Abstract
Online harassment, particularly cyberbullying and the non-consensual sharing of intimate images, is a widespread phenomenon among adolescents and young adults. Descriptive research was carried out to investigate any differences among Italian school classes in the perception of cybercrime through a real-case scenario. Following the Italian school system, the final sample of 1777 adolescents (Mage = 15.37, SD = 1.65; Male = 52%) was divided into three groups based on the school class attended: middle school (N = 562; Mage = 13.37, SD = 0.48); high school biennium (N = 728; Mage = 15.55, SD = 0.50), and triennium (N = 487, Mage = 17.40, SD = 0.71). Participants completed a self-report questionnaire investigating the use of the Internet and the perception of a real case scenario involving the non-consensual sharing of intimate images and cyberbullying received by the National Centre for Combating Child Pornography Online (NCPO). Results showed differences among the three groups’ perceptions of the event’s features, motivations underlying the offense, victim-blaming and harassment justification (e.g., cyberbullying, in particular non-consensual sharing of intimate images, is recognized as a crime as age increases). The findings provide significant insights for future research and age-specific factors to consider when developing prevention programs for online risks.
1. Introduction
Since the development of the Internet, there has been a decrease of traditional offenses, especially in highly industrialized Western societies, which seems to be related to the evolution of cybercrime [1]. Cybercrime can be defined as “any crime (traditional or new) that can be conducted or enabled through, or using, digital technologies” [2], and can be conceptually divided into cyber-dependent crime (i.e., a crime that cannot be perpetrated without the internet, like hacking or spamming) and cyber-enabled crime (i.e., a traditional crime perpetrated in cyberspace to amplify its magnitude or reach using the internet, like online harassment) [1,3,4,5].
Online harassment, a cyber-enabled crime, refers to behaviors aimed at annoying, abusing, and tormenting people in cyberspace [6]. Online harassment appears to be composed of unique features [7]: widespread reach (i.e., the content is watched by many individuals), the permanence of the internet (i.e., the content is more difficult to remove, affecting victims at any time), and anonymity (i.e., the bullies are often unknown to victims) [4,8,9,10,11,12,13]. These features are linked to several adverse consequences for victims at the psychological (e.g., powerlessness, shame, fear, anxiety, depression symptoms), social, and economic (e.g., disruption of relationships and loss of work) levels [14,15]. Online harassment includes cyberbullying and the non-consensual sharing of intimate images. Cyberbullying can be defined as “an aggressive act or behavior that is carried out using electronic means by a group or an individual repeatedly and overtime against a victim who cannot easily defend him or herself” [16], while non-consensual sharing of intimate images is a new form of sexual abuse, also noted as a “Technology-Facilitated Sexual Violence” [17], defined by the non-consensual sharing of intimate and sexual visual content (i.e., images/videos) that can be obtained consensually or non-consensually [4,17,18,19]. This content is often shared along with the victim’s details (e.g., name, address), making them more vulnerable to abuse, stalking, and other forms of sexual harassment [15,20]. The non-consensual sharing of intimate images is used both by ex-partners to shame, extort, and harm victims as revenge following a break-up, by peers, family members, and co-workers [21].
Among the causes of online and offline aggressive behaviors, moral disengagement has been identified as a key factor [22,23,24,25,26] and is defined as the process by which individuals separate their moral norms from their immoral behaviors to avoid self-evaluation. It consists of four behavioral loci by which individuals regulate their conduct, including: justifying the behavior, shifting responsibility, minimizing the harm caused, and shifting the causal focus to the victim [27]. Moral disengagement predicts both sexual harassment and cyber-aggression by using: moral justification or diffusing responsibility to consider oneself as less responsible for one’s actions; euphemistic labeling, for example, considering these behaviors as funny or jokey; victim-blaming by attributing the responsibility to the victim, especially if the victims had sent the intimate images/videos consensually [25,28,29,30,31,32,33,34]. With regard to moral justification, few studies have analyzed the specific mechanism of moral disengagement. Thornberg and Jungert [35], found that moral justification was positively associated with bullying behavior in a sample of early adolescents (aged 10–14 years). Generally, the use of moral disengagement decreases in the developmental period from early adolescence (i.e., middle school) to adolescence (i.e., high school) [36,37,38]; in some cases, adolescents aged 14–15 years reported higher use of moral disengagement mechanisms than preadolescents (10–13-year-olds) [37,39]. Moreover, moral disengagement explains patterns of justification for the use of violence: children and adolescents who believe that it is appropriate to attack others when they deserve it are more likely to be aggressive [40,41,42,43]. Perren et al. [44] examined moral justification in adolescents aged 12–18 years as a function of self-reported bullying and victimization. Using a relational aggression vignette, teenagers were asked to explain the perpetrator’s perspective. Although there were no significant differences in the use of moral justification between pure bullies and bullies/victims, pure bullies had higher mean scores for these mechanisms than did bullying victims, which is consistent with a greater propensity toward violence in teens with high moral justification.
Interestingly, several studies on young victims of cyberbullying [45,46,47,48,49] have also found that adolescents tend to use moral justification as a way to empathize with their aggressors to protect their self-esteem, which could occur in victims of non-consensual intimate image sharing. Cyberbullying and non-consensual sharing of intimate images occur more among adolescents and young adults than older adults, often with females as victims [45,50,51,52,53,54], but non-consensual sharing of intimate images might be more evenly distributed among genders [55,56]. However, cyberbullying rates are related with the attended school class: as children move from primary school to middle and high school, the perpetration of cyberbullying decreases along with an increase in the ability to exert self-control [57,58,59]. Data showed a higher frequency of cyberbullying victims among 14–15 rather than 15–18-year-olds [60]. Moreover, cybercrime seems to differ according to age: adolescents reported higher editing of images/videos shared online; 14–15-year-olds are more likely to be victims of threats or insults; 12–13-year-olds are more likely to be victims of online rumor-spreading [61].
Such behaviors often occur largely in school, the primary place of socialization, where adolescents spend most of their time. The role of schools in cyberbullying and the non-consensual sharing of intimate images has, thus, been widely investigated. For example, school connectedness was found to moderate the relationship between cybervictimization and suicide risk in adolescents [62], while other studies [63] have shown that school educators often implicitly tolerate negative and non-inclusive attitudes, thus supporting the power structures that exist in a discriminatory school environment. In fact, in a study by Bevilacqua et al. [64], schools that performed well in terms of leadership and management generated protective school climates toward bullying and cyberbullying. Moreover, students in schools with voluntary assistance (e.g., religious schools) were less likely to be victims of such violent behavior than those in traditional state schools, which supports the idea of school ethics and culture as protective factors against cyberbullying [65].
Although the non-consensual sharing of intimate images and cyberbullying have been recognized as an offense in several countries [32,66,67], many people may not be aware that it is a crime, but rather would identify it as ingenious behavior or a funny joke [17]. Adolescents and young adults believe themselves to be aware of both the gravity and cybercrime of cyberbullying [68,69,70]. Indeed, an Australian study found that 99% of adolescents rated cyberbullying as “wrong” [71], and even pre-adolescents conceptualized bullying as morally transgressive because of the harm caused [72].
In addition, many adolescents believe that sexual images/videos remain private and are not shared on the internet [68,73,74,75], but there is a lack of knowledge about how cybercrime patterns change as age increases in adolescents [76,77]. In this regard, a study by Zilka [78] showed that the level of awareness about social media sharing among adolescents was medium-high and, specifically, it was lower in girls and older adolescents, as they share more content online, thus feeling more vulnerable and exposed than younger children.
Aims
To the best of our knowledge, no previous studies have explored the perception of cyberbullying and the non-consensual sharing of intimate images as cybercrime in different attended school classes. As suggested by Bae [79], the greater the perception of cyberbullying as harmful and illegal, the more likely it is that the perpetration of cyberbullying will decrease.
Through a real case scenario, received by the National Centre for Combating Child Pornography Online (NCPO), the present study aimed to investigate the presence of any age difference in the evaluation of the event’s features, the motivations underlying the offense, the victim-blaming, and the justification of the subsequent harassment.
2. Materials and Methods
2.1. Participants
A total sample of 1874 participants from different schools in Italy were recruited. Inclusion criteria included attending middle or high school; speaking Italian; aging from 13 to 19 years old. Based on these criteria, the final sample consists of 1777 participants, 52% identifying as male (N = 940; age M = 15.37; SD = 1.65). According to the hypothesis of our study, the sample was divided into three groups based on the school class attended. In Italy, for adolescents, schools follows these steps: middle school (11–13 years old), which corresponds to years 7 to 9 of the UK system or to middle school in the USA (Grade 6 to 8), and high school, which lasts for 5 years and is divided in biennium (14–15 years old, corresponding to year 10-h11 of the UK system or Grade 9–10 of the USA system) and triennium (16–18 years old, corresponding to year 12–13 of UK system or Grade 11–12 of the USA system). Therefore, high school in the Italian school system lasts for five years instead of four, as in the other international systems.
Therefore, our sample was therefore divided into: middle school (N = 562; mean age = 13.37; SD = 0.48; 53.4% male); biennium, first two-year period of high school (N = 728; mean age = 15.55; SD = 0.50; 56.5% male); triennium, last three-year period of high school (N = 487, mean age = 17.40; SD = 0.71; 47% male). The demographic characteristics of the three groups are detailed in Table 1.
Table 1.
Demographic characteristic.
2.2. Procedures
Data were collected using the pen-and-paper procedure proposed by the Postal Police in Italian middle and high schools. All students agreed to participate, and their caregivers signed an informed consent form in which they were informed about the purpose of the study and the anonymity. Afterward, demographic characteristics, use of the Internet and social networks, and the perceptions of cybercrime were investigated with an ad hoc scenario and items. This study was conducted according to the ethical standards of the Helsinki Declaration and was approved by the Institutional Review Board of the Department of Psychology of “Sapienza” University of Rome (protocol number 0002195).
2.3. Materials
Demographic characteristics, such as sex, age, educational institution, and attended grade were collected. In addition, participants were asked to complete an ad hoc questionnaire consisting of questions about the use of the Internet and social networks and the perception of cyberbullying and the non-consensual sharing of intimate images committed by adolescents through an ad hoc scenario developed based on cases received by the National Centre for Combating Child Pornography Online (NCPO) (Table S1).
2.3.1. Use of Internet
The use of the Internet and social networks was measured with 6 ad hoc items: 4 multiple-choice items assessed the most shared content and motivations for using social networks; 2 items, based on a 6-point Likert scale ranging from 1 (“not at all”) to 6 (“very much”), evaluated the diffusion of shared content (i.e., “In your opinion, how widely shared do you think the materials you post are?”) and daily use of social networks (i.e., “Approximately how much do you use social networks in a day?”).
2.3.2. Perception of Cybercrime
The perception of cybercrime was measured using a real case scenario that refers to an episode of the diffusion of an intimate video involving a minor, where the perpetrators become, in turn, victims:
“Fabio and Edoardo, both 16 years old, are deemed responsible for destroying Jessica’s reputation by spreading a consensual sexual video between Jessica and Edoardo. Francesco (16 years old) and Ludovica (17 years old) take action to defend Jessica, by insulting them, creating photomontages with heavy sexual allusions against them, threatening them with death, and intimidating them on social networks.”
15 ad hoc items, based on a 6-point Likert scale ranging from 1 (“not at all”) to 6 (“very much”), based on Bandura’s moral disengagement theory (Table S2), were used to measure different aspects of the scenario: 4 items were related to event’s features (e.g., “Could this ever happen in the area where you are living?”); 4 items were related to motivations underlying the offense (e.g., “Do you think the authors planned for the consequences of their actions?”), these items can be related to the minimization or ignoring of the harm caused by the non-consensual sharing of intimate images; 3 items were related to victim-blaming (e.g., “Do you think Jessica may have violated any laws?”), defined by shifting the causal focus to the victims; 4 items were related to the justification of the harassment by the victim’s friends (e.g., “Do you think the reaction against Fabio and Edoardo is understandable?”), related to the belief that cyberbullying behaviors in defense of a victim are justifiable, shifting responsibility for one’s actions.
2.4. Data Analysis
Data Statistical analyses were conducted using SPSS (Statistical Package for Social Science; version 27.0; IMB SPSS; Armonk, NY, USA). First, descriptive analyses of sample characteristics and use of the Internet and social networks were performed. Then, the data distributions were verified for normality: two items (i.e., “Could you ever do what Fabio and Edoardo did?” and “could you ever do what Jessica did?”) showed high values for symmetry (=2.47 and =2.03, respectively); after applying the reciprocal transformation, all variables lower than 2.0 for skewness and 7.0 for kurtosis were corrected; therefore, the distribution was considered normal (Curran et al., 1996). A Chi-Square Test with post-hoc Z-test for independent proportions was used to compare the use of social networks and the perception of the dissemination of shared material between age groups. Finally, through analysis of variance (ANOVA), differences between groups on the perception of cybercrime were investigated. Statistical significance in the post-hoc analysis was determined using Bonferroni correction and defined as p < 0.05.
3. Results
3.1. Descriptive Analysis on Use of Internet
Frequency analysis showed that social networks are mainly used for socializing and the most frequent types of shared content are photos and messages, through smartphones, in all students’ groups (Table 2). However, among the three groups, the motivations of “curiosity” showed significantly higher frequency in biennium and triennium students, “flirting” showed significantly higher frequency in triennium students, and “finding information” showed significantly higher frequency in middle and triennium students. Similarly, significant differences emerged in the content shared on social networks, where triennium students would send more photos and tweets, while posts were sent with significantly higher frequency by middle and triennium students. Facebook and Instagram are the most-used social networks for all student groups. However, Facebook use is more frequent among middle and triennium students, while Instagram use is more frequent among biennium and triennium students.
Table 2.
Frequency Analysis of use of the Internet in student groups.
Concerning the accessibility of shared materials, most of the students in the biennium and triennium groups believed that everyone has access to their content, while in the middle school group, there is a higher percentage of students who believe that the shared materials are accessible only to the recipient. Regarding statistically significant differences between the groups, the belief that the materials are accessible only to the recipient is more frequent among middle school and biennium students, while the belief that the materials are accessible to one’s network is more frequent among triennium students than among the other groups.
Finally, all groups of students report moderate Internet use and perceive moderate spread of the online materials they share. Differences between the groups show that middle school students use the Internet significantly less than biennium and triennium students.
3.2. Differences between Groups on Perception of Cybercrime
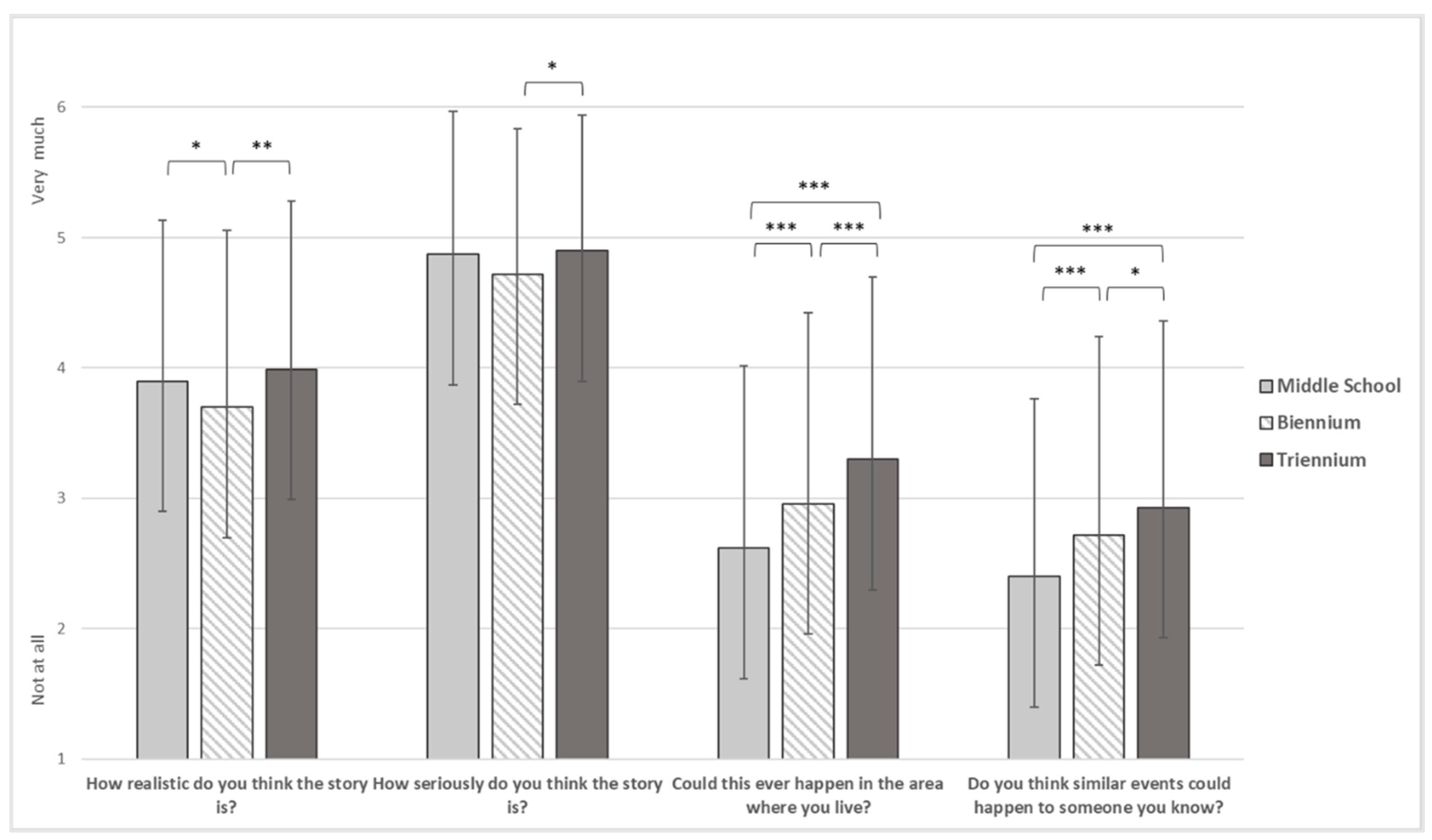
With regard to the item investigating the perception of cybercrime, statistically significant results emerged in all items concerning the event’s features (Figure 1). Biennium students reported a significantly lower mean (M = 3.70, SD = 1.353) than both triennium (M = 3.99, SD = 1.288) and middle students (M = 3.90, SD = 1.232) regarding the credibility of the scenario. Moreover, triennium students reported significantly higher mean (M = 4.90, SD = 1.039) than biennium students (M = 4.72, SD = 1.117) on the perception of the severity of the event. Finally, concerning both the event’s physical proximity and the possibility that acquaintances may experience the event, the results showed a significantly higher mean among triennium students (M = 3.30, SD = 1.398 and M = 2.93, SD = 1.429, respectively) than both middle (M = 2.62, SD = 1.399 and M = 2.40, SD = 1.366) and biennium students (M = 2.96, SD = 1.463 and M = 2.72, SD = 1.521), and biennium students reported a significantly higher mean than middle students.
Figure 1.
Event’s Features. Note. * = p < 0.05, ** = p < 0.01, *** = p < 0.001.
With regard to the items on motivations underlying the commission of the non-consensual sharing of intimate images offense (Figure 2), there were no statistically significant results regarding the foresight of the consequences of their actions by offenders (F(2) = 0.275, p = 0.760), offenders law violation (F(2) = 2.183, p = 0.113), and victim-blaming (F(2) = 1.848, p = 0.158). By contrast, middle students reported a significantly higher mean (M = 0.89, SD = 0.24) than biennium students (M = 0.84, SD = 0.29) on the likelihood of behaving like offenders.
Figure 2.
Motivations underlying the offense Note. ** = p < 0.01.
As for the victim-blaming items (Figure 3), there were no statistically significant results regarding the foresight of the consequences of her actions by the victim (F(2) = 0.786, p = 0.456). By contrast, middle students reported a significantly higher mean (M = 0.86, SD = 0.27) than biennium students (M = 0.79, SD = 0.31) on the likelihood of behaving like the victim. Significant differences also emerged regarding the violation of the law by the victim, with significantly higher means for middle students (M = 3.17, SD = 1.520) than for both biennium (M = 2.83, SD = 1.58) and triennium students (M = 2.70, SD = 1.507).
Figure 3.
Victim-blaming. Note. *** = p < 0.001.
Finally, with regard to the justification of the harassment by the victim’s friends (Figure 4), there were no statistically significant results regarding the foresight of the consequences of their actions by offenders (F(2) = 0.470, p = 0.625), and justification of their reaction (F(2) = 2.687, p = 0.068). However, biennium students showed significantly higher means (M = 2.35, SD = 1.553) than middle students (M = 2.13, SD = 1.455) on the likelihood of behaving like the offenders, and triennium students (M = 4.32, SD = 1.428) reported significantly higher means than both biennium (M = 4.10, SD = 1.505) and middle students (M = 3.98, SD = 1.460) on violation of the law by offenders.
Figure 4.
Justification of the harassment by the victim’s friends. Note. * = p < 0.05, ** = p < 0.01.
4. Discussion
The study aimed to investigate the perception of cybercrimes, specifically, the non-consensual sharing of intimate images and cyberbullying in different grades of secondary schools (i.e., middle school, high school biennium, and triennium).
The results showed that triennium students perceived the scenario as more serious and credible than did biennium students. Although the prevalence of cyberbullying decreases between 13 and 18 years old [57,58,59,60], as also shown by the frequency analysis on Internet use within the present study, the spreading and editing of images/videos shared online increased with age [61], with a probable intensification in the awareness of this crime. Interestingly, middle school students perceived greater trustworthiness of the scenario than did biennium students. During the early years of high school, adolescents begin to move away from the family context and develop important friendships and intimate relationships involved in the development of moral reasoning [80]. Therefore, the events described in the scenario could be evaluated as morally unacceptable within their social context, and unrealistic. In addition, the biennium students could identify with the characters of the scenario, being their peers, while the middle students could experience the scenario as more distant from their own, and yet no less real. Although middle school students considered the story more plausible than did biennium students, the perceived closeness of the event increased with age, consistent with the development of affectively and sexually connoted romantic relationships [81] and with increased involvement in sexting [82,83].
Moreover, younger people are more overconfident, although they are more impulsive and more able to avoid risks [84,85,86]. Younger adolescents engage in dangerous activities even when they know and understand the risks involved, but their actions are mainly guided by feelings and social influences [87,88,89]. Regardless of the attended school class, nonconsensual sharing of intimate images was perceived as a violation of the law; however, only middle school students would engage more in the non-consensual sharing of intimate images and victim behavior than biennium students. This could be related to the higher frequency in middle school students of the belief that shared material is only accessible to the recipient. For cyberbullying, the opposite pattern is observed, along with an increase in law violation recognition as age increases. These results could be related to the higher prevalence of cyberbullying (i.e., hate crimes) in middle school students [61] and, therefore, higher novelty-seeking and the underestimation of risks and overconfidence. Moreover, as we grow up, metacognitive skills and internalization of moral principles improve and, with them, the self-regulation skills related to self-evaluation mechanisms [37,90,91,92,93,94]. Therefore, older adolescents may engage less in the non-consensual sharing of intimate images but may use cyberbullying to a greater extent as a form of revenge, a response related to the use of moral disengagement mechanisms, in particular, the moral justification mechanism used to redefine the meaning of the action as being by socially accepted principles, such as honor. Both the revenge response and disengagement mechanisms may be more common among biennium students than both middle and triennium students [36,37,38,95,96].
Finally, the results showed that the victims’ perception of violation of the law was higher among middle students than both the biennium and triennium students, consistent with greater use among younger adolescents of moral disengagement mechanisms, such as victim-blaming, resulting in greater feelings of responsibility by the victim for what happened [25,28,29,30,31,32,33,34].
Since schools are places where children and adolescents first socialize and educate themselves, as well as develop online and offline relationships, moral behavior, and communication, there is a wide range of school-based interventions aimed at preventing online sexual violence, including the sharing of unwanted intimate sexual messages [97]. However, many of these programs merely focus on abstinence from sexting and the use of risk communication strategies to discourage sexting altogether, while no alternative digital sexual education interventions have been observed [98,99]. However, previous studies have shown that there is a need to develop prevention programs that empower students in the face of cyberbullying and intimidation on social media and in other online environments [100,101,102,103]. In addition, programs focused on the effects on both victims and perpetrators can have a series of positive effects on both the school environment and adolescents [104]. Younger students (i.e., those in middle school) may benefit from a specific intervention aimed at learning more about age-related risk factors and the sharing of intimate images, as several studies have revealed different patterns of early onset sexting compared to sexting in later adolescence [105,106]. Early prevention programs focused on developing targeted communication (e.g., assertiveness) and self-regulation skills for this specific target could prove useful in improving gradual empowerment to deal with the risks of cyberbullying and the sharing of intimate images online. Hence, Manzuoli and Medina [107] argued that early adolescents in cyberbullying situations could be better prepared to deal with this threat through response education that includes actions such as seeking support from adults (e.g., parents, relatives, or teachers) and/or government organizations; hiding, deleting, and/or deactivating social media account features in order to eliminate or reduce unsolicited/unwanted communications; and being communicatively assertive and making effective and timely decisions. Conversely, older adolescents (i.e., biennium and triennium students), who usually share more intimate content online, may benefit from peer-educational school programs on sexting and intimate image sharing, achieving encouraging outcomes in terms of knowledge acquisition with respect to the possible risks and consequences of such behavior, with a greater effectiveness of peer-to-peer communication in spite of institutional intervention, which is often based on abstinence and seems to be, in some way, judgmental [108].
In any case, identification of the presence of cyberbullying and examination of the possible correlations among the types and factors that influence school violence are necessary steps for comprehensive needs analysis to help educational agents and stakeholders better understand their educational communities and, thus, develop more effective cyberbullying prevention plans and long-lasting protective environments for adolescents and their families.
5. Conclusions
The study presented is descriptive research, designed to investigate possible differences between age groups in the perception of cybercrime. The scenario involved two crimes (i.e., the non-consensual sharing of intimate images and cyberbullying) and two forms of victimization, implying the use of different moral judgments in attributing realism and severity to the scenario. Future studies could use the scenario to assess how moral disengagement mechanisms act in evaluating realism and blaming attribution by breaking down the scenario according to the desired aspects to be emphasized. Notably, this study can already act as a groundwork for the development of both online safety and digital communication education programs, so that they can be designed to act differently for specific age groups, depending on what is relevant to each one. Moreover, this study could be repeated in an adult population (e.g., parents, caregivers), to understand their awareness of how children communicate and the risks of the network.
This study, however, has some limitations: on the one hand, being a true story is a strength for reliability and realism; but, on the other hand, it places a limit on the replicability of the scenario. Indeed, it is difficult to find more than one scenario with the same story but differing in gender and age of the victim and author. Furthermore, while this study is descriptive (and therefore does not investigate psychological mechanisms, but rather gives an overview of these two cybercrimes), the lack of validated scales, specifically about moral disengagement, is a limitation that was not part of the research objectives. Hence, since the questionnaire was administered by police forces, the data may be subjective to social desirability bias; however, the ethical implications were considered in dealing with data through the training of the police force. Moreover, before each administration, the research project was explained to teacher in order to better introduce the police officials to the class, further reducing the bias.
Supplementary Materials
The following supporting information can be downloaded at: https://www.mdpi.com/article/10.3390/ijerph192417040/s1, Table S1: Questionnaire, Table S2: Interpretation of items based on Bandura’s moral disengagement theory.
Author Contributions
Conceptualization, G.L and P.C.; methodology, G.L and P.C.; validation, C.B., P.T. and A.M.G.; formal analysis, C.C.; investigation, C.C. and G.L.; data curation, C.C.; writing—original draft preparation, C.C., G.L. and A.P.; writing—review and editing, E.M. and A.Q.; supervision, A.M.G. All authors have read and agreed to the published version of the manuscript.
Funding
This research received no external funding.
Institutional Review Board Statement
The study was conducted in accordance with the Declaration of Helsinki, and approved by the Institutional Review Board of the Department of Psychology of “Sapienza” University of Rome (protocol number 0002195).
Informed Consent Statement
Informed consent was obtained from all subjects involved in the study.
Data Availability Statement
Data is available upon request.
Conflicts of Interest
The authors declare no conflict of interest.
References
- Caneppele, S.; Aebi, M.F. Crime drop or police recording flop? On the relationship between the decrease of offline crime and the increase of online and hybrid crimes. Polic. J. Policy Pract. 2019, 13, 66–79. [Google Scholar] [CrossRef]
- Attrill-Smith, A.; Fullwood, C.; Keep, M.; Kuss, D.J. The Oxford Handbook of Cyberpsychology; Oxford University Press: Oxford, UK, 2019. [Google Scholar]
- Ho, M.H.; Ko, R.; Mazerolle, L. Situational Crime Prevention (SCP) Techniques to Prevent and Control Cybercrimes: A Focused Systematic Review. Comput. Secur. 2022, 115, 102611. [Google Scholar] [CrossRef]
- Quayle, E. Prevention, disruption and deterrence of online child sexual exploitation and abuse. ERA Forum 2020, 21, 429–447. [Google Scholar] [CrossRef]
- Reep-van den Bergh, C.M.; Junger, M. Victims of cybercrime in Europe: A review of victim surveys. Crime Sci. 2018, 7, 1–15. [Google Scholar] [CrossRef]
- Nurse, J.R. Cybercrime and you: How criminals attack and the human factors that they seek to exploit. arXiv 2018, arXiv:181106624. [Google Scholar]
- Erdur-Baker, Ö. Cyberbullying and its correlation to traditional bullying, gender and frequent and risky usage of internet-mediated communication tools. N. Media Soc. 2010, 12, 109–125. [Google Scholar] [CrossRef]
- Dodge, A. Nudes are Forever: Judicial Interpretations of Digital Technology’s Impact on “Revenge Porn”. Can. J. Law Soc. Rev. Can. Droit. Société 2019, 34, 121–143. [Google Scholar] [CrossRef]
- Dooley, J.J.; Pyżalski, J.; Cross, D. Cyberbullying versus face-to-face bullying: A theoretical and conceptual review. J. Psychol. 2009, 217, 182–188. [Google Scholar] [CrossRef]
- Hinduja, S.; Patchin, J.W. Cyberbullying: An Exploratory Analysis of Factors Related to Offending and Victimization. Deviant Behav. 2008, 29, 129–156. [Google Scholar] [CrossRef]
- Snakenborg, J.; Van Acker, R.; Gable, R.A. Cyberbullying: Prevention and intervention to protect our children and youth. Prev. Sch. Fail. Altern. Educ. Child Youth 2011, 55, 88–95. [Google Scholar] [CrossRef]
- Vandebosch, H.; Van Cleemput, K. Defining cyberbullying: A qualitative research into the perceptions of youngsters. Cyberpsychol. Behav. 2008, 11, 499–503. [Google Scholar] [CrossRef] [PubMed]
- Ybarra, M.L.; Mitchell, K.J. Online aggressor/targets, aggressors, and targets: A comparison of associated youth characteristics. J. Child Psychol. Psychiatr. 2004, 45, 1308–1316. [Google Scholar] [CrossRef] [PubMed]
- Bates, S. Revenge porn and mental health: A qualitative analysis of the mental health effects of revenge porn on female survivors. Fem. Criminol. 2017, 12, 22–42. [Google Scholar] [CrossRef]
- Citron, D.K.; Franks, M.A. Criminalizing Revenge Porn. Wake For. Law Rev. 2014, 49, 345. [Google Scholar]
- Smith, P.K.; Mahdavi, J.; Carvalho, M.; Fisher, S.; Russell, S.; Tippett, N. Cyberbullying: Its nature and impact in secondary school pupils. J. Child Psychol. Psychiatr. 2008, 49, 376–385. [Google Scholar] [CrossRef]
- Henry, N.; Powell, A. Beyond the ‘sext’: Technology-facilitated sexual violence and harassment against adult women. Aust. N. Z. J. Criminol. 2015, 48, 104–118. [Google Scholar] [CrossRef]
- McGlynn, C.; Rackley, E.; Houghton, R. Beyond ‘revenge porn’: The continuum of image-based sexual abuse. Fem. Leg. Stud. 2017, 25, 25–46. [Google Scholar] [CrossRef]
- Zvi, L.; Bitton, M.S. Perceptions of victim and offender culpability in non-consensual distribution of intimate images. Psychol. Crime Law 2021, 27, 427–442. [Google Scholar] [CrossRef]
- Waldman, A.E. A Breach of Trust: Fighting Nonconsensual Pornography. Iowa Law Rev. 2017, 102, 709–733. [Google Scholar]
- Starr, T.S.; Lavis, T. Perceptions of Revenge Pornography and Victim Blame. Int. J. Cyber Criminol. 2019, 12, 427–438. [Google Scholar] [CrossRef]
- Gini, G.; Pozzoli, T.; Hymel, S. Moral disengagement among children and youth: A meta-analytic review of links to aggressive behavior: Moral Disengagement and Aggressive Behavior. Aggress. Behav. 2014, 40, 56–68. [Google Scholar] [CrossRef] [PubMed]
- Leduc, K.; Conway, L.; Gomez-Garibello, C.; Talwar, V. The influence of participant role, gender, and age in elementary and high-school children’s moral justifications of cyberbullying behaviors. Comput. Hum. Behav. 2018, 83, 215–220. [Google Scholar] [CrossRef]
- Menesini, E.; Nocentini, A.; Camodeca, M. Morality, values, traditional bullying, and cyberbullying in adolescence: Morality and values in cyber and traditional bullying. Br. J. Dev. Psychol. 2013, 31, 1–14. [Google Scholar] [CrossRef] [PubMed]
- Pornari, C.D.; Wood, J. Peer and cyber aggression in secondary school students: The role of moral disengagement, hostile attribution bias, and outcome expectancies. Aggress. Behav. Off. J. Int. Soc. Res. Aggress. 2010, 36, 81–94. [Google Scholar] [CrossRef] [PubMed]
- Simão, V.; Ferreira, P.; Francisco, S.M.; Paulino, P.; Souza, S.B. Cyberbullying: Shaping the use of verbal aggression through normative moral beliefs and self-efficacy. N. Media Soc. 2018, 20, 4787–4806. [Google Scholar] [CrossRef]
- Bandura, A.; Barbaranelli, C.; Caprara, G.V.; Pastorelli, C. Mechanisms of moral disengagement in the exercise of moral agency. J. Pers. Soc. Psychol. 1996, 71, 364–374. [Google Scholar] [CrossRef]
- Bothamley, S.; Tully, R.J. Understanding revenge pornography: Public perceptions of revenge pornography and victim blaming. J. Aggress. Confl. Peace Res. 2018, 10, 1–10. [Google Scholar] [CrossRef]
- Clancy, E.M.; Klettke, B.; Hallford, D.J. The dark side of sexting—Factors predicting the dissemination of sexts. Comput. Hum. Behav. 2019, 92, 266–272. [Google Scholar] [CrossRef]
- Hoareau, N.; Bagès, C.; Allaire, M.; Guerrien, A. The role of psychopathic traits and moral disengagement in cyberbullying among adolescents. Crim. Behav. Ment Health 2019, 29, 321–331. [Google Scholar] [CrossRef]
- Page, T.E.; Pina, A. Moral disengagement and self-reported harassment proclivity in men: The mediating effects of moral judgment and emotions. J. Sex. Aggress. 2018, 24, 157–180. [Google Scholar] [CrossRef]
- Pina, A.; Bell, A.; Griffin, K.; Vasquez, E. Image Based Sexual Abuse proclivity and victim blaming: The role of dark personality traits and moral disengagement. Oñati Socio-Leg. Ser. 2021, 11, 1179–1197. [Google Scholar] [CrossRef]
- Powell, A.; Henry, N.; Flynn, A. Image-Based Sexual Abuse. In Routledge Handbook of Critical Criminology; Routledge: New York, NY, USA, 2018; Volume 2. [Google Scholar]
- Robson, C.; Witenberg, R.T. The influence of moral disengagement, morally based self-esteem, age, and gender on traditional bullying and cyberbullying. J. Sch. Violence 2013, 12, 211–231. [Google Scholar] [CrossRef]
- Thornberg, R.; Jungert, T. School bullying and the mechanisms of moral disengagement: School Bullying and the Mechanisms. Aggress. Behav. 2014, 40, 99–108. [Google Scholar] [CrossRef] [PubMed]
- Caroli, M.E.D.; Sagone, E. Belief in a Just World, Prosocial Behavior, and Moral Disengagement in Adolescence. Procedia Soc. Behav. Sci. 2014, 116, 596–600. [Google Scholar] [CrossRef][Green Version]
- Paciello, M.; Fida, R.; Tramontano, C.; Lupinetti, C.; Caprara, G.V. Stability and Change of Moral Disengagement and Its Impact on Aggression and Violence in Late Adolescence. Child Dev. 2008, 79, 1288–1309. [Google Scholar] [CrossRef]
- Shulman, E.P.; Cauffman, E.; Piquero, A.R.; Fagan, J. Moral disengagement among serious juvenile offenders: A longitudinal study of the relations between morally disengaged attitudes and offending. Dev. Psychol. 2011, 47, 1619–1632. [Google Scholar] [CrossRef]
- Romera, E.M.; Ortega-Ruiz, R.; Runions, K.; Camacho, A. Bullying perpetration, moral disengagement and need for popularity: Examining reciprocal associations in adolescence. J. Youth Adolesc. 2021, 50, 2021–2035. [Google Scholar] [CrossRef]
- Bentley, K.M.; Li, A.K. Bully and victim problems in elementary schools and students’ beliefs about aggression. Can. J. Sch. Psychol. 1996, 11, 153–165. [Google Scholar] [CrossRef]
- Bosworth, K.; Espelage, D.L.; Simon, T.R. Factors associated with bullying behavior in middle school students. J. Early Adolesc. 1999, 19, 341–362. [Google Scholar] [CrossRef]
- Huesmann, L.R.; Guerra, N.G. Children’s normative beliefs about aggression and aggressive behavior. J. Pers. Soc. Psychol. 1997, 72, 408. [Google Scholar] [CrossRef]
- Owusu-Banahene, N.O.; Amedahe, F.K. Adolescent Students’ Beliefs about Aggression and the Association between Beliefs and Reported Level of Aggression: A Study of Senior High School Students in Ghana. Aust. J. Educ. Dev. Psychol. 2008, 8, 64–71. [Google Scholar]
- Perren, S.; Gutzwiller-Helfenfinger, E.; Malti, T.; Hymel, S. Moral reasoning and emotion attributions of adolescent bullies, victims, and bully-victims: Moral development and bullying. Br. J. Dev. Psychol. 2012, 30, 511–530. [Google Scholar] [CrossRef] [PubMed]
- Kowalski, R.M.; Giumetti, G.W.; Schroeder, A.N.; Lattanner, M.R. Bullying in the digital age: A critical review and meta-analysis of cyberbullying research among youth. Psychol. Bull. 2014, 140, 1073–1137. [Google Scholar] [CrossRef] [PubMed]
- Allison, K.R.; Bussey, K. Individual and collective moral influences on intervention in cyberbullying. Comput. Hum. Behav. 2017, 74, 7–15. [Google Scholar] [CrossRef]
- Luo, A.; Bussey, K. The selectivity of moral disengagement in defenders of cyberbullying: Contextual moral disengagement. Comput. Hum. Behav. 2019, 93, 318–325. [Google Scholar] [CrossRef]
- Eraslan-Çapan, B.; Bakioğlu, F. Submissive Behavior and Cyber Bullying: A Study on the Mediator Roles of Cyber Victimization and Moral Disengagement. Psychol. Belg. 2020, 60, 18–32. [Google Scholar] [CrossRef]
- Falla, D.; Romera, E.M.; Ortega-Ruiz, R. Aggression, Moral Disengagement and Empathy. A Longitudinal Study Within the Interpersonal Dynamics of Bullying. Front. Psychol. 2021, 12, 703468. [Google Scholar] [CrossRef]
- Branch, K.; Hilinski-Rosick, C.M.; Johnson, E.; Solano, G. Revenge Porn Victimization of College Students in the United States: An Exploratory Analysis. Int. J. Cyber Criminol. 2017, 11, 128–142. [Google Scholar] [CrossRef]
- Didden, R.; Scholte, R.H.; Korzilius, H.; De Moor, J.M.; Vermeulen, A.; O’Reilly, M.; Lang, R.; Lancioni, G.E. Cyberbullying among students with intellectual and developmental disability in special education settings. Dev. Neurorehabilit. 2009, 12, 146–151. [Google Scholar] [CrossRef]
- Henry, N.; Flynn, A.; Powell, A. Responding to ’Revenge Pornography’: Prevalence, Nature and Impacts; Criminology Research Grants Program; Australian Institute of Criminology: Canberra, Australia, 2019. [Google Scholar]
- Rivers, I.; Noret, N. Participant roles in bullying behavior and their association with thoughts of ending one’s life. Crisis 2010, 3, 143–148. [Google Scholar] [CrossRef]
- Smith, P.K. Cyberbullying and Cyber Aggression. In Handbook of School Violence and School Safety: International Research and Practice; Routledge/Taylor & Francis Group: Oxfordshire, UK, 2012; pp. 99–103. [Google Scholar]
- Pedersen, W.; Bakken, A.; Stefansen, K.; von Soest, T. Sexual Victimization in the Digital Age: A Population-Based Study of Physical and Image-Based Sexual Abuse Among Adolescents. Arch. Sex Behav. 2022. [Google Scholar] [CrossRef] [PubMed]
- Walker, K.; Sleath, E. A systematic review of the current knowledge regarding revenge pornography and non-consensual sharing of sexually explicit media. Aggress. Violent Behav. 2017, 36, 9–24. [Google Scholar] [CrossRef]
- Balakrishnan, V. Cyberbullying among young adults in Malaysia: The roles of gender, age and Internet frequency. Comput. Hum. Behav. 2015, 46, 149–157. [Google Scholar] [CrossRef]
- Holt, T.J.; Burruss, G.W.; Bossler, A.M. Social Learning and Cyber-Deviance: Examining the Importance of a Full Social Learning Model in the Virtual World. J. Crime Justice 2010, 33, 31–61. [Google Scholar] [CrossRef]
- Kuhnle, C.; Hofer, M.; Kilian, B. Self-control as predictor of school grades, life balance, and flow in adolescents: The relevance of self-control in adolescents. Br. J. Educ. Psychol. 2012, 82, 533–548. [Google Scholar] [CrossRef]
- Ramos, C.P.; Torres-Toukoumidis, A.; Pedreira, M.C.C.; Havránková, T. The Perception of Cyberbullying by Adolescents in Rural and Urban Spain. In Communications and Smart Technologies; Rocha, Á., Barredo, D., López-López, P.C., Puentes-Rivera, I., Eds.; Springer: Singapore, 2022; Volume 259, pp. 573–582. [Google Scholar] [CrossRef]
- Pichel, R.; Foody, M.; O’Higgins Norman, J.; Feijóo, S.; Varela, J.; Rial, A. Bullying, Cyberbullying and the Overlap: What Does Age Have to Do with It? Sustainability 2021, 13, 8527. [Google Scholar] [CrossRef]
- Kim, J.; Walsh, E.; Pike, K.; Thompson, E.A. Cyberbullying and Victimization and Youth Suicide Risk: The Buffering Effects of School Connectedness. J. Sch. Nurs. 2020, 36, 251–257. [Google Scholar] [CrossRef]
- Shariff, S. A System on Trial: Identifying Legal Standards for Educational, Ethical and Legally Defensible Approaches to Bullying in Schools; National Library of Canada: Ottawa, ON, Canada, 2004. [Google Scholar]
- Bevilacqua, L.; Shackleton, N.; Hale, D.; Allen, E.; Bond, L.; Christie, D.; Elbourne, D.; Fitzgerald-Yau, N.; Fletcher, A.; Jones, R.; et al. The role of family and school-level factors in bullying and cyberbullying: A cross-sectional study. BMC Pediatr. 2017, 17, 160. [Google Scholar] [CrossRef]
- Shariff, S.; Johnny, L. Cyber-libel and cyber-bullying: Can Schools Protect Student Reputations and Free-expression in Virtual Environments? Educ. Law J. 2007, 16, 307. [Google Scholar]
- Henry, N.; Powell, A. Sexual Violence in the Digital Age: The Scope and Limits of Criminal Law. Soc. Leg. Stud. 2016, 25, 397–418. [Google Scholar] [CrossRef]
- Scott, A.J.; Gavin, J. Revenge pornography: The influence of perpetrator-victim sex, observer sex and observer sexting experience on perceptions of seriousness and responsibility. J. Crim. Psychol. 2018, 8, 162–172. [Google Scholar] [CrossRef]
- Grifoni, P.; D’Andrea, A.; Ferri, F.; Guzzo, T.; Felicioni, M.A.; Vignoli, A. Against Cyberbullying Actions: An Italian Case Study. Sustainability 2021, 13, 2055. [Google Scholar] [CrossRef]
- Verma, M.K.; Kushwaha, S.S. Awareness towards cybercrime among undergraduate students: Gender and college management. Safer Commun. 2021, 11, 116–121. [Google Scholar]
- Verma, M.K.; Kushwaha, S.S. Awareness towards cybercrime among secondary school students: The role of gender and school management. Safer Commun. 2021, 20, 150–158. [Google Scholar] [CrossRef]
- Bussey, K.; Fitzpatrick, S.; Raman, A. The Role of Moral Disengagement and Self-Efficacy in Cyberbullying. J. Sch. Violence 2015, 14, 30–46. [Google Scholar] [CrossRef]
- Thornberg, R.; Thornberg, U.B.; Alamaa, R.; Daud, N. Children’s conceptions of bullying and repeated conventional transgressions: Moral, conventional, structuring and personal-choice reasoning. Educ. Psychol. 2016, 36, 95–111. [Google Scholar] [CrossRef]
- Haynes, A.M. The age of consent: When is sexting no longer speech integral to criminal conduct. Cornell Rev. 2011, 97, 369. [Google Scholar]
- Macapagal, K.; Moskowitz, D.A.; Li, D.H.; Carrión, A.; Bettin, E.; Fisher, C.B.; Mustanski, B. Hookup app use, sexual behavior, and sexual health among adolescent men who have sex with men in the United States. J. Adolesc. Health 2018, 62, 708–715. [Google Scholar] [CrossRef]
- Paat, Y.-F.; Markham, C. Digital crime, trauma, and abuse: Internet safety and cyber risks for adolescents and emerging adults in the 21st century. Soc. Work Ment. Health 2021, 19, 18–40. [Google Scholar] [CrossRef]
- Avais, M.A.; Wassan, A.; Narejo, H.; Khan, J. Awareness regarding cyber victimization among students of University of Sindh, Jamshoro. Int. J. Asian Soc. Sci. 2014, 4, 632–641. [Google Scholar]
- Peter, P. Effectiveness of Planned Teaching Programme on Knowledge Regarding Cybercrime among Higher Secondary Students in Selected School of Indore District in the Year 2015–2016. GFNPSS Glob. Nurs. J. India 2021, 4, 327. [Google Scholar] [CrossRef]
- Zilka, G.C. eSafety and Sharing Habits with Family and Friends Among Children and Adolescents. Child Adolesc. Soc. Work J. 2019, 36, 521–535. [Google Scholar] [CrossRef]
- Bae, S.-M. The relationship between exposure to risky online content, cyber victimization, perception of cyberbullying, and cyberbullying offending in Korean adolescents. Child Youth Serv. Rev. 2021, 123, 105946. [Google Scholar] [CrossRef]
- Wang, X.; Zhao, F.; Yang, J.; Lei, L. School Climate and Adolescents’ Cyberbullying Perpetration: A Moderated Mediation Model of Moral Disengagement and Friends’ Moral Identity. J. Interpers. Violence 2021, 36, NP9601–NP9622. [Google Scholar] [CrossRef] [PubMed]
- Connolly, J.; McIsaac, C.; Shulman, S.; Wincentak, K.; Joly, L.; Heifetz, M.; Bravo, V. Development of romantic relationships in adolescence and emerging adulthood: Implications for community mental health. Can. J. Commun. Ment. Health 2014, 33, 7–19. [Google Scholar] [CrossRef]
- Madigan, S.; Ly, A.; Rash, C.L.; Van Ouytsel, J.; Temple, J.R. Prevalence of multiple forms of sexting behavior among youth: A systematic review and meta-analysis. JAMA Pediatr. 2018, 172, 327–335. [Google Scholar] [CrossRef]
- Völlink, T.; Bolman, C.A.; Dehue, F.; Jacobs, N.C. Coping with cyberbullying: Differences between victims, bully-victims and children not involved in bullying. J. Commun. Appl. Soc. Psychol. 2013, 23, 7–24. [Google Scholar] [CrossRef]
- Magnus, J.R.; Peresetsky, A.A. Grade Expectations: Rationality and Overconfidence. Front. Psychol. 2018, 8, 2346. [Google Scholar] [CrossRef]
- Piehlmaier, D.M. Overconfidence Among Young Decision-Makers: Assessing the Effectiveness of a Video Intervention and the Role of Gender, Age, Feedback, and Repetition. Sci. Rep. 2020, 10, 3984. [Google Scholar] [CrossRef]
- Weinberger, D.R.; Elvevåg, B.; Giedd, J.N. The Adolescent Brain; National Campaign to Prevent Teen Pregnancy: Washington, DC, USA, 2005; Volume 1, pp. 10–12. [Google Scholar]
- Cauffman, E.; Steinberg, L. The cognitive and affective influences on adolescent decision-making. Temple Rev. 1995, 68, 1763. [Google Scholar]
- Steinberg, L. Risk Taking in Adolescence: What Changes, and Why? Ann. N. Y. Acad. Sci. 2004, 1021, 51–58. [Google Scholar] [CrossRef] [PubMed]
- Steinberg, L. Cognitive and affective development in adolescence. Trends Cogn. Sci. 2005, 9, 69–74. [Google Scholar] [CrossRef] [PubMed]
- Bergman, R. Why Be Moral? A Conceptual Model from Developmental Psychology. Hum. Dev. 2002, 45, 104–124. [Google Scholar] [CrossRef]
- Blasi, A. Moral Identity: Its Role in Moral Functioning. In Morality, Moral Behavior and Moral Development; Wiley: New York, NY, USA, 1984; pp. 128–139. [Google Scholar]
- Carlo, G.; Eisenberg, N.; Knight, G.P. An Objective Measure of Adolescents’ Prosocial Moral Reasoning. J. Res. Adolesc. 1992, 2, 331–349. [Google Scholar] [CrossRef]
- Helwig, C.C.; Turiel, E. Children’s Social and Moral Reasoning. In The Wiley-Blackwell Handbook of Childhood Social Development; Blackwell Publishing: Noboken, NJ, USA, 2002; pp. 476–490. [Google Scholar]
- Swanson, H.L.; Hill, G. Metacognitive aspects of moral reasoning and behavior. Adolescence 1993, 28, 711. [Google Scholar]
- Posada, R.; Wainryb, C. Moral Development in a Violent Society: Colombian Childrens Judgments in the Context of Survival and Revenge. Child Dev. 2008, 79, 882–898. [Google Scholar] [CrossRef]
- Tanrikulu, I.; Erdur-Baker, Ö. Motives Behind Cyberbullying Perpetration: A Test of Uses and Gratifications Theory. J. Interpers. Violence 2021, 36, NP6699–724. [Google Scholar] [CrossRef]
- Boer, S.; Erdem, Ö.; de Graaf, H.; Götz, H. Prevalence and Correlates of Sext-Sharing Among a Representative Sample of Youth in the Netherlands. Front. Psychol. 2021, 12, 655796. [Google Scholar] [CrossRef]
- Döring, N. Consensual sexting among adolescents: Risk prevention through abstinence education or safer sexting? Cyberpsychol. J. Psychosoc. Res. Cyberspace 2014, 8, 9. [Google Scholar] [CrossRef]
- Finkelhor, D.; Walsh, K.; Jones, L.; Mitchell, K.; Collier, A. Youth Internet Safety Education: Aligning Programs with the Evidence Base. Trauma Violence Abuse 2021, 22, 1233–1247. [Google Scholar] [CrossRef]
- Williams, K.R.; Guerra, N.G. Prevalence and Predictors of Internet Bullying. J. Adolesc. Health 2007, 41, S14–S21. [Google Scholar] [CrossRef] [PubMed]
- Kiriakidis, S.P.; Kavoura, A. Cyberbullying: A Review of the Literature on Harassment Through the Internet and Other Electronic Means. Fam. Commun. Health 2010, 33, 82–93. [Google Scholar] [CrossRef] [PubMed]
- Couvillon, M.A.; Ilieva, V. Recommended Practices: A Review of Schoolwide Preventative Programs and Strategies on Cyberbullying. Prev. Sch. Fail. Altern. Educ. Child Youth 2011, 55, 96–101. [Google Scholar] [CrossRef]
- Migliaccio, T.; Raskauskas, J. Small-Scale Bullying Prevention Discussion Video for Classrooms: A Preliminary Evaluation. Child Sch. 2013, 35, 71–81. [Google Scholar] [CrossRef]
- Yaakub, N.F.; Haron, F.; Leong, G.C. Examining the efficacy of the Olweus prevention programme in reducing bullying: The Malaysian experience. Procedia Soc. Behav. Sci. 2010, 5, 595–598. [Google Scholar] [CrossRef]
- Houck, C.D.; Barker, D.; Rizzo, C.; Hancock, E.; Norton, A.; Brown, L.K. Sexting and Sexual Behavior in At-Risk Adolescents. Pediatrics 2014, 133, e276–e282. [Google Scholar] [CrossRef]
- Parti, K.; Sanders, C.E.; Englander, E.K. Sexting at an Early Age: Patterns and Poor Health-Related Consequences of Pressured Sexting in Middle and High School. J. Sch. Health 2022, 93, 73–81. [Google Scholar] [CrossRef]
- Hennig Manzuoli, C.; Cuesta Medina, L. Determining Factors for Cyberbullying Prevention Programmes. Int. Educ. Stud. 2017, 10, 52. [Google Scholar] [CrossRef]
- Ojeda, M.; Del Rey, R. Lines of Action for Sexting Prevention and Intervention: A Systematic Review. Arch. Sex Behav. 2022, 51, 1659–1687. [Google Scholar] [CrossRef]
Publisher’s Note: MDPI stays neutral with regard to jurisdictional claims in published maps and institutional affiliations. |
© 2022 by the authors. Licensee MDPI, Basel, Switzerland. This article is an open access article distributed under the terms and conditions of the Creative Commons Attribution (CC BY) license (https://creativecommons.org/licenses/by/4.0/).



