos. Environ. 2005, 39, 3967–3976. [Google Scholar] [CrossRef]
- Watson, J.G.; Chow, J.C.; Houck, J.E. PM2.5 chemical source profiles for vehicle exhaust, vegetative burning, geological material, and coal burning in Northwestern Colorado during 1995. Chemosphere 2001, 43, 1141–1151. [Google Scholar] [CrossRef]
- Li, L.; Meng, R.; Lei, Y.; Wu, S.; Jiang, Y. Human health risk assessment of heavy metals from PM2.5 in China’s 29 provincial capital cities. Environ. Sci. Pollut. Res. Int. 2022, 29, 63028–63040. [Google Scholar] [CrossRef]













| Population | Age | IR (m3/d) | EF (d/a) | ED (d) | BW (kg) | AT for Noncarcinogenic Materials (d) | AT for Carcinogenic Materials (d) |
|---|---|---|---|---|---|---|---|
| Children and adolescents | 6−17 | 8.7 | 365 | 18 | 46 | 18 × 365 | 70 × 365 |
| Adult females | ≥18 | 13.5 | 365 | 30 | 57.5 | 30 × 365 | 70 × 365 |
| Adult males | ≥18 | 16.6 | 365 | 30 | 67.3 | 30 × 365 | 70 × 365 |
| Element | Nature | RfD (mg/(kg·d)) | SF (mg/(kg·d)) |
|---|---|---|---|
| Cu | Noncarcinogenic | 2.0 × 10−3 | |
| Zn | Noncarcinogenic | 1.0 × 10−2 | |
| Pb | Noncarcinogenic | 4.3 × 10−4 | |
| Mn | Noncarcinogenic | 3.0 × 10−4 | |
| Cr | Carcinogenic | 56 | |
| Ni | Carcinogenic | 1.19 | |
| Cd | Carcinogenic | 8.4 | |
| As | Carcinogenic | 20.7 |
| Cluster | PM2.5 (μg/m3) | |
|---|---|---|
| Beijing | Gucheng | |
| 1 | 35.1 | 40.7 |
| 2 | 31.0 | 25.0 |
| 3 | 43.3 | 34.3 |
| 4 | 48.6 | 17.4 |
| 5 | 7.1 | 43.5 |
| 6 | 27.0 | |
| Principal Component | Initial Eigenvalue | Sum of Squares of the Extracted Loads | ||||
|---|---|---|---|---|---|---|
| Eigenvalue | Contribution/% | Cumulative Contribution/% | Eigenvalue | Contribution/% | Cumulative Contribution/% | |
| 1 | 5.5256 | 52.556 | 53.556 | 5.5256 | 52.556 | 52.556 |
| 2 | 1.985 | 19.845 | 72.401 | 1.985 | 19.845 | 72.401 |
| 3 | 0.872 | 8.720 | 81.120 | |||
| 4 | 0.693 | 6.931 | 88.051 | |||
| 5 | 0.621 | 6.213 | 94.264 | |||
| 6 | 0.307 | 3.074 | 97.338 | |||
| 7 | 0.191 | 1.911 | 99.248 | |||
| 8 | 0.050 | 0.503 | 99.752 | |||
| 9 | 0.025 | 0.246 | 99.998 | |||
| 10 | 0.000 | 0.002 | 100.000 | |||
| Principal Component | Initial Eigenvalue | Sum of Squares of the Extracted Loads | ||||
|---|---|---|---|---|---|---|
| Eigenvalue | Contribution/% | Cumulative Contribution/% | Eigenvalue | Contribution/% | Cumulative Contribution/% | |
| 1 | 6.542 | 59.477 | 59.477 | 6.542 | 59.477 | 59.477 |
| 2 | 1.817 | 16.516 | 75.993 | 1.817 | 16.516 | 75.993 |
| 3 | 0.852 | 7.742 | 83.735 | |||
| 4 | 0.827 | 7.514 | 91.249 | |||
| 5 | 0.331 | 3.009 | 94.258 | |||
| 6 | 0.298 | 2.713 | 96.972 | |||
| 7 | 0.167 | 1.519 | 98.491 | |||
| 8 | 0.091 | 0.832 | 99.322 | |||
| 9 | 0.074 | 0.671 | 99.993 | |||
| 10 | 0.001 | 0.007 | 100.000 | |||
| Component | Beijing | Gucheng | ||
|---|---|---|---|---|
| Principal Component 1 | Principal Component 2 | Principal Component 1 | Principal Component 2 | |
| OC | 0.360 | 0.765 | 0.967 | −0.226 |
| EC | 0.802 | 0.035 | 0.599 | 0.389 |
| Na+ | 0.777 | 0.225 | 0.795 | 0.352 |
| NH4+ | 0.959 | −0.178 | 0.894 | 0.006 |
| K+ | 0.848 | 0.451 | 0.900 | −0.390 |
| Mg2+ | −0.238 | 0.677 | 0.867 | 0.163 |
| Ca2+ | −0.072 | 0.673 | 0.463 | 0.671 |
| Cl− | 0.777 | −0.332 | 0.361 | 0.708 |
| NO3− | 0.857 | −0.300 | 0.733 | −0.190 |
| SO42− | 0.917 | 0.038 | 0.732 | −0.556 |
Disclaimer/Publisher’s Note: The statements, opinions and data contained in all publications are solely those of the individual author(s) and contributor(s) and not of MDPI and/or the editor(s). MDPI and/or the editor(s) disclaim responsibility for any injury to people or property resulting from any ideas, methods, instructions or products referred to in the content. |
© 2023 by the authors. Licensee MDPI, Basel, Switzerland. This article is an open access article distributed under the terms and conditions of the Creative Commons Attribution (CC BY) license (https://creativecommons.org/licenses/by/4.0/).
Share and Cite
Wen, W.; Hua, T.; Liu, L.; Liu, X.; Ma, X.; Shen, S.; Deng, Z. Oxidative Potential Characterization of Different PM2.5 Sources and Components in Beijing and the Surrounding Region. Int. J. Environ. Res. Public Health 2023, 20, 5109. https://doi.org/10.3390/ijerph20065109
Wen W, Hua T, Liu L, Liu X, Ma X, Shen S, Deng Z. Oxidative Potential Characterization of Different PM2.5 Sources and Components in Beijing and the Surrounding Region. International Journal of Environmental Research and Public Health. 2023; 20(6):5109. https://doi.org/10.3390/ijerph20065109
Chicago/Turabian StyleWen, Wei, Tongxin Hua, Lei Liu, Xiaoyu Liu, Xin Ma, Song Shen, and Zifan Deng. 2023. "Oxidative Potential Characterization of Different PM2.5 Sources and Components in Beijing and the Surrounding Region" International Journal of Environmental Research and Public Health 20, no. 6: 5109. https://doi.org/10.3390/ijerph20065109
APA StyleWen, W., Hua, T., Liu, L., Liu, X., Ma, X., Shen, S., & Deng, Z. (2023). Oxidative Potential Characterization of Different PM2.5 Sources and Components in Beijing and the Surrounding Region. International Journal of Environmental Research and Public Health, 20(6), 5109. https://doi.org/10.3390/ijerph20065109
