Equation for Tooth Size Prediction from Mixed Dentition Analysis for Taiwanese Population: A Pilot Study
Abstract
1. Introduction
2. Materials and Methods
2.1. Subjects
2.2. Sample Size Calculation
2.3. Inclusion and Exclusion Criteria
2.4. Experimental Procedure
2.5. Statistics
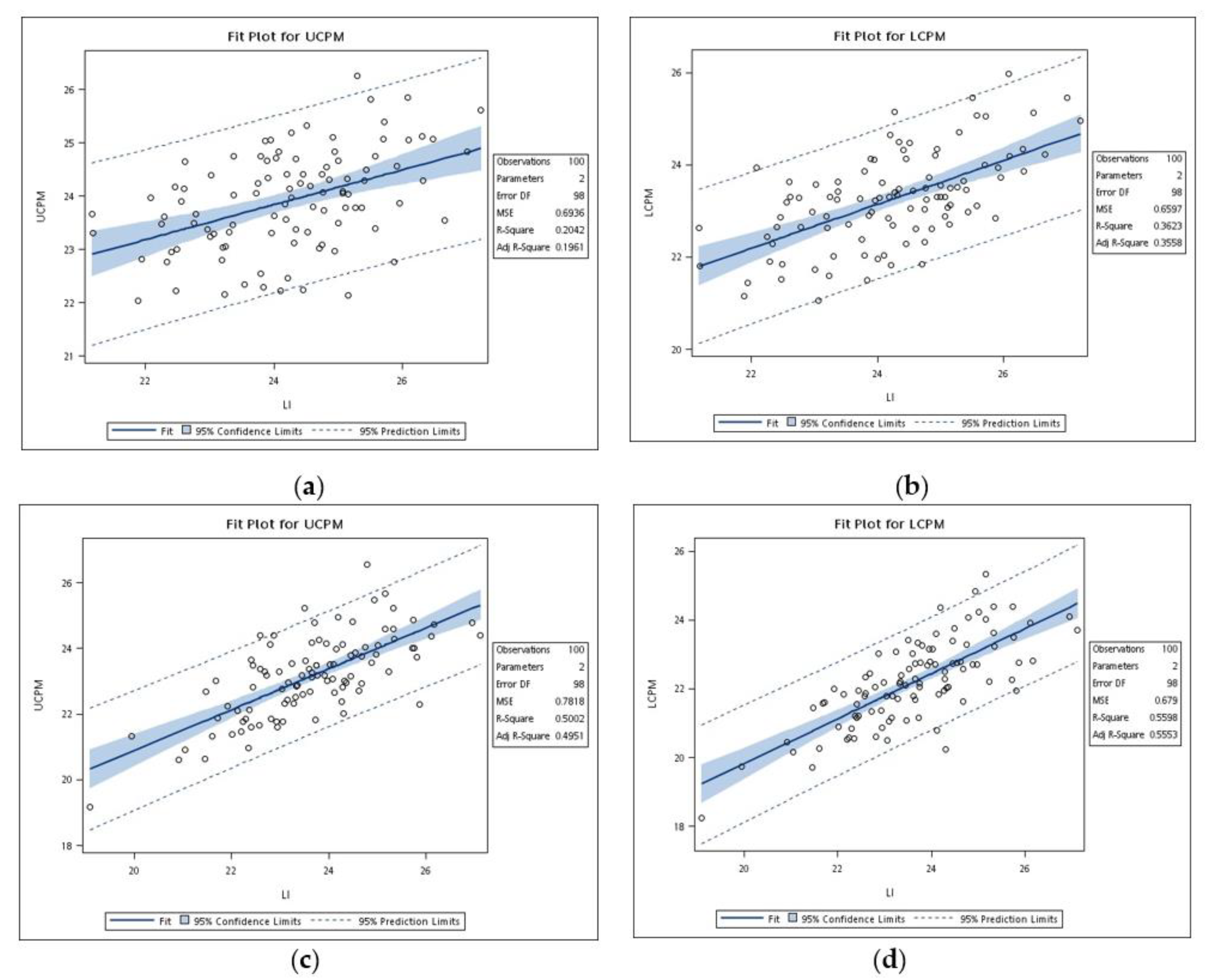
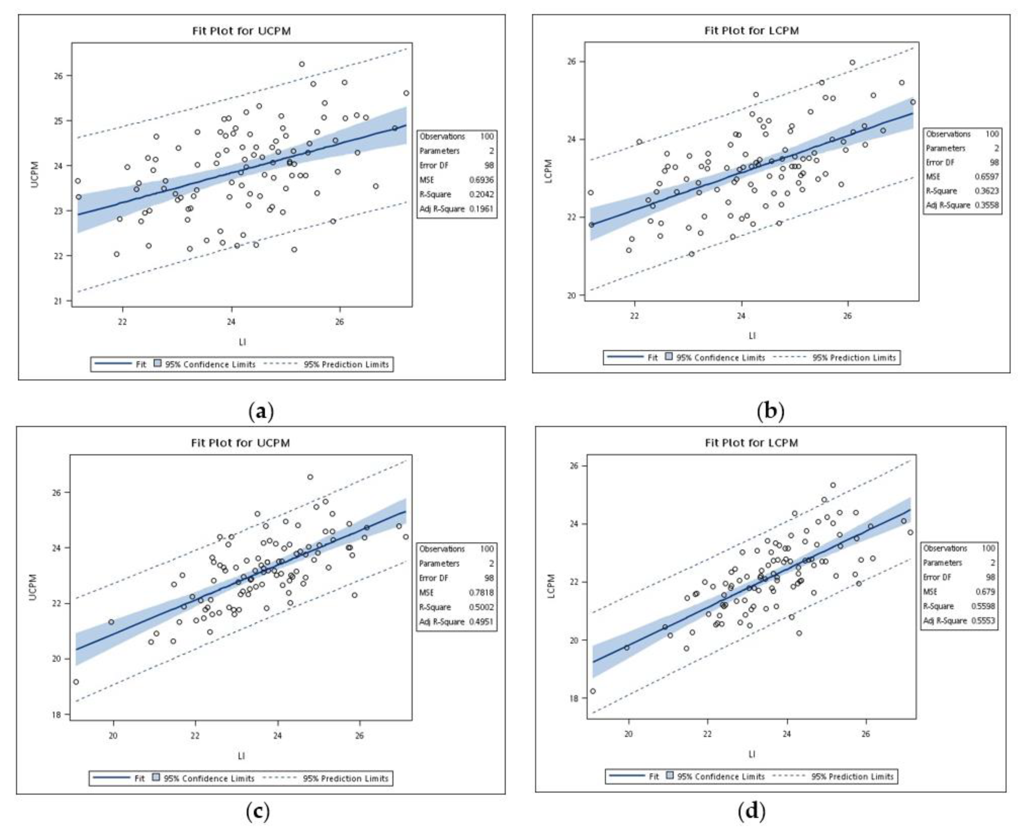
3. Results
4. Discussion
5. Conclusions
- Male
- Female
- (x = combined mesiodistal width of the lower incisors; y = combined mesiodistal width of canines and premolars)
Author Contributions
Funding
Institutional Review Board Statement
Informed Consent Statement
Data Availability Statement
Conflicts of Interest
References
- Araújo, E.A.; Buschang, P.H. Recognizing and Correcting Developing Malocclusions: A Problem-Oriented Approach to Orthodontics; Wiley: Hoboken, NJ, USA, 2016. [Google Scholar]
- Graber, L.W.; Vanarsdall, R.L.; Vig, K.W.L. Orthodontics—E-Book: Current Principles and Techniques; Elsevier Health Sciences: Amsterdam, The Netherlands, 2011. [Google Scholar]
- Al-Abdallah, M.; Sandler, J.; O’Brien, K. Is the Royal London Space Analysis Reliable and Does it Influence Orthodontic Treatment Decisions? Eur. J. Orthod. 2008, 30, 503–507. [Google Scholar] [CrossRef]
- Bahreman, A. Early-age Orthodontic Treatment; Quintessence: Batavia, IL, USA, 2013. [Google Scholar]
- Yuen, K.K.; Tang, E.L.; So, L.L. Mixed Dentition Analysis for Hong Kong Chinese. Angle Orthod. 1998, 68, 21–28. [Google Scholar] [PubMed]
- Cobourne, M.T.; DiBiase, A.T. Handbook of Orthodontics; Elsevier Health Sciences: Amsterdam, The Netherlands, 2015. [Google Scholar]
- Tanaka, M.M.; Johnston, L.E. The Prediction of the Size of Unerupted Canines and Premolars in a Contemporary Orthodontic Population. J. Am. Dent. Assoc. 1974, 88, 798–801. [Google Scholar] [CrossRef]
- Dean, J.A. McDonald and Avery’s Dentistry for the Child and Adolescent; Elsevier Health Sciences: Amsterdam, The Netherlands, 2021. [Google Scholar]
- Al-Khadra, B.H. Prediction of the size of unerupted canines and premolars in a Saudi Arab population. Am. J. Orthod. Dentofac. Orthop. 1993, 104, 369–372. [Google Scholar] [CrossRef]
- Bishara, S.E.; Jakobsen, J.R.; Abdallah, E.M.; Garcia, A.F. Comparisons of mesiodistal and buccolingual crown dimensions of the permanent teeth in three populations from Egypt, Mexico, and the United States. Am. J. Orthod. Dentofac. Orthop. 1989, 96, 416–422. [Google Scholar] [CrossRef]
- Otuyemi, O.D.; Noar, J.H. A comparison of crown size dimensions of the permanent teeth in a Nigerian and a British population. Eur. J. Orthod. 1996, 18, 623–628. [Google Scholar] [CrossRef] [PubMed]
- Al-Bitar, Z.B.; Al-Omari, I.K.; Sonbol, H.N.; Al-Ahmad, H.T.; Hamdan, A.M. Mixed dentition analysis in a Jordanian population. Angle Orthod. 2008, 78, 670–675. [Google Scholar] [CrossRef]
- Arslan, S.G.; Dildeş, N.; Kama, J.D.; Genç, C. Mixed-dentition analysis in a Turkish population. World J. Orthod. 2009, 10, 135–140. [Google Scholar] [PubMed]
- Hashim, H.A.; Al-Shalan, T.A. Prediction of the size of un-erupted permanent cuspids and bicuspids in a Saudi sample: A pilot study. J. Contemp. Dent Pract. 2003, 4, 40–53. [Google Scholar] [CrossRef]
- Jaroontham, J.; Godfrey, K. Mixed dentition space analysis in a Thai population. Eur. J. Orthod. 2000, 22, 127–134. [Google Scholar] [CrossRef]
- Durgekar, S.G.; Naik, V. Evaluation of Moyers mixed dentition analysis in school children. Indian J. Dent. Res. 2009, 20, 26–30. [Google Scholar] [CrossRef]
- Memon, S.; Fida, M. Comparison of three mixed dentition analysis methods in orthodontic patients at AKUH. J. Coll. Physicians Surg. Pak. 2010, 20, 533–537. [Google Scholar] [PubMed]
- Tome, W.; Ohyama, Y.; Yagi, M.; Takada, K. Demonstration of a sex difference in the predictability of widths of unerupted permanent canines and premolars in a Japanese population. Angle Orthod. 2011, 81, 938–944. [Google Scholar] [CrossRef] [PubMed]
- Legović, M.; Novosel, A.; Legović, A. Regression equations for determining mesiodistal crown diameters of canines and premolars. Angle Orthod. 2003, 73, 314–318. [Google Scholar]
- Asiry, M.A.; Albarakati, S.F.; Al-Maflehi, N.S.; Sunqurah, A.A.; Almohrij, M.I. Is Tanaka-Johnston mixed dentition analysis an applicable method for a Saudi population? Saudi Med. J. 2014, 35, 988–992. [Google Scholar] [PubMed]
- Altherr, E.R.; Koroluk, L.D.; Phillips, C. Influence of sex and ethnic tooth-size differences on mixed-dentition space analysis. Am. J. Orthod. Dentofac. Orthop. 2007, 132, 332–339. [Google Scholar] [CrossRef] [PubMed]
- Thimmegowda, U.; Niwlikar, K.B.; Khare, V.; Prabhakar, A.C. Applicability of Tanaka Jhonston Method and Prediction of Mesiodistal Width of Canines and Premolars in Children. J. Clin. Diagn. Res. 2017, 11, ZC16–ZC19. [Google Scholar] [CrossRef] [PubMed]
- Sonahita, A.; Dharma, R.M.; Dinesh, M.R.; Amarnath, B.C.; Prashanth, C.S.; Akshai, S.; Sathyadeep, V. Applicability of two methods of mixed dentition analysis in a contemporary Indian population sample. Eur. J. Pediatric Dent. 2012, 13, 29–34. [Google Scholar]
- Nourallah, A.W.; Gesch, D.; Nabieh Khordaji, M.; Splieth, C. New regression equations for predicting the size of unerupted canines and premolars in a contemporary population. Angle Orthod. 2002, 72, 216–221. [Google Scholar]
- Vilella, O.D.V.; Assunção, P.S.D.; Assunção, R.L.D. The Tanaka-Johnston orthodontic analysis for Brazilian individuals. Rev. Odonto Ciência 2012, 27, 16–19. [Google Scholar] [CrossRef]
- Toodehzaeim, M.H.; Haerian, A.; Alesaeidi, A. Prediction of Mesiodistal Width of Unerupted Lateral Incisors, Canines and Premolars in Orthodontic Patients in Early Mixed Dentition Period. J. Dent. 2016, 13, 383–387. [Google Scholar]
- Ling, J.Y.; Wong, R.W. Tanaka-Johnston mixed dentition analysis for southern Chinese in Hong Kong. Angle Orthod. 2006, 76, 632–636. [Google Scholar] [PubMed]
- Bishara, S.E.; Staley, R.N. Mixed-dentition mandibular arch length analysis: A step-by-step approach using the revised Hixon-Oldfather prediction method. Am. J. Orthod. 1984, 86, 130–135. [Google Scholar] [CrossRef]
- Hammad, S.M.; Abdellatif, A.M. Mixed dentition space analysis in Egyptian children. Pediatric Dent. J. 2010, 20, 115–121. [Google Scholar] [CrossRef]
- Kim, H.-Y. Statistical Notes for Clinical Researchers: Evaluation of Measurement Error 2: Dahlberg’s Error, Bland-Altman Method, and Kappa Coefficient. Restor. Dent. Endod. 2013, 38, 182–185. [Google Scholar] [CrossRef]
- Arif, A.N.; Rasheed, T.A.; Ali, A.J. Dental crowding and its relationship to tooth size and arch dimensions. J. Nat. Sci. Res. 2014, 4, 113–136. [Google Scholar]
- Perillo, L.; Padricelli, G.; Isola, G.; Femiano, F.; Chiodini, P.; Mataresei, G. Class II malocclusion division 1: A new classification method by cephalometric analysis. Eur. J. Pediatric Dent. 2012, 13, 192–196. [Google Scholar]
- Perillo, L.; Isola, G.; Esercizio, D.; Iovane, M.; Triolo, G.; Matarese, G. Differences in craniofacial characteristics in Southern Italian children from Naples: A retrospective study by cephalometric analysis. Eur. J. Pediatric Dent. 2013, 14, 195–198. [Google Scholar]
- Melgaço, C.A.; Araújo, M.T.; Ruellas, A.C.O. Applicability of Three Tooth Size Prediction Methods for White Brazilians. Angle Orthod. 2006, 76, 644–649. [Google Scholar]
- Flores-Mir, C.; Rosenblatt, M.R.; Major, P.W.; Carey, J.P.; Heo, G. Measurement accuracy and reliability of tooth length on conventional and CBCT reconstructed panoramic radiographs. Dent. Press J. Orthod. 2014, 19, 45–53. [Google Scholar] [CrossRef]
- Peluso, M.J.; Josell, S.D.; Levine, S.W.; Lorei, B.J. Digital models: An introduction. Semin. Orthod. 2004, 10, 226–238. [Google Scholar] [CrossRef]
- Correia, G.D.C.; Habib, F.A.L.; Vogel, C.J. Tooth-size discrepancy: A comparison between manual and digital methods. Dent. Press J. Orthod. 2014, 19, 107–113. [Google Scholar] [CrossRef] [PubMed][Green Version]
- Fleming, P.S.; Marinho, V.; Johal, A. Orthodontic measurements on digital study models compared with plaster models: A systematic review. Orthod. Craniofac. Res. 2011, 14, 1–16. [Google Scholar] [CrossRef]
- Ahluwalia, P.; Jodhka, S.; Thomas, A.M. Prediction of Mesio-distal width of Canines and premolars in a sample of north Indian population. Indian J. Dent. Adv. 2011, 3, 568–571. [Google Scholar] [CrossRef]
- Ling, Y.-K. A Morphometric Study of the Dentition of 12 Year old Chinese children in Hong Kong. Ph.D. Thesis, The University of Hong Kong, Hong Kong, China, 1992. [Google Scholar]
- Moyers, R.E. Handbook of Orthodontics for the Student and General Practitioner; Year Book Medical Publishers: Maryland Heights, MO, USA, 1973. [Google Scholar]
- Ballard, M.L.; Wylie, W.L. Mixed Dentition Case Analysis-Estimating Size of Unerupted Permanent Teeth. Am. J. Orthod. Oral Surg. 1947, 33, 754–759. [Google Scholar] [CrossRef]
- Staley, R.N.; Hoag, J.F. Prediction of the mesiodistal widths of maxillary permanent canines and premolars. Am. J. Orthod. 1978, 73, 169–177. [Google Scholar] [CrossRef]
- Frankel, H.H.; Benz, E.M. Mixed dentition analysis for black Americans. Pediatric Dent. 1986, 8, 226–230. [Google Scholar]
- Adnani, I.Q.; Shahid, F.; Zaman, S.; Ahmed, F.; Saleem, M. Application of Moyer’s prediction table in a sample of Karachi population. Pak. Orthod. J. 2011, 3, 16–20. [Google Scholar]
= p < 0.05; UCPM = combined mesiodistal width of the upper canines and premolars; LCPM = combined mesiodistal width of the lower canines and premolars).
= p < 0.05; UCPM = combined mesiodistal width of the upper canines and premolars; LCPM = combined mesiodistal width of the lower canines and premolars).


| Gender | Mean Age (Years Old) | n |
|---|---|---|
| Males | 19.3 ± 5.6 | 100 |
| Females | 20.1 ± 7.0 | 100 |
| Teeth | Male | Female |
|---|---|---|
| 13, 23 | 8.47 ± 0.37 | 8.14 ± 0.43 * |
| 14, 24 | 7.97 ± 0.35 | 7.69 ± 0.48 * |
| 15, 25 | 7.48 ± 0.39 | 7.30 ± 0.48 * |
| 31, 41 | 5.77 ± 0.35 | 5.60 ± 0.34 * |
| 32, 42 | 6.35 ± 0.35 | 6.23 ± 0.40 * |
| 33, 43 | 7.50 ± 0.38 | 7.01 ± 0.40 * |
| 34, 44 | 7.92 ± 0.35 | 7.61 ± 0.44 * |
| 35, 45 | 7.84 ± 0.45 | 7.59 ± 0.51 * |
| Arch | Actual Tooth Size | Tanaka–Johnston Analysis |
|---|---|---|
| Upper | ||
| CPM (M + F) | 23.54 ± 1.16 | 22.97 ± 0.69 * |
| Lower | ||
| CPM (M + F) | 22.73 ± 1.24 | 22.47 ± 0.69 * |
| Upper | ||
| CPM (M) | 23.92 ± 0.92 | 23.11 ± 0.64 * |
| Lower | ||
| CPM (M) | 23.25 ± 1.01 | 22.61 ± 0.64 * |
| Upper | ||
| CPM (F) | 23.16 ± 1.24 | 22.82 ± 0.70 * |
| Lower | ||
| CPM (F) | 22.21 ± 1.23 | 22.32 ± 0.70 |
| Group | Arch | r | a | b | SEE | r2 | |
|---|---|---|---|---|---|---|---|
| Male + Female | Upper | 0.63 | 10.94 | 0.53 | 0.90 | 0.39 | * |
| Lower | 0.70 | 7.68 | 0.63 | 0.90 | 0.49 | * | |
| Male | Upper | 0.45 | 15.99 | 0.33 | 0.83 | 0.20 | * |
| Lower | 0.60 | 11.75 | 0.47 | 0.81 | 0.36 | * | |
| Female | Upper | 0.71 | 8.42 | 0.62 | 0.88 | 0.50 | * |
| Lower | 0.75 | 6.73 | 0.65 | 0.82 | 0.56 | * |
| Arch | Group | Equation |
|---|---|---|
| Upper | Male | Y = 15.99 + 0.33X |
| Female | Y = 8.42 + 0.62X | |
| Lower | Male | Y = 11.75 + 0.47X |
| Female | Y = 6.73 + 0.65X |
| Study | Y | r | a | b | SEE | r2 |
|---|---|---|---|---|---|---|
| Taiwan, 2021 | Md-M | 0.60 | 11.75 | 0.47 | 0.81 | 0.36 |
| Mx-M | 0.45 | 15.99 | 0.33 | 0.83 | 0.20 | |
| Md-F | 0.75 | 6.73 | 0.65 | 0.82 | 0.56 | |
| Mx-F | 0.71 | 8.42 | 0.62 | 0.88 | 0.50 | |
| North America, 1974 [7] | Md | 0.65 | 9.18 | 0.54 | 0.85 | 0.42 |
| Mx | 0.63 | 10.41 | 0.51 | 0.86 | 0.40 | |
| Hong Kong, 1998 [5] | Md-M | 0.77 | 8.82 | 0.58 | 0.61 | 0.60 |
| Mx-M | 0.79 | 7.97 | 0.66 | 0.68 | 0.62 | |
| Md-F | 0.69 | 6.66 | 0.64 | 0.82 | 0.47 | |
| Mx-F | 0.65 | 8.30 | 0.61 | 0.81 | 0.42 | |
| Turkey, 2009 [13] | Md-M | 0.98 | 4.51 | 0.71 | 0.01 | 0.96 |
| Mx-M | 0.98 | 5.32 | 0.71 | 0.01 | 0.96 | |
| Md-F | 0.97 | 4.17 | 0.73 | 0.02 | 0.94 | |
| Mx-F | 0.96 | 3.82 | 0.78 | 0.02 | 0.91 | |
| Karachi, 2011 [45] | Md-M | 0.54 | 12.09 | 0.44 | 0.84 | 0.29 |
| Mx-M | 0.71 | 11.14 | 0.48 | 0.58 | 0.51 | |
| Md-F | 0.88 | 6.65 | 0.65 | 0.55 | 0.77 | |
| Mx-F | 0.88 | 10.22 | 0.51 | 0.42 | 0.77 |
Publisher’s Note: MDPI stays neutral with regard to jurisdictional claims in published maps and institutional affiliations. |
© 2021 by the authors. Licensee MDPI, Basel, Switzerland. This article is an open access article distributed under the terms and conditions of the Creative Commons Attribution (CC BY) license (https://creativecommons.org/licenses/by/4.0/).
Share and Cite
Chong, S.Y.; Aung, L.M.; Pan, Y.-H.; Chang, W.-J.; Tsai, C.-Y. Equation for Tooth Size Prediction from Mixed Dentition Analysis for Taiwanese Population: A Pilot Study. Int. J. Environ. Res. Public Health 2021, 18, 6356. https://doi.org/10.3390/ijerph18126356
Chong SY, Aung LM, Pan Y-H, Chang W-J, Tsai C-Y. Equation for Tooth Size Prediction from Mixed Dentition Analysis for Taiwanese Population: A Pilot Study. International Journal of Environmental Research and Public Health. 2021; 18(12):6356. https://doi.org/10.3390/ijerph18126356
Chicago/Turabian StyleChong, See Yen, Lwin Moe Aung, Yu-Hwa Pan, Wei-Jen Chang, and Chi-Yang Tsai. 2021. "Equation for Tooth Size Prediction from Mixed Dentition Analysis for Taiwanese Population: A Pilot Study" International Journal of Environmental Research and Public Health 18, no. 12: 6356. https://doi.org/10.3390/ijerph18126356
APA StyleChong, S. Y., Aung, L. M., Pan, Y.-H., Chang, W.-J., & Tsai, C.-Y. (2021). Equation for Tooth Size Prediction from Mixed Dentition Analysis for Taiwanese Population: A Pilot Study. International Journal of Environmental Research and Public Health, 18(12), 6356. https://doi.org/10.3390/ijerph18126356

