Impact of Work and Recreational Physical Activity on Prediabetes Condition among U.S. Adults: NHANES 2015–2016
Abstract
1. Introduction
2. Materials and Methods
2.1. Data Collection and Study Population
2.2. Assessment of Variables
Physical Activity (Exposure)
2.3. Prediabetes (Outcome)
2.4. Covariates
2.5. Statistical Analysis
3. Results
3.1. Characteristics of Work and Recreational Physical Activity
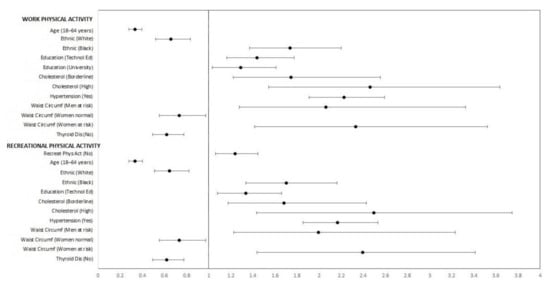
3.2. Association between Prediabetes and Work/Recreational Physical Activity
4. Discussion
5. Conclusions
Author Contributions
Funding
Institutional Review Board Statement
Informed Consent Statement
Data Availability Statement
Acknowledgments
Conflicts of Interest
References
- American Diabetes Association. 2. Classification and Diagnosis of Diabetes: Standards of Medical Care in Diabetes-2018. Diabetes Care 2018, 41, S13–S27. [Google Scholar] [CrossRef]
- American Diabetes Association. 2. Classification and Diagnosis of Diabetes. Diabetes Care 2017, 40, S11–S24. [Google Scholar] [CrossRef] [PubMed]
- Tuso, P. Prediabetes and lifestyle modification: Time to prevent a preventable disease. Perm. J. 2014, 18, 88–93. [Google Scholar] [CrossRef] [PubMed]
- American Diabetes Association. 2. Classification and Diagnosis of Diabetes: Standards of Medical Care in Diabetes-2019. Diabetes Care 2019, 42, S13–S28. [Google Scholar] [CrossRef] [PubMed]
- Mirahmadizadeh, A.; Fathalipour, M.; Mokhtari, A.M.; Zeighami, S.; Hassanipour, S.; Heiran, A. The prevalence of undiagnosed type 2 diabetes and prediabetes in Eastern Mediterranean region (EMRO): A systematic review and meta-analysis. Diabetes Res. Clin. Pract. 2020, 160, 107931. [Google Scholar] [CrossRef]
- Lailler, G.; Piffaretti, C.; Fuentes, S.; Nabe, H.D.; Oleko, A.; Cosson, E.; Fosse-Edorh, S. Prevalence of prediabetes and undiagnosed type 2 diabetes in France: Results from the national survey ESTEBAN, 2014–2016. Diabetes Res. Clin. Pract. 2020, 165, 108252. [Google Scholar] [CrossRef]
- Vatcheva, K.P.; Fisher-Hoch, S.P.; Reininger, B.M.; McCormick, J.B. Sex and age differences in prevalence and risk factors for prediabetes in Mexican-Americans. Diabetes Res. Clin. Pract. 2020, 159, 107950. [Google Scholar] [CrossRef]
- Lazo-Porras, M.; Bernabe-Ortiz, A.; Ruiz-Alejos, A.; Smeeth, L.; Gilman, R.H.; Checkley, W.; Málaga, G.; Miranda, J.J. Regression from prediabetes to normal glucose levels is more frequent than progression towards diabetes: The CRONICAS Cohort Study. Diabetes Res. Clin. Pract. 2020, 163, 107829. [Google Scholar] [CrossRef]
- Spurr, S.; Bally, J.; Hill, P.; Gray, K.; Newman, P.; Hutton, A. Exploring the Prevalence of Undiagnosed Prediabetes, Type 2 Diabetes Mellitus, and Risk Factors in Adolescents: A Systematic Review. J. Pediatr. Nurs. 2020, 50, 94–104. [Google Scholar] [CrossRef]
- Ayu-Erika, K.; Puspitha, A.; Syahrul, S. Prediabetes among overweight and obese school-aged children: A cross-sectional study. Enferm. Clin. 2020, 30 (Suppl. 2), 49–54. [Google Scholar] [CrossRef]
- Siddiqui, S.; Zainal, H.; Harun, S.N.; Sheikh Ghadzi, S.M.; Ghafoor, S. Gender differences in the modifiable risk factors associated with the presence of prediabetes: A systematic review. Diabetes Metab. Syndr. 2020, 14, 1243–1252. [Google Scholar] [CrossRef] [PubMed]
- Mahat, R.K.; Singh, N.; Arora, M.; Rathore, V. Health risks and interventions in prediabetes: A review. Diabetes Metab. Syndr. 2019, 13, 2803–2811. [Google Scholar] [CrossRef] [PubMed]
- Glechner, A.; Keuchel, L.; Affengruber, L.; Titscher, V.; Sommer, I.; Matyas, N.; Wagner, G.; Kien, C.; Klerings, I.; Gartlehner, G. Effects of lifestyle changes on adults with prediabetes: A systematic review and meta-analysis. Prim. Care Diabetes 2018, 12, 393–408. [Google Scholar] [CrossRef] [PubMed]
- Holtermann, A.; Krause, N.; Van Der Beek, A.J.; Straker, L. The physical activity paradox: Six reasons why occupational physical activity (OPA) does not confer the cardiovascular health benefits that leisure time physical activity does. Br. J. Sports Med. 2018, 52, 149–150. [Google Scholar] [CrossRef]
- Chu, A.H.Y.; Moy, F.M. Associations of occupational, transportation, household and leisure-time physical activity patterns with metabolic risk factors among middle-aged adults in a middle-income country. Prev. Med. (Baltim) 2013, 57, S14–S17. [Google Scholar] [CrossRef]
- Chen, Y.; Yang, J.; Su, J.; Qin, Y.; Shen, C.; Li, Y.; Lu, S.; Pan, E.; Gao, Y.; Miao, D.; et al. Physical activity, sedentary time and their associations with clustered metabolic risk among people with type 2 diabetes in Jiangsu province: A cross-sectional study. BMJ Open 2019, 9, e027906. [Google Scholar] [CrossRef]
- Gilis-Januszewska, A.; Lindström, J.; Tuomilehto, J.; Piwońska-Solska, B.; Topór-Mądry, R.; Szybiński, Z.; Peltonen, M.; Schwarz, P.E.H.; Windak, A.; Hubalewska-Dydejczyk, A. Sustained diabetes risk reduction after real life and primary health care setting implementation of the diabetes in Europe prevention using lifestyle, physical activity and nutritional intervention (DE-PLAN) project. BMC Public Health 2017, 17, 198. [Google Scholar] [CrossRef]
- Rowan, C.P.; Riddell, M.C.; Jamnik, V.K. The Prediabetes Detection and Physical Activity Intervention Delivery (PRE-PAID) program. Can. J. Diabetes 2013, 37, 415–419. [Google Scholar] [CrossRef]
- Feig, E.H.; Levy, D.E.; McCurley, J.L.; Rimm, E.B.; Anderson, E.M.; Gelsomin, E.D.; Thorndike, A.N. Association of work-related and leisure-time physical activity with workplace food purchases, dietary quality, and health of hospital employees. BMC Public Health 2019, 19, 1583. [Google Scholar] [CrossRef]
- Centers for Disease Control and Prevention. “National Health and Nutrition Examination Survey”. Available online: https://www.cdc.gov/nchs/nhanes/about_nhanes.htm (accessed on 12 June 2020).
- Centers for Disease Control and Prevention. “National Health and Nutrition Examination Survey”. Available online: https://wwwn.cdc.gov/nchs/nhanes/ResponseRates.aspx#response-rates (accessed on 12 June 2020).
- Keating, X.D.; Zhou, K.; Liu, X.; Hodges, M.; Liu, J.; Guan, J.; Phelps, A.; Castro-Piñero, J. Reliability and Concurrent Validity of Global Physical Activity Questionnaire (GPAQ): A Systematic Review. Int. J. Environ. Res. Public Health 2019, 16, 4128. [Google Scholar] [CrossRef]
- Centers for Disease Control and Prevention. “National Health and Nutrition Examination Survey”. Available online: https://wwwn.cdc.gov/Nchs/Nhanes/2015-2016/PAQ_I.htm (accessed on 12 June 2020).
- Haskell, W.L.; Lee, I.-M.; Pate, R.R.; Powell, K.E.; Blair, S.N.; Franklin, B.A.; Macera, C.A.; Heath, G.W.; Thompson, P.D.; Bauman, A. Physical activity and public health: Updated recommendation for adults from the American College of Sports Medicine and the American Heart Association. Med. Sci. Sports Exerc. 2007, 39, 1423–1434. [Google Scholar] [CrossRef] [PubMed]
- Centers for Disease Control and Prevention. “National Health and Nutrition Examination Survey”. Available online: https://wwwn.cdc.gov/Nchs/Nhanes/2015-2016/GHB_I.htm (accessed on 12 June 2020).
- Centers for Disease Control and Prevention. “National Health and Nutrition Examination Survey”. Available online: https://wwwn.cdc.gov/Nchs/Nhanes/2015-2016/DEMO_I.htm (accessed on 12 June 2020).
- Salas-Salvadó, J.; Díaz-López, A.; Ruiz-Canela, M.; Basora, J.; Fitó, M.; Corella, D.; Serra-Majem, L.; Wärnberg, J.; Romaguera, D.; Estruch, R.; et al. Effect of a Lifestyle Intervention Program With Energy-Restricted Mediterranean Diet and Exercise on Weight Loss and Cardiovascular Risk Factors: One-Year Results of the PREDIMED-Plus Trial. Diabetes Care 2019, 42, 777–788. [Google Scholar] [CrossRef] [PubMed]
- Diaz, K.M.; Shimbo, D. Physical activity and the prevention of hypertension. Curr. Hypertens. Rep. 2013, 15, 659–668. [Google Scholar] [CrossRef] [PubMed]
- Börjesson, M.; Onerup, A.; Lundqvist, S.; Dahlöf, B. Physical activity and exercise lower blood pressure in individuals with hypertension: Narrative review of 27 RCTs. Br. J. Sports Med. 2016, 50, 356–361. [Google Scholar] [CrossRef]
- Korsager Larsen, M.; Matchkov, V.V. Hypertension and physical exercise: The role of oxidative stress. Medicina 2016, 52, 19–27. [Google Scholar] [CrossRef]
- Luc, K.; Schramm-Luc, A.; Guzik, T.J.; Mikolajczyk, T.P. Oxidative stress and inflammatory markers in prediabetes and diabetes. J. Physiol. Pharmacol. An Off. J. Polish Physiol. Soc. 2019, 70, 809–824. [Google Scholar] [CrossRef]
- Linmans, J.J.; Spigt, M.G.; Deneer, L.; Lucas, A.E.M.; de Bakker, M.; Gidding, L.G.; Linssen, R.; Knottnerus, J.A. Effect of lifestyle intervention for people with diabetes or prediabetes in real-world primary care: Propensity score analysis. BMC Fam. Pract. 2011, 12, 95. [Google Scholar] [CrossRef]
- More, K.R.; Phillips, L.A. The influence of body dissatisfaction on cardiovascular and strength-based physical activity by gender: A self-determination theory approach. Psychol. Health 2019, 34, 1437–1450. [Google Scholar] [CrossRef]
- Ferguson, M.A.; Alderson, N.L.; Trost, S.G.; Essig, D.A.; Burke, J.R.; Durstine, J.L. Effects of four different single exercise sessions on lipids, lipoproteins, and lipoprotein lipase. J. Appl. Physiol. 1998, 85, 1169–1174. [Google Scholar] [CrossRef]
- Tsekouras, Y.E.; Magkos, F.; Kellas, Y.; Basioukas, K.N.; Kavouras, S.A.; Sidossis, L.S. High-intensity interval aerobic training reduces hepatic very low-density lipoprotein-triglyceride secretion rate in men. Am. J. Physiol. Metab. 2008, 295, E851–E858. [Google Scholar] [CrossRef]
- Lira, F.S.; Zanchi, N.E.; Lima-Silva, A.E.; Pires, F.O.; Bertuzzi, R.C.; Santos, R.V.; Caperuto, E.C.; Kiss, M.A.; Seelaender, M. Acute high-intensity exercise with low energy expenditure reduced LDL-c and total cholesterol in men. Eur. J. Appl. Physiol. 2009, 107, 203–210. [Google Scholar] [CrossRef] [PubMed]
- Muthunarayanan, L.; Ramraj, B.; Russel, J. Prevalence of prediabetes and its associated risk factors among rural adults in Tamil Nadu. Arch. Med. Heal. Sci. 2015, 3, 178–184. [Google Scholar] [CrossRef]
- Mezzetti, A.; Cipollone, F.; Cuccurullo, F. Oxidative stress and cardiovascular complications in diabetes: Isoprostanes as new markers on an old paradigm. Cardiovasc. Res. 2000, 47, 475–488. [Google Scholar] [CrossRef]
- Zhu, Y.; Sidell, M.A.; Arterburn, D.; Daley, M.F.; Desai, J.; Fitzpatrick, S.L.; Horberg, M.A.; Koebnick, C.; McCormick, E.; Oshiro, C.; et al. Racial/Ethnic Disparities in the Prevalence of Diabetes and Prediabetes by BMI: Patient Outcomes Research To Advance Learning (PORTAL) Multisite Cohort of Adults in the U.S. Diabetes Care 2019, 42, 2211–2219. [Google Scholar] [CrossRef] [PubMed]
- Mauvais-Jarvis, F. Sex differences in metabolic homeostasis, diabetes, and obesity. Biol. Sex Differ. 2015, 6, 14. [Google Scholar] [CrossRef]
- Ni, Y.; Zhao, L.; Yu, H.; Ma, X.; Bao, Y.; Rajani, C.; Loo, L.W.M.; Shvetsov, Y.B.; Yu, H.; Chen, T.; et al. Circulating Unsaturated Fatty Acids Delineate the Metabolic Status of Obese Individuals. EBioMedicine 2015, 2, 1513–1522. [Google Scholar] [CrossRef]
- Yang, M.H.; Hall, S.A.; Piccolo, R.S.; Maserejian, N.N.; McKinlay, J.B. Do behavioral risk factors for prediabetes and insulin resistance differ across the socioeconomic gradient? Results from a community-based epidemiologic survey. Int. J. Endocrinol. 2015, 2015, 806257. [Google Scholar] [CrossRef]
- Zaman, F.A.; Pal, R.; Zaman, G.S.; Swati, I.A.; Kayyum, A. Glucose indices, frank and undetected diabetes in relation to hypertension and anthropometry in a South Indian rural population. Indian J. Public Health 2011, 55, 34–37. [Google Scholar] [CrossRef]
- Lorenzo, C.; Hartnett, S.; Hanley, A.J.; Rewers, M.J.; Wagenknecht, L.E.; Karter, A.J.; Haffner, S.M. Impaired fasting glucose and impaired glucose tolerance have distinct lipoprotein and apolipoprotein changes: The insulin resistance atherosclerosis study. J. Clin. Endocrinol. Metab. 2013, 98, 1622–1630. [Google Scholar] [CrossRef]
- Wu, L.; Parhofer, K.G. Diabetic dyslipidemia. Metabolism 2014, 63, 1469–1479. [Google Scholar] [CrossRef]
- Nwatu, C.B.; Ofoegbu, E.N.; Unachukwu, C.N.; Young, E.E.; Okafor, C.I.; Okoli, C.E. Prevalence of prediabetes and associated risk factors in a rural Nigerian community. Int. J. Diabetes Dev. Ctries. 2016, 36, 197–203. [Google Scholar] [CrossRef]
- Ishikawa, J.; Schwartz, J.E.; Pickering, T.G. Pre-diabetes is Associated With Masked Hypertension. Circulation 2009, 120, S1060. [Google Scholar]
- Zhao, M.; Lin, H.; Yuan, Y.; Wang, F.; Xi, Y.; Wen, L.M.; Shen, P.; Bu, S. Prevalence of Pre-Diabetes and Its Associated Risk Factors in Rural Areas of Ningbo, China. Int. J. Environ. Res. Public Health 2016, 13, 808. [Google Scholar] [CrossRef] [PubMed]
- Salvetti, A.; Brogi, G.; Di Legge, V.; Bernini, G.P. The inter-relationship between insulin resistance and hypertension. Drugs 1993, 46 (Suppl. 2), 149–159. [Google Scholar] [CrossRef]
- Chang, C.-H.; Yeh, Y.-C.; Shih, S.-R.; Lin, J.-W.; Chuang, L.-M.; Caffrey, J.L.; Tu, Y.-K. Association between thyroid dysfunction and dysglycaemia: A prospective cohort study. Diabet. Med. 2017, 34, 1584–1590. [Google Scholar] [CrossRef] [PubMed]
- Mainous, A.G., 3rd; Tanner, R.J.; Baker, R.; Zayas, C.E.; Harle, C.A. Prevalence of prediabetes in England from 2003 to 2011: Population-based, cross-sectional study. BMJ Open 2014, 4, e005002. [Google Scholar] [CrossRef] [PubMed]
- Centers for Disease Control and Prevention. National Diabetes Fact Sheet: National Estimates and General Information on Diabetes and Prediabetes in the United States, 2011; US Department of Health and Human Services, Centers for Disease Control and Prevention: Atlanta, GA, USA, 2011; Volume 201, pp. 2568–2569.
- Menke, A.; Casagrande, S.; Geiss, L.; Cowie, C.C. Prevalence of and Trends in Diabetes Among Adults in the United States, 1988-2012. JAMA 2015, 314, 1021–1029. [Google Scholar] [CrossRef]

| Variables | Work Physical Activity | p | ||
|---|---|---|---|---|
| YES | NO | |||
| n (%) | n (%) | |||
| n = 1945 | n = 2536 | |||
| 43.41% | 56.59% | |||
| 2015–2016 | ||||
| Gender | 0.001 | |||
| Males | 1072 (50.42) | 1054 (49.58) | ||
| Females | 873 (37.07) | 1482 (62.93) | ||
| Age | 0.001 | |||
| 18–64 Years | 1606 (45.41) | 1931 (54.59) | ||
| >65 Years | 339 (35.91) | 605 (64.09) | ||
| Ethnic Group | 0.001 | |||
| Mexican | 313 (42.53) | 423 (57.47) | ||
| Hispanic | 224 (37.71) | 370 (62.29) | ||
| White | 827 (53.60) | 716 (46.40) | ||
| Black | 373 (41.08) | 535 (58.92) | ||
| Multiracial | 208 (29.71) | 492 (70.29) | ||
| Education level | 0.001 | |||
| Elementary School | 356 (36.36) | 623 (63.64) | ||
| High School | 458 (47.12) | 514 (52.88) | ||
| Technical Education | 696 (51.33) | 660 (48.67) | ||
| University | 435 (37.05) | 739 (62.95) | ||
| Cholesterol | 0.410 | |||
| Normal | 1206 (44.10) | 1529 (55.90) | ||
| Borderline | 515 (42.85) | 687 (57.15) | ||
| High | 224 (41.18) | 320 (58.82) | ||
| Hypertension | 0.011 | |||
| Yes | 586 (40.67) | 855 (59.33) | ||
| No | 1359 (44.70) | 1681 (55.30) | ||
| BMI | 0.003 | |||
| Low | 24 (32.00) | 51 (68.00) | ||
| Normal | 508 (41.47) | 717 (58.53) | ||
| Overweight | 619 (41.97) | 856 (58.03) | ||
| Obese | 794 (46.54) | 912 (53.46) | ||
| Waist Circumference | 0.001 | |||
| Men Normal | 336 (46.86) | 381 (53.14) | ||
| Men at Risk | 736 (52.24) | 673 (47.76) | ||
| Women Normal | 107 (35.67) | 193 (64.33) | ||
| Women at Risk | 766 (37.27) | 1289 (62.73) | ||
| Thyroid Disease | 0.017 | |||
| Yes | 179 (38.25) | 289 (61.75) | ||
| No | 1766 (44.01) | 2247 (55.99) | ||
| Variables | Recreational Physical Activity | p | ||
|---|---|---|---|---|
| YES | NO | |||
| n (%) | n (%) | |||
| n = 2275 | n = 2206 | |||
| 50.77% | 49.33% | |||
| 2015–2016 | ||||
| Gender | 0.011 | |||
| Males | 1122 (52.78) | 1004 (47.22) | ||
| Females | 1153 (48.96) | 1202 (51.04) | ||
| Age | 0.001 | |||
| 18–64 Years | 1902 (53.77) | 1635 (46.23) | ||
| >65 Years | 373 (39.51) | 571 (60.49) | ||
| Ethnic Group | 0.001 | |||
| Mexican | 314 (42.66) | 422 (57.34) | ||
| Hispanic | 286 (48.15) | 308 (51.85) | ||
| White | 836 (54.18) | 707 (45.82) | ||
| Black | 463 (50.99) | 445 (49.01) | ||
| Multiracial | 376 (53.71) | 324 (46.29) | ||
| Education Level | 0.001 | |||
| Elementary School | 303 (30.95) | 676 (69.05) | ||
| High School | 426 (43.83) | 546 (56.17) | ||
| Technical Education | 729 (53.76) | 627 (46.24) | ||
| University | 817 (69.59) | 357 (30.41) | ||
| Cholesterol | 0.044 | |||
| Normal | 1428 (52.21) | 1307 (47.79) | ||
| Borderline | 577 (48.00) | 625 (52.00) | ||
| High | 270 (49.63) | 274 (50.37) | ||
| Hypertension | 0.001 | |||
| Yes | 606 (42.05) | 835 (57.95) | ||
| No | 1669 (54.90) | 1371 (45.10) | ||
| BMI | 0.001 | |||
| Low | 41 (54.67) | 34 (45.33) | ||
| Normal | 677 (55.27) | 548 (44.73) | ||
| Overweight | 762 (51.66) | 713 (48.34) | ||
| Obese | 795 (46.60) | 911 (53.40) | ||
| Waist Circumference | 0.001 | |||
| Men Normal | 426 (59.41) | 291 (40.59) | ||
| Men at Risk | 696 (49.40) | 713 (50.60) | ||
| Women Normal | 183 (61.00) | 117 (39.00) | ||
| Women at Risk | 970 (47.20) | 1085 (52.80) | ||
| Thyroid Disease | 0.001 | |||
| Yes | 202 (43.16) | 266 (56.84) | ||
| No | 2073 (51.66) | 1940 (48.34) | ||
| Variables | Prediabetes | p | ||
|---|---|---|---|---|
| YES | NO | |||
| n (%) | n (%) | |||
| n = 1150 | n = 3331 | |||
| 25.66% | 74.34% | |||
| 2015–2016 | ||||
| Work Physical Activity | 0.022 | |||
| Yes | 466 (23.96) | 1479 (76.04) | ||
| No | 684 (26.97) | 1852 (73.03) | ||
| Recreational Physical Activity | 0.001 | |||
| Yes | 478 (21.01) | 1797 (78.99) | ||
| No | 672 (30.46) | 1534 (69.54) | ||
| Gender | 0.979 | |||
| Males | 546 (25.68) | 1580 (74.32) | ||
| Females | 604 (25.65) | 1751 (74.35) | ||
| Age | 0.001 | |||
| 18–64 Years | 712 (20.13) | 2825 (79.87) | ||
| >65 Years | 438 (46.40) | 506 (53.60) | ||
| Ethnic Group | 0.001 | |||
| Mexican | 205 (27.85) | 531 (72.15) | ||
| Hispanic | 160 (26.94) | 434 (73.06) | ||
| White | 319 (20.67) | 1224 (79.33) | ||
| Black | 313 (34.47) | 595 (65.53) | ||
| Multiracial | 153 (21.86) | 547 (78.14) | ||
| Education Level | 0.001 | |||
| Elementary School | 318 (32.48) | 661 (67.52) | ||
| High School | 268 (27.57) | 704 (72.43) | ||
| Technical Education | 312 (23.01) | 1044 (76.99) | ||
| University | 252 (21.47) | 922 (78.53) | ||
| Cholesterol | 0.001 | |||
| Normal | 643 (23.51) | 2092 (76.49) | ||
| Borderline | 340 (28.29) | 862 (71.71) | ||
| High | 167 (30.70) | 377 (69.30) | ||
| Hypertension | 0.001 | |||
| Yes | 610 (42.33) | 831 (57.67) | ||
| No | 540 (17.76) | 2500 (82.24) | ||
| BMI | 0.001 | |||
| Low | 10 (13.33) | 65 (86.67) | ||
| Normal | 192 (15.67) | 1033 (84.33) | ||
| Overweight | 382 (25.90) | 1093 (74.10) | ||
| Obese | 566 (33.18) | 1140 (66.82) | ||
| Waist Circumference | 0.001 | |||
| Men Normal | 114 (15.90) | 603 (84.10) | ||
| Men at Risk | 432 (30.66) | 977 (69.34) | ||
| Women Normal | 26 (8.67) | 274 (91.33) | ||
| Women at Risk | 578 (28.13) | 1477 (71.87) | ||
| Thyroid Disease | 0.001 | |||
| Yes | 968 (24.12) | 3045 (75.88) | ||
| No | 182 (38.89) | 286 (61.11) | ||
Publisher’s Note: MDPI stays neutral with regard to jurisdictional claims in published maps and institutional affiliations. |
© 2021 by the authors. Licensee MDPI, Basel, Switzerland. This article is an open access article distributed under the terms and conditions of the Creative Commons Attribution (CC BY) license (http://creativecommons.org/licenses/by/4.0/).
Share and Cite
Pazmino, L.; Esparza, W.; Aladro-Gonzalvo, A.R.; León, E. Impact of Work and Recreational Physical Activity on Prediabetes Condition among U.S. Adults: NHANES 2015–2016. Int. J. Environ. Res. Public Health 2021, 18, 1378. https://doi.org/10.3390/ijerph18041378
Pazmino L, Esparza W, Aladro-Gonzalvo AR, León E. Impact of Work and Recreational Physical Activity on Prediabetes Condition among U.S. Adults: NHANES 2015–2016. International Journal of Environmental Research and Public Health. 2021; 18(4):1378. https://doi.org/10.3390/ijerph18041378
Chicago/Turabian StylePazmino, Lenin, Wilmer Esparza, Arian Ramón Aladro-Gonzalvo, and Edgar León. 2021. "Impact of Work and Recreational Physical Activity on Prediabetes Condition among U.S. Adults: NHANES 2015–2016" International Journal of Environmental Research and Public Health 18, no. 4: 1378. https://doi.org/10.3390/ijerph18041378
APA StylePazmino, L., Esparza, W., Aladro-Gonzalvo, A. R., & León, E. (2021). Impact of Work and Recreational Physical Activity on Prediabetes Condition among U.S. Adults: NHANES 2015–2016. International Journal of Environmental Research and Public Health, 18(4), 1378. https://doi.org/10.3390/ijerph18041378

