Revealing Soil and Tree Leaves Deposited Particulate Matter PTE Relationship and Potential Sources in Urban Environment
Abstract
:1. Introduction
2. Materials and Methods
2.1. Study Sites
2.2. Sampling
2.3. Analytic Methods
2.4. Tree Leaves Dust Load Estimation
2.5. Data Analysis and Geochemical Mapping
3. Results and Discussion
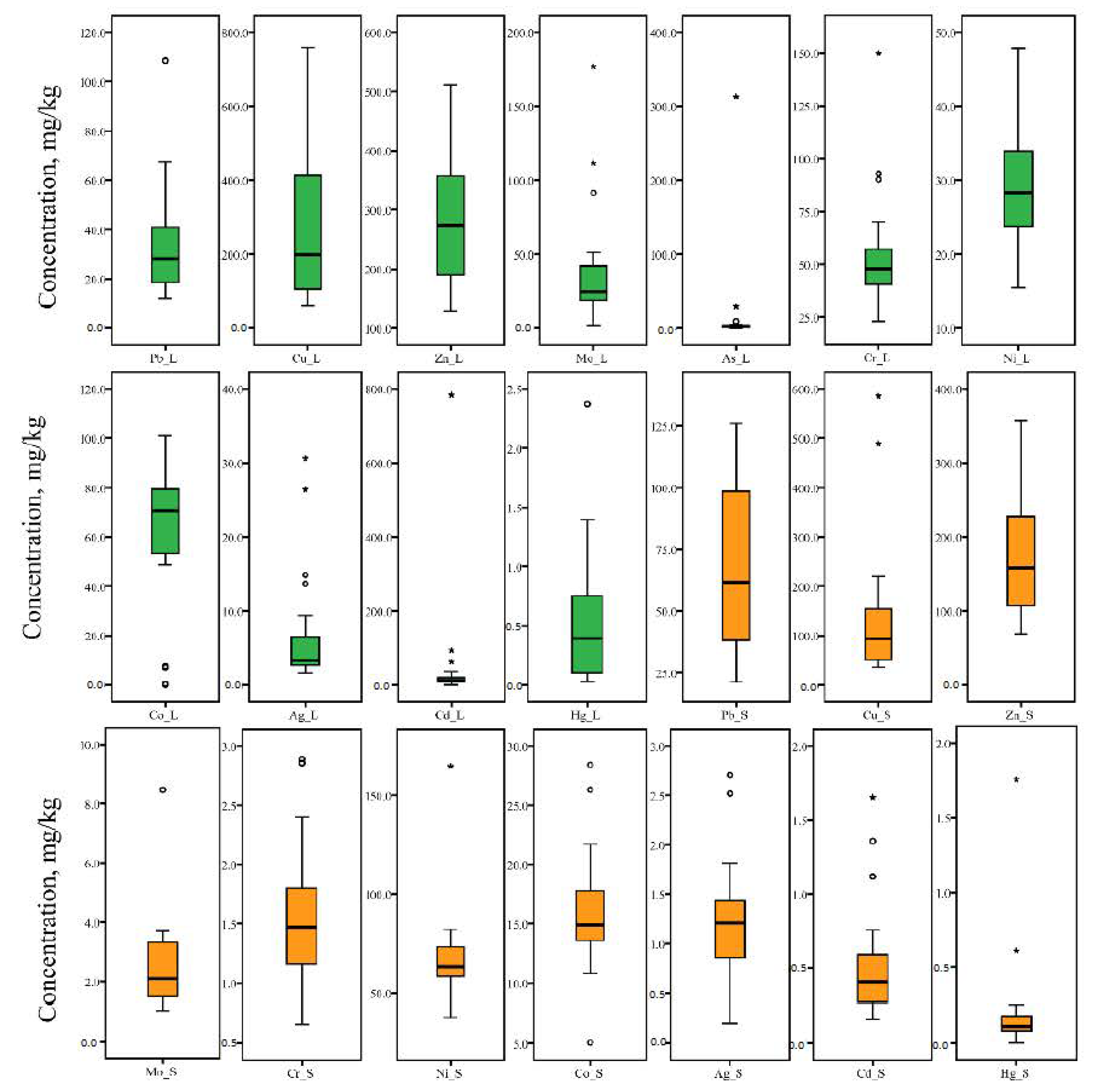
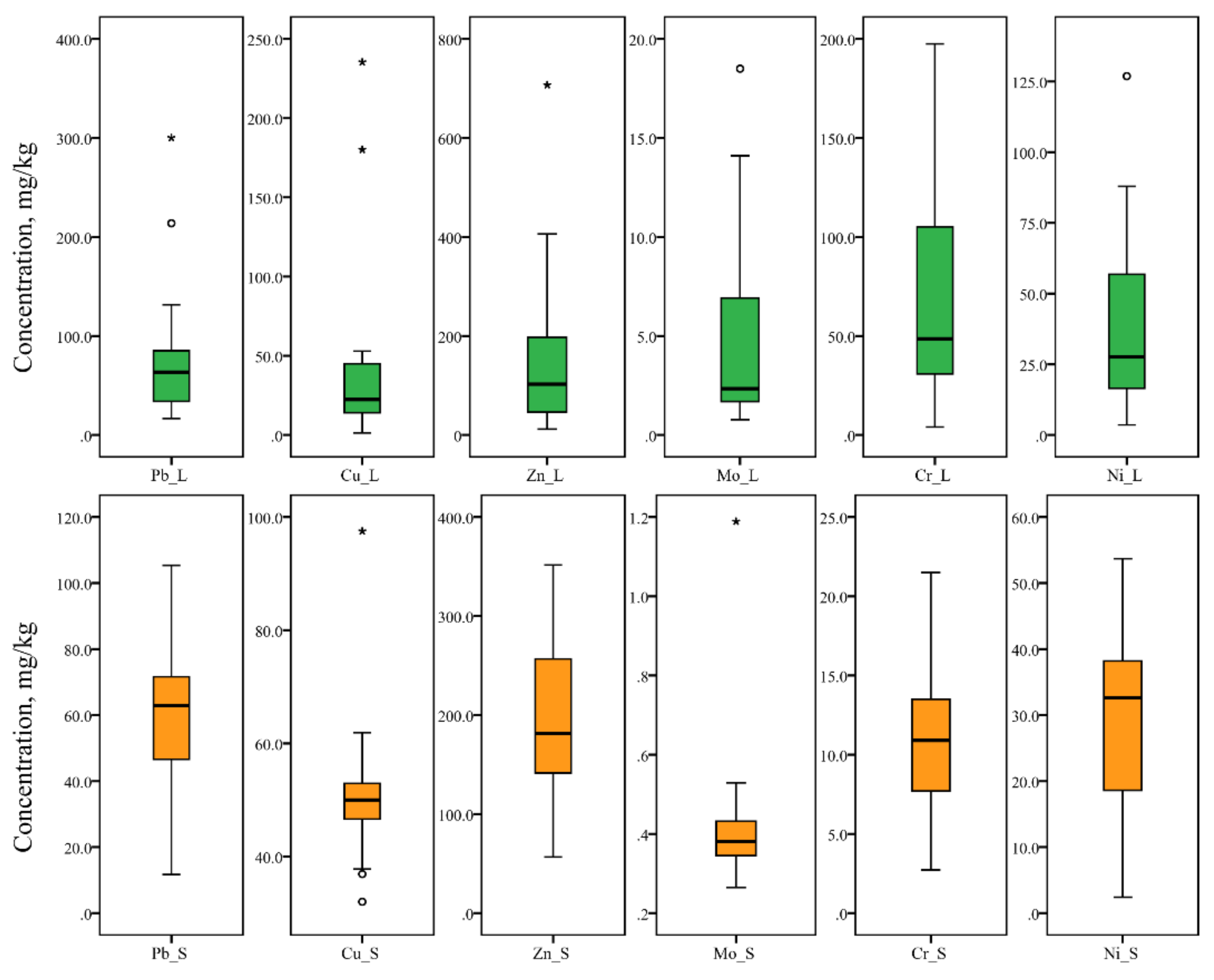
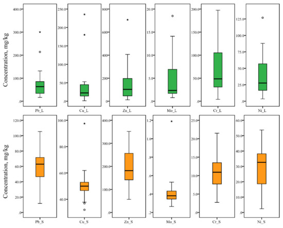
3.1. Data Analyses and PTE Contents
3.2. Correlation Analysis of PTE Concentration
3.3. Total PM Load (TPML) and Plant Species
3.4. Principal Component Analysis (PCA)
4. Conclusions
Supplementary Materials
Author Contributions
Funding
Institutional Review Board Statement
Informed Consent Statement
Data Availability Statement
Conflicts of Interest
Availability Data and Materials
References
- United Nations. World Urbanization Prospects: The 2018 Revision; UN: New York, NY, USA, 2019; ISBN 9789211483192. [Google Scholar]
- Johnson, C.C.; Demetriades, A.; Locutura, J.; Ottesen, R.T. Mapping the Chemical Environment of Urban Areas; John Wiley & Sons, Ltd.: Hoboken, NJ, USA, 2011; ISBN 9788578110796. [Google Scholar]
- Revich, B.A.; Smirnova, R.S.; Sorokina, E.P. Methodological Guidance for Geochemical Assessment of Polluted Sites by Chemical Elements; IMGRE: Los Angeles, CA, USA, 1982. [Google Scholar]
- Reiman, C.; Ladenberger, A. EuroGeoSurveys’ Geochemical Soil Mapping of Europe. Geosciences 2014, 18, 90–95. [Google Scholar]
- Aksoy, A.; Demirezen, D. Fraxinus excelsior as a biomonitor of heavy metal pollution. Pol. J. Environ. Stud. 2006, 15, 27–33. [Google Scholar]
- Beckett, K.P.; Freer-Smith, P.H.; Taylor, G. Particulate pollution capture by urban trees: Effect of species and windspeed. Glob. Chang. Biol. 2000, 6, 995–1003. [Google Scholar] [CrossRef]
- Corada, K.; Woodward, H.; Alaraj, H.; Collins, C.M.; de Nazelle, A. A systematic review of the leaf traits considered to contribute to removal of airborne particulate matter pollution in urban areas. Environ. Pollut. 2021, 269, 116104. [Google Scholar] [CrossRef]
- Dadea, C.; Russo, A.; Tagliavini, M.; Mimmo, T.; Zerbe, S. Tree species as tools for biomonitoring and phytoremediation in urban environments: A review with special regard to heavy metals. Arboric. Urban For. 2017, 43, 155–167. [Google Scholar]
- Muhammad, S.; Wuyts, K.; Samson, R. Immobilized atmospheric particulate matter on leaves of 96 urban plant species. Environ. Sci. Pollut. Res. 2020, 27, 36920–36938. [Google Scholar] [CrossRef]
- Sgrigna, G.; Baldacchini, C.; Dreveck, S.; Cheng, Z.; Calfapietra, C. Relationships between air particulate matter capture efficiency and leaf traits in twelve tree species from an Italian urban-industrial environment. Sci. Total Environ. 2020, 718, 137310. [Google Scholar] [CrossRef]
- Weerakkody, U.; Dover, J.W.; Mitchell, P.; Reiling, K. Quantification of the traffic-generated particulate matter capture by plant species in a living wall and evaluation of the important leaf characteristics. Sci. Total Environ. 2018, 635, 1012–1024. [Google Scholar] [CrossRef]
- Weerakkody, U.; Dover, J.W.; Mitchell, P.; Reiling, K. Evaluating the impact of individual leaf traits on atmospheric particulate matter accumulation using natural and synthetic leaves. Urban For. Urban Green. 2018, 30, 98–107. [Google Scholar] [CrossRef]
- Ysebaert, T.; Koch, K.; Samson, R.; Denys, S. Green walls for mitigating urban particulate matter pollution—A review. Urban For. Urban Green. 2021, 59, 127014. [Google Scholar] [CrossRef]
- Connecting Nature. Connecting Nature: Bringing Cities to Life, Bringing Life into Cities. Available online: https://connectingnature.eu/ (accessed on 30 August 2021).
- Mo, L.; Ma, Z.; Xu, Y.; Sun, F.; Lun, X.; Liu, X.; Chen, J.; Yu, X. Assessing the capacity of plant species to accumulate particulate matter in Beijing, China. PLoS ONE 2015, 10, e0140664. [Google Scholar] [CrossRef] [PubMed]
- Popek, R.; Gawrońska, H.; Wrochna, M.; Gawroński, S.W.; Sæbø, A. Particulate Matter on Foliage of 13 Woody Species: Deposition on Surfaces and Phytostabilisation in Waxes—A 3-Year Study. Int. J. Phytoremediat. 2013, 15, 245–256. [Google Scholar] [CrossRef]
- Xu, Y.; Xu, W.; Mo, L.; Heal, M.R.; Xu, X.; Yu, X. Quantifying particulate matter accumulated on leaves by 17 species of urban trees in Beijing, China. Environ. Sci. Pollut. Res. 2018, 25, 12545–12556. [Google Scholar] [CrossRef] [Green Version]
- Chen, L.; Liu, C.; Zhang, L.; Zou, R.; Zhang, Z. Variation in Tree Species Ability to Capture and Retain Airborne Fine Particulate Matter (PM2.5). Sci. Rep. 2017, 7, 1–11. [Google Scholar] [CrossRef] [PubMed]
- Muhammad, S.; Wuyts, K.; Samson, R. Atmospheric net particle accumulation on 96 plant species with contrasting morphological and anatomical leaf characteristics in a common garden experiment. Atmos. Environ. 2019, 202, 328–344. [Google Scholar] [CrossRef]
- Ristorini, M.; Baldacchini, C.; Massimi, L.; Sgrigna, G.; Calfapietra, C. Innovative characterization of particulate matter deposited on urban vegetation leaves through the application of a chemical fractionation procedure. Int. J. Environ. Res. Public Health 2020, 17, 5717. [Google Scholar] [CrossRef]
- Baldacchini, C.; Sgrigna, G.; Clarke, W.; Tallis, M.; Calfapietra, C. An ultra-spatially resolved method to quali-quantitative monitor particulate matter in urban environment. Environ. Sci. Pollut. Res. 2019, 26, 18719–18729. [Google Scholar] [CrossRef] [PubMed]
- NSSRA: National Statistical Service of Republic of Armenia. Available online: http://armstat.am/en/ (accessed on 13 March 2018).
- Saghatelyan, A.K. Peculiarities of Heavy Metal Distribution on the Territory of Armenia; CENS NAS RA: Yerevan, Armenia, 2004. [Google Scholar]
- Nalbandyan, M.A.; Saghatelyan, A.K. Ecotoxicological characteristic of Yerevan environment pollution. In Ecotoxicological Assessment of Pollution Risk of the Caucasus’ Environment; CENS NAS RA: Yerevan, Armenia, 2002; pp. 166–171. [Google Scholar]
- Saghatelyan, A.K.; Arevshatyan, S.H.; Sahakyan, L.V. Ecological-geochemical assessment of heavy metal pollution of the territory of Yerevan. Electron. J. Nat. Sci. NAS RA 2003, 1, 36–41. [Google Scholar]
- Sahakyan, L.V. The assessment of heavy metal stream in the air basin of Yerevan. Chin. J. Geochem. 2006, 25, 95–96. [Google Scholar] [CrossRef]
- Sahakyan, L.V. Peculiarities of the dynamics of Yerevan soil pollution with heavy metals (Ag, Pb, Cu, Zn, Ni, Co, Cr, Mo). Proc. Environ. Sci. 2008, 37, 474–482. [Google Scholar]
- Tepanosyan, G.; Sahakyan, L.; Belyaeva, O.; Saghatelyan, A. Origin identification and potential ecological risk assessment of potentially toxic inorganic elements in the topsoil of the city of Yerevan, Armenia. J. Geochem. Explor. 2016, 167, 1–11. [Google Scholar] [CrossRef]
- ZCMC, Zangezur Copper Molybdenum Combine. Available online: http://www.zcmc.am/ (accessed on 21 October 2019).
- Baghdasaryan, A.B. Armenian SSR Climate. 1958. [Google Scholar]
- Vardanyan, M.; Valesyan, L. National Atlas of Armenia; State Committee of the Real Estate Cadastre of the Republic of Armenia: Yerevan, Armenia, 2007. [Google Scholar]
- Tepanosyan, G.; Sahakyan, L.; Kafyan, M.; Saghatelyan, A. Geospatial mapping, source identification and human health risk assessment of heavy metals in soils of Gyumri (Armenia). In Proceedings of the 15th International Conference on Environmental Science and Technology, Rhodes, Greece, 31 August–2 September 2017; p. 489. [Google Scholar]
- Miller, L.P. Measuring Leaf or Algae Blade Area in a Digital Photo with ImageJ. Available online: https://lukemiller.org/index.php/2011/08/measuring-leaf-or-algae-blade-area-in-a-digital-photo-with-imagej/ (accessed on 30 August 2021).
- ISO. Soil Quality—Pretreatment of Samples for Physio-Chemical Analysis; ISO 11464; ISO: Geneva, Switzerland, 2006; Volume 2006. [Google Scholar]
- Reiman, C.; Filzmoser, P.; Garrett, R.G.; Dutter, R. Statistical Data Analysis Explained: Applied Environmental Statistics with R.; John Wiley & Sons, Ltd.: Hoboken, NJ, USA, 2008. [Google Scholar]
- Chabukdhara, M.; Nema, A.K. Heavy metals assessment in urban soil around industrial clusters in Ghaziabad, India: Probabilistic health risk approach. Ecotoxicol. Environ. Saf. 2013, 87, 57–64. [Google Scholar] [CrossRef] [PubMed]
- Guo, G.; Wu, F.; Xie, F.; Zhang, R. Spatial distribution and pollution assessment of heavy metals in urban soils from southwest China. J. Environ. Sci. 2012, 24, 410–418. [Google Scholar] [CrossRef]
- Sun, Y.; Zhou, Q.; Xie, X.; Liu, R. Spatial, sources and risk assessment of heavy metal contamination of urban soils in typical regions of Shenyang, China. J. Hazard. Mater. 2010, 174, 455–462. [Google Scholar] [CrossRef] [PubMed]
- Yuan, G.-L.; Sun, T.-H.; Han, P.; Li, J.; Lang, X.-X. Source identification and ecological risk assessment of heavy metals in topsoil using environmental geochemical mapping: Typical urban renewal area in Beijing, China. J. Geochem. Explor. 2014, 136, 40–47. [Google Scholar] [CrossRef]
- Christoforidis, A.; Stamatis, N. Heavy metal contamination in street dust and roadside soil along the major national road in Kavala’s region, Greece. Geoderma 2009, 151, 257–263. [Google Scholar] [CrossRef]
- Acosta, J.A.; Gabarrón, M.; Faz, A.; Martínez-Martínez, S.; Zornoza, R.; Arocena, J.M. Influence of population density on the concentration and speciation of metals in the soil and street dust from urban areas. Chemosphere 2015, 134, 328–337. [Google Scholar] [CrossRef]
- Bradl, H.B.; Heike, B. Heavy Metals in the Environment: Origin, Interaction and Remediation; Elsevier Academic Press: Amsterdam, The Netherlands, 2005; ISBN 9780080455006. [Google Scholar]
- Kabata-Pendias, A.; Pendias, K. Trace Elements in Soils and Plants; Taylor & Francis Group, LLC.: Abingdon, UK, 2011; ISBN 0-8493-6639-9. [Google Scholar]





| Elements | Mean | St. Er. of Mean | Median | Min. | Max. | Skew. | CV, % |
|---|---|---|---|---|---|---|---|
| Yerevan leaves | |||||||
| Ni_L | 28.9 | 1.53 | 28.4 | 15.5 | 47.8 | 0.4 | 26 |
| Co_L | 61.5 | 6.06 | 70.6 | 0.1 | 101 | −1.1 | 48.3 |
| As_L | 16.3 | 13 | 1.98 | 0.035 | 313 | 4.8 | 390 |
| Ag_L | 6.56 | 1.56 | 3.34 | 1.56 | 30.6 | 2.3 | 116 |
| Hg_L | 0.546 | 0.119 | 0.394 | 0.03 | 2.37 | 1.6 | 106 |
| Cr_L | 54.2 | 5.35 | 48 | 23.1 | 150 | 2.4 | 48.3 |
| Pb_L | 32.3 | 4.31 | 28.3 | 12.1 | 108 | 2.3 | 65.3 |
| Mo_L | 1057 | 1017 | 27.4 | 1.54 | 24,456 | 4.9 | 472 |
| Cd_L | 50 | 32.2 | 12.1 | 0.088 | 783 | 4.8 | 315 |
| Zn_L | 280 | 23.5 | 274 | 129 | 511 | 0.6 | 41.1 |
| Cu_L | 288 | 47.6 | 198 | 60.2 | 758 | 0.9 | 81 |
| Yerevan soil | |||||||
| Ni_S | 68.2 | 4.66 | 63.2 | 38.2 | 164.7 | 3.4 | 33.5 |
| Co_S | 16 | 1.01 | 14.9 | 5.07 | 28.4 | 0.6 | 30.9 |
| Ag_S | 1.23 | 0.116 | 1.21 | 0.202 | 2.71 | 1 | 46.1 |
| Hg_S | 0.26 | 0.11 | 0.12 | 0.064 | 1.76 | 3.43 | 164 |
| Cr_S | 1.56 | 0.116 | 1.47 | 0.661 | 2.89 | 0.9 | 36.4 |
| Pb_S | 67.5 | 6.96 | 61.6 | 21.1 | 126 | 0.3 | 50.5 |
| Mo_S | 169 | 166 | 2.2 | 1.04 | 3986 | 4.9 | 483 |
| Cd_S | 0.512 | 0.077 | 0.407 | 0.16 | 1.65 | 1.8 | 74 |
| Zn_S | 175 | 16.8 | 158 | 68.8 | 357 | 0.7 | 47 |
| Cu_S | 132 | 27.8 | 94.1 | 36 | 586 | 2.5 | 103 |
| Gyumri leaves | |||||||
| Mo_L | 4.88 | 1.06 | 2.34 | 0.78 | 18.5 | 1.6 | 99.5 |
| Pb_L | 77.3 | 15.1 | 63.5 | 16.6 | 300 | 2.1 | 89.8 |
| Ni_L | 40.8 | 6.76 | 27.6 | 3.6 | 127 | 1.3 | 76 |
| Cr_L | 68.3 | 11.5 | 48.6 | 4.05 | 198 | 1.1 | 76.9 |
| Cu_L | 43.7 | 12.5 | 22.4 | 1.25 | 235 | 2.7 | 131 |
| Zn_L | 158 | 35.4 | 103 | 11.9 | 707 | 2.2 | 102 |
| Gyumri soils | |||||||
| Mo_S | 0.42 | 0.041 | 0.381 | 0.265 | 1.19 | 3.8 | 44.4 |
| Pb_S | 59.4 | 5.64 | 62.9 | 11.7 | 105 | −0.1 | 43.5 |
| Ni_S | 28.3 | 2.93 | 32.6 | 2.4 | 53.7 | −0.2 | 47.4 |
| Cr_S | 10.7 | 1.07 | 10.9 | 2.72 | 21.5 | 0.3 | 45.6 |
| Cu_S | 50.8 | 2.82 | 50 | 32 | 97.5 | 2.3 | 25.5 |
| Zn_S | 185 | 17.2 | 182 | 56.6 | 352 | 0.2 | 42.5 |
Publisher’s Note: MDPI stays neutral with regard to jurisdictional claims in published maps and institutional affiliations. |
© 2021 by the authors. Licensee MDPI, Basel, Switzerland. This article is an open access article distributed under the terms and conditions of the Creative Commons Attribution (CC BY) license (https://creativecommons.org/licenses/by/4.0/).
Share and Cite
Tepanosyan, G.; Baldacchini, C.; Sahakyan, L. Revealing Soil and Tree Leaves Deposited Particulate Matter PTE Relationship and Potential Sources in Urban Environment. Int. J. Environ. Res. Public Health 2021, 18, 10412. https://doi.org/10.3390/ijerph181910412
Tepanosyan G, Baldacchini C, Sahakyan L. Revealing Soil and Tree Leaves Deposited Particulate Matter PTE Relationship and Potential Sources in Urban Environment. International Journal of Environmental Research and Public Health. 2021; 18(19):10412. https://doi.org/10.3390/ijerph181910412
Chicago/Turabian StyleTepanosyan, Gevorg, Chiara Baldacchini, and Lilit Sahakyan. 2021. "Revealing Soil and Tree Leaves Deposited Particulate Matter PTE Relationship and Potential Sources in Urban Environment" International Journal of Environmental Research and Public Health 18, no. 19: 10412. https://doi.org/10.3390/ijerph181910412
APA StyleTepanosyan, G., Baldacchini, C., & Sahakyan, L. (2021). Revealing Soil and Tree Leaves Deposited Particulate Matter PTE Relationship and Potential Sources in Urban Environment. International Journal of Environmental Research and Public Health, 18(19), 10412. https://doi.org/10.3390/ijerph181910412

