Regenerative Therapy Modality for Treatment of True Combined Endodontic-Periodontal Lesions: A Randomized Controlled Clinical Trial
Abstract
1. Introduction
2. Materials and Methods
2.1. Ethical Approval, Study Population, and Design
2.2. Screening and Treatment Visits’ Sequence:
2.3. Endodontic Treatment
2.4. Bone Grafting Surgical Procedure
2.5. Follow Up Visits
2.6. Radiographic Evaluation
2.7. Statistical Analysis
3. Results
4. Discussion
5. Conclusions
Author Contributions
Funding
Institutional Review Board Statement
Informed Consent Statement
Data Availability Statement
Acknowledgments
Conflicts of Interest
References
- Verma, P.K.; Srivastava, R.; Gupta, K.; Srivastava, A. Combined endodontic-Periodontal lesion: A clinical dilemma. J. Interdiscip. Dent. 2011, 1, 119. [Google Scholar] [CrossRef]
- Makeeva, M.K.; Daurova, F.Y.; Byakova, S.F.; Turkina, A.Y. Treatment of an Endo-Perio Lesion with Ozone Gas in a Patient with Aggressive Periodontitis: A Clinical Case Report and Literature Review. Clin. Cosmet. Investig. Dent. 2020, 12, 447–464. [Google Scholar] [CrossRef] [PubMed]
- Oktawati, S.; Siswanto, H.; Mardiana, A.; Supiaty; Neormansyah, I.; Basir, I. Endodontic–periodontic lesion management: A systematic review. Medicina Clínica Práctica 2020, 3, 100098. [Google Scholar] [CrossRef]
- Schmidt, J.C.; Walter, C.; Amato, M.; Weiger, R. Treatment of periodontal-endodontic lesions—A systematic review. J. Clin. Periodontol. 2014, 41, 779–790. [Google Scholar] [CrossRef] [PubMed]
- Kuoch, P.; Bonte, E. Endoperiodontal Lesions and Chicago’s New Classification of Periodontal and Peri-implant Diseases and Conditions. J. Contemp. Dent. Pr. 2020, 21, 798–802. [Google Scholar] [CrossRef]
- Herrera, D.; Retamal-Valdes, B.; Alonso, B.; Feres, M. Acute periodontal lesions (periodontal abscesses and necrotizing periodontal diseases) and endo-periodontal lesions. J. Periodontol. 2018, 89 (Suppl. 1), S85–S102. [Google Scholar] [CrossRef]
- Jivoinovici, R.; Suciu, I.; Dimitriu, B.; Perlea, P.; Bartok, R.; Malita, M.; Ionescu, C. Endo-periodontal lesion—Endodontic approach. J. Med. Life 2014, 7, 542–544. [Google Scholar]
- Rotstein, I.; Simon, J.H.S. Diagnosis, prognosis and decision-making in the treatment of combined periodontal-endodontic lesions. Periodontol. 2000 2004, 34, 165–203. [Google Scholar] [CrossRef] [PubMed]
- Kambale, S.; Aspalli, N.; Munavalli, A.; Ajgaonkar, N.; Babannavar, R. A sequential approach in treatment of endo-perio lesion a case report. J. Clin. Diagn. Res. 2014, 8, ZD22–ZD24. [Google Scholar] [CrossRef]
- Vishwanath, V.; Rao, H.M. Gutta-percha in endodontics-A comprehensive review of material science. J. Conserv. Dent. 2019, 22, 216–222. [Google Scholar] [CrossRef]
- Abusrewil, S.M.; McLean, W.; Scott, J.A. The use of Bioceramics as root-end filling materials in periradicular surgery: A literature review. Saudi Dent. J. 2018, 30, 273–282. [Google Scholar] [CrossRef] [PubMed]
- Tang, Y.; Li, X.; Yin, S. Outcomes of MTA as root-end filling in endodontic surgery: A systematic review. Quintessence Int. 2010, 41, 557–566. [Google Scholar]
- Chong, B.S.; Ford, T.R.P.; Hudson, M.B. A prospective clinical study of Mineral Trioxide Aggregate and IRM when used as root-end filling materials in endodontic surgery. Int. Endod. J. 2003, 36, 520–526. [Google Scholar] [CrossRef]
- Kim, S.; Song, M.; Shin, S.-J.; Kim, E. A Randomized Controlled Study of Mineral Trioxide Aggregate and Super Ethoxybenzoic Acid as Root-end Filling Materials in Endodontic Microsurgery: Long-term Outcomes. J. Endod. 2016, 42, 997–1002. [Google Scholar] [CrossRef]
- Alsulaimani, R.S. Single-visit endodontic treatment of mature teeth with chronic apical abscesses using mineral trioxide aggregate cement: A randomized clinical trial. BMC Oral Health 2016, 16, 78. [Google Scholar] [CrossRef] [PubMed]
- Dakó, T.; Lazăr, A.P.; Bică, C.I.; Lazăr, L. Endo-perio lesions: Diagnosis and interdisciplinary treatment options. Acta Stomatol. Marisiensis J. 2020, 3, 257–261. [Google Scholar] [CrossRef]
- Sam, G.; Pillai, B.R. Evolution of Barrier Membranes in Periodontal Regeneration-“Are the third Generation Membranes really here?”. J. Clin. Diagn. Res. 2014, 8, ZE14–ZE17. [Google Scholar] [CrossRef]
- Stavropoulos, A.; Sculean, A. Current Status of Regenerative Periodontal Treatment. Curr. Oral Health Rep. 2017, 4, 34–43. [Google Scholar] [CrossRef]
- Cortellini, P.; Stalpers, G.; Mollo, A.; Tonetti, M.S. Periodontal regeneration versus extraction and prosthetic replacement of teeth severely compromised by attachment loss to the apex: 5-year results of an ongoing randomized clinical trial. J. Clin. Periodontol. 2011, 38, 915–924. [Google Scholar] [CrossRef]
- Oh, S.; Chung, S.H.; Han, J.-Y. Periodontal regenerative therapy in endo-periodontal lesions: A retrospective study over 5 years. J. Periodontal Implant. Sci. 2019, 49, 90–104. [Google Scholar] [CrossRef]
- Alquthami, H.; Almalik, A.M.; Alzahrani, F.F.; Badawi, L. Successful Management of Teeth with Different Types of Endodontic-Periodontal Lesions. Case Rep. Dent. 2018, 2018, 1–7. [Google Scholar] [CrossRef]
- Deepak, S. Surgical Management of Endo-Perio Lesion using Bonegraft and Guided Tissue Regeneration—A Case Report. Int. J. Dent. Oral Sci. 2020, 19–23. [Google Scholar] [CrossRef]
- Titsinides, S.; Agrogiannis, G.; Karatzas, T. Bone grafting materials in dentoalveolar reconstruction: A comprehensive review. Jpn. Dent. Sci. Rev. 2019, 55, 26–32. [Google Scholar] [CrossRef]
- Kumar, P.; Vinitha, B.; Fathima, G. Bone grafts in dentistry. J. Pharm. Bioallied Sci. 2013, 5 (Suppl. 1), S125–S127. [Google Scholar] [CrossRef]
- Sanchez-Torres, A.; Sanchez-Garces, M.; Escoda, C.G. Materials and prognostic factors of bone regeneration in periapical surgery: A systematic review. Med. Oral Patol. Oral Cir. Bucal 2014, 19, e419–e425. [Google Scholar] [CrossRef] [PubMed]
- Von Arx, T.; Britain, S.; Cochran, D.L.; Schenk, R.K.; Nummikoski, P.; Buser, D. Healing of periapical lesions with complete loss of the buccal bone plate: A histologic study in the canine mandible. Int. J. Periodontics Restor. Dent. 2003, 23, 157–167. [Google Scholar]
- Estrela, C.; Bueno, M.R.; Azevedo, B.C.; Azevedo, J.R.; Pécora, J.D. A new periapical index based on cone beam computed tomography. J. Endod. 2008, 34, 1325–1331. [Google Scholar] [CrossRef] [PubMed]
- Al Attas, M.A.; Edrees, H.Y.; Sammani, A.M.; Madarati, A.A. Multidisciplinary management of concomitant pulpal and periodontal lesion: A case report. J. Taibah Univ. Med. Sci. 2017, 12, 455–460. [Google Scholar] [CrossRef]
- Raja, V.S.; Emmadi, P.; Namasivayam, A.; Thyegarajan, R.; Rajaraman, V. The periodontal-endodontic continuum: A review. J. Conserv. Dent. 2008, 11, 54–62. [Google Scholar] [CrossRef] [PubMed]
- Abbott, P.V.; Salgado, J.C. Strategies for the endodontic management of concurrent endodontic and periodontal diseases. Aust. Dent. J. 2009, 54, S70–S85. [Google Scholar] [CrossRef]
- Jayadev, M.; Shravani, G.S.; Karunakar, P.; Prasanna, J.S. Platelet-rich fibrin, “a faster healing aid” in the treatment of combined lesions: A report of two cases. J. Indian Soc. Periodontol. 2014, 18, 651–655. [Google Scholar] [CrossRef]
- Gomes, B.P.F.D.A.; Herrera, D.R. Etiologic role of root canal infection in apical periodontitis and its relationship with clinical symptomatology. Braz. Oral Res. 2018, 32, e69. [Google Scholar] [CrossRef] [PubMed]
- Shetty, K.; Habib, V.A.; Shetty, S.V.; Khed, J.N.; Prabhu, V.D. An assessment of coronal leakage of permanent filling materials in endodontically treated teeth: An in vitro study. J. Pharm. Bioallied Sci. 2015, 7, S607–S611. [Google Scholar] [CrossRef] [PubMed]
- Girish, K.; Mandava, J.; Chandra, R.R.; Ravikumar, K.; Anwarullah, A.; Athaluri, M. Effect of obturating materials on fracture resistance of simulated immature teeth. J. Conserv. Dent. 2017, 20, 115–119. [Google Scholar] [CrossRef] [PubMed]
- Olczak, K.; Pawlicka, H. Mineral trioxide aggregate in treatment of permanent teeth with open apex and endo-perio lesions. A case report. Eur. J. Paediatr. Dent. 2015, 16, 287–289. [Google Scholar]
- Okiji, T.; Yoshiba, K. Reparative dentinogenesis induced by mineral trioxide aggregate: A review from the biological and physicochemical points of view. Int. J. Dent. 2009, 2009, 1–12. [Google Scholar] [CrossRef] [PubMed]

| S. No. | Group (n = 120) | Treatment | Obturation/Graft Material | Trade Name | Lot Number |
|---|---|---|---|---|---|
| 1. | Group-I (n = 30) | Conventional non-surgical RCT performing standard methodology | Gutta Percha | Obtura Gutta Percha Bar PK/100 Bar | FD-MT057 |
| 2. | Group-II (n = 30) | Conventional non-surgical RCT performing standard methodology | Mineral trioxide aggregate | ProRoot MTA, White, 10 × 0.5 g | MP-A040500000400 |
| 3. | Group-III (n = 30) | Conventional non-surgical RCT performing standard methodology + Bone grafting | Gutta Percha | Obtura Gutta Percha Bar PK/100 Bar | FD-MT057 |
| Bone graft | AlloOss. Natural Blend Cortico/Cancellous Particulate, 500–1000 mic. | SKU: 01-108-201 | |||
| 4. | Group-IV (n = 30) | Conventional non-surgical RCT performing standard methodology + Bone grafting | Mineral trioxide aggregate | ProRoot MTA, White, 10 × 0.5 g | MP-A040500000400 |
| Bone graft | AlloOss. Natural Blend Cortico/Cancellous Particulate, 500–1000 mic. | SKU: 01-108-201 |
| Characteristics | Study Groups | |||
|---|---|---|---|---|
| GP | MTA | GP + Bone Graft | MTA + Bone Graft | |
| Gender | ||||
| Male | 18 (60) | 9 (30) | 8 (26.7) | 18 (60) |
| Female | 40 (40) | 21 (70) | 22 (73.3) | 12 (40) |
| Tooth type | ||||
| Canine | 6 (20) | 5 (16.7) | 9 (30) | 5 (16.7) |
| Central incisor | 7 (23.3) | 5 (16.7) | 1 (3.3) | 6 (20) |
| Lateral incisor | 16 (53.4) | 18 (60) | 16 (53.4) | 17 (56.6) |
| Premolar | 1 (3.3) | 2 (6.6) | 4 (13.3) | 2 (6.7) |
| Tooth number | ||||
| 11 | 3 (10) | 5 (16.7) | 0 | 2 (6.7) |
| 12 | 5 (16.7) | 9 (30) | 6 (20) | 5 (16.7) |
| 13 | 3 (10) | 3 (10) | 4 (13.3) | 2 (6.7) |
| 21 | 4 (13.3) | 0 | 0 | 4 (13.3) |
| 22 | 11 (36.7) | 9 (30) | 12 (40) | 13 (43.3) |
| 23 | 3 (10) | 2 (6.7) | 5 (16.7) | 3 (10) |
| 24 | 193.3 | 2 (6.7) | 3 (10) | 1 (3.3) |
| Gingival phenotype | ||||
| Thick | 1 (3.3) | 3 (10) | 1 (3.3) | 0 |
| Flat and thick | 18 (60) | 13 (43.3) | 17 (56.7) | 18 (60) |
| Scalloped and thin | 11 (36.7) | 14 (46.7) | 12 (40) | 12 (40) |
| Root length (mm) | ||||
| 13.85 (1.48) | 13.20 (1.79) | 13.77 (1.72) | 13.40 (1.69) | |
| Pocket depth PD (mm) | ||||
| 4.93 (0.91) | 5.03 (0.72) | 4.90 (0.84) | 4.97 (0.72) | |
| Clinical attachment level CAL (mm) | ||||
| 3.97 (0.93) | 4.03 (0.72) | 3.97 (0.81) | 3.97 (0.67) | |
| Keratinized tissue width (mm) | ||||
| 2.63 (1.13) | 2.10 (0.84) | 2.70 (1.18) | 2.70 (1.21) | |
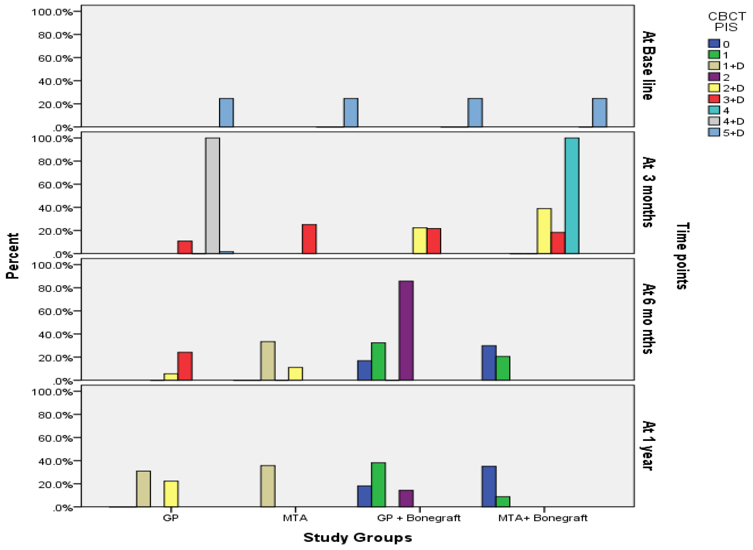
| Outcome Variable & Time Point | Study Groups | p-Value * | |||
|---|---|---|---|---|---|
| GPA | MTA | GPA + Bone Graft | MTA + Bone Graft | ||
| At Baseline | |||||
| 5 + D | 30 (100) | 30 (100) | 30 (100) | 30 (100) | |
| At 3 months | |||||
| 2 + D | 0 | 0 | 4 (13.3) | 7 (23.3) | <0.0001 * |
| 3 + D | 13 (43.3) | 30 (100) | 26 (86.7) | 22 (73.3) | |
| 4 | 0 | 0 | 0 | 1 (3.3) | |
| 4 + D | 15 (50) | 0 | 0 | 0 | |
| 5 + D | 2 (6.7) | 0 | 0 | 0 | |
| At 6 months | |||||
| 0 | 0 | 0 | 13 (43.3) | 23 (76.7) | <0.0001 * |
| 1 | 0 | 0 | 11 (36.7) | 7 (23.3) | |
| 1 + D | 0 | 28 (93.3) | 0 | 0 | |
| 2 | 0 | 0 | 6 (20) | 0 | |
| 2 + D | 1 (3.3) | 2 (6.7) | 0 | 0 | |
| 3 + D | 29 (96.7) | 0 | 0 | 0 | |
| At 1 year | |||||
| 0 | 0 | 0 | 14 (50) | 27 (90) | <0.0001 * |
| 1 | 0 | 0 | 13 (46.4) | 3 (10) | |
| 1 + D | 26 (86.7) | 30 (100) | 0 | 0 | |
| 2 | 0 | 0 | 1(3.6) | 0 | |
| 2 + D | 4 (13.3) | 0 | 0 | 0 | |
| Time Point | Study Groups | F-Value | p-Value | |||
|---|---|---|---|---|---|---|
| GP | MTA | GP + Bone Graft | MTA + Bone Graft | |||
| At 3 months | 3.0 (0.00) | 3.0 (0.00) | 3.10 (0.30) | 3.0 (0.00) | 3.22 | 0.025 |
| At 6 months | 4.37 (0.76) | 3.83 (0.75) | 3.27 (0.45) | 3.00 (0.00) | 33.08 | <0.0001 * |
| At 1 year | 4.80 (0.89) | 3.83 (0.75) | 3.30 (0.59) | 3.00 (0.00) | 44.11 | <0.0001 * |
Publisher’s Note: MDPI stays neutral with regard to jurisdictional claims in published maps and institutional affiliations. |
© 2021 by the authors. Licensee MDPI, Basel, Switzerland. This article is an open access article distributed under the terms and conditions of the Creative Commons Attribution (CC BY) license (https://creativecommons.org/licenses/by/4.0/).
Share and Cite
AlJasser, R.; Bukhary, S.; AlSarhan, M.; Alotaibi, D.; AlOraini, S.; Habib, S.R. Regenerative Therapy Modality for Treatment of True Combined Endodontic-Periodontal Lesions: A Randomized Controlled Clinical Trial. Int. J. Environ. Res. Public Health 2021, 18, 6220. https://doi.org/10.3390/ijerph18126220
AlJasser R, Bukhary S, AlSarhan M, Alotaibi D, AlOraini S, Habib SR. Regenerative Therapy Modality for Treatment of True Combined Endodontic-Periodontal Lesions: A Randomized Controlled Clinical Trial. International Journal of Environmental Research and Public Health. 2021; 18(12):6220. https://doi.org/10.3390/ijerph18126220
Chicago/Turabian StyleAlJasser, Reham, Sundus Bukhary, Mohammed AlSarhan, Dalal Alotaibi, Saleh AlOraini, and Syed Rashid Habib. 2021. "Regenerative Therapy Modality for Treatment of True Combined Endodontic-Periodontal Lesions: A Randomized Controlled Clinical Trial" International Journal of Environmental Research and Public Health 18, no. 12: 6220. https://doi.org/10.3390/ijerph18126220
APA StyleAlJasser, R., Bukhary, S., AlSarhan, M., Alotaibi, D., AlOraini, S., & Habib, S. R. (2021). Regenerative Therapy Modality for Treatment of True Combined Endodontic-Periodontal Lesions: A Randomized Controlled Clinical Trial. International Journal of Environmental Research and Public Health, 18(12), 6220. https://doi.org/10.3390/ijerph18126220

