Chemical Characterization and Quantification of Titanium Dioxide Nanoparticles (TiO2-NPs) in Seafood by Single-Particle ICP-MS: Assessment of Dietary Exposure
Abstract
1. Introduction
2. Methods
2.1. Alkaline Digestion and Single-Particle Inductively Coupled Plasma Mass Spectrometry (spICP-MS) Analysis
2.2. Acid Digestion and ICP-MS Analysis of Total Ti
2.3. Estimated Meal Intake
2.4. Statistical Analysis
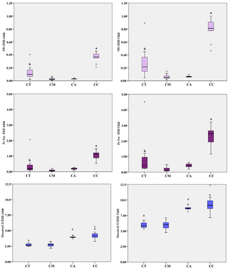
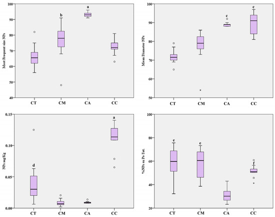
3. Results
4. Discussion
5. Conclusions
Author Contributions
Funding
Conflicts of Interest
References
- Lespes, G.; Faucher, S.; Slaveykova, V.I. Natural Nanoparticles, Anthropogenic Nanoparticles, Where Is the Frontier? Front. Environ. Sci. 2020, 8, 71. [Google Scholar] [CrossRef]
- Ziental, D.; Czarczynska-Goslinska, B.; Mlynarczyk, D.T.; Glowacka-Sobotta, A.; Stanisz, B.; Goslinski, T.; Sobotta, L. Titanium Dioxide Nanoparticles: Prospects and Applications in Medicine. Nanomaterials 2020, 10, 387. [Google Scholar] [CrossRef]
- Boverhof, D.R.; David, R.M. Nanomaterial characterization: Considerations and needs for hazard assessment and safety evaluation. Anal. Bioanal. Chem. 2010, 396, 953–961. [Google Scholar] [CrossRef] [PubMed]
- Piccinno, F.; Gottschalk, F.; Seeger, S.; Nowack, B. Industrial production quantities and uses of ten engineered nanomaterials in Europe and the world. J. Nanopart. Res. 2012, 14, 1109. [Google Scholar] [CrossRef]
- EFSA. Re-evaluation of titanium dioxide (E 171) as a food additive. EFSA J. 2016, 14, e04545. [Google Scholar] [CrossRef]
- Filippini, T.; Tancredi, S.; Malagoli, C.; Malavolti, M.; Bargellini, A.; Vescovi, L.; Nicolini, F.; Vinceti, M. Dietary Estimated Intake of Trace Elements: Risk Assessment in an Italian Population. Expo. Health 2019. [Google Scholar] [CrossRef]
- Silano, V.; Baviera, J.M.B.; Bolognesi, C.; Tlustos, C.; Loveren, H.V.; Vernis, L.; Zorn, H.; Castle, L.; Cravedi, J.P.; Kolf-Clauw, M.; et al. Safety assessment of the substance, titanium dioxide surface treated with fluoride-modified alumina, for use in food contact materials. EFSA J. 2019, 17, e05737. [Google Scholar] [CrossRef] [PubMed]
- Rompelberg, C.; Heringa, M.B.; van Donkersgoed, G.; Drijvers, J.; Roos, A.; Westenbrink, S.; Peters, R.; van Bemmel, G.; Brand, W.; Oomen, A.G. Oral intake of added titanium dioxide and its nanofraction from food products, food supplements and toothpaste by the Dutch population. Nanotoxicology 2016, 10, 1404–1414. [Google Scholar] [CrossRef]
- Schneider, S.L.; Lim, H.W. A review of inorganic UV filters zinc oxide and titanium dioxide. Photodermatol. Photoimmunol. Photomed. 2019, 35, 442–446. [Google Scholar] [CrossRef]
- Ruszkiewicz, J.A.; Pinkas, A.; Ferrer, B.; Peres, T.V.; Tsatsakis, A.; Aschner, M. Neurotoxic effect of active ingredients in sunscreen products, a contemporary review. Toxicol. Rep. 2017, 4, 245–259. [Google Scholar] [CrossRef]
- Weir, A.; Westerhoff, P.; Fabricius, L.; von Goetz, N. Titanium Dioxide Nanoparticles in Food and Personal Care Products. Environ. Sci. Technol. 2012, 46, 2242–2250. [Google Scholar] [CrossRef] [PubMed]
- Bostan, H.B.; Rezaee, R.; Valokala, M.G.; Tsarouhas, K.; Golokhvast, K.; Tsatsakis, A.M.; Karimi, G. Cardiotoxicity of nano-particles. Life Sci. 2016, 165, 91–99. [Google Scholar] [CrossRef] [PubMed]
- Klaine, S.J.; Alvarez, P.J.J.; Batley, G.E.; Fernandes, T.F.; Handy, R.D.; Lyon, D.Y.; Mahendra, S.; McLaughlin, M.J.; Lead, J.R. Nanomaterials in the environment: Behavior, fate, bioavailability, and effects. Environ. Toxicol. Chem. 2008, 27, 1825–1851. [Google Scholar] [CrossRef] [PubMed]
- Carmo, T.L.L.; Azevedo, V.C.; Siqueira, P.R.; Galvão, T.D.; Santos, F.A.; Martinez, C.B.R.; Appoloni, C.R.; Fernandes, M.N. Mitochondria-rich cells adjustments and ionic balance in the Neotropical fish Prochilodus lineatus exposed to titanium dioxide nanoparticles. Aquat. Toxicol. 2018, 200, 168–177. [Google Scholar] [CrossRef]
- Westerhoff, P.; Song, G.; Hristovski, K.; Kiser, M.A. Occurrence and removal of titanium at full scale wastewater treatment plants: Implications for TiO2 nanomaterials. J. Environ. Monit. 2011, 13, 1195–1203. [Google Scholar] [CrossRef]
- Borm, P.J.A.; Robbins, D.; Haubold, S.; Kuhlbusch, T.; Fissan, H.; Donaldson, K.; Schins, R.; Stone, V.; Kreyling, W.; Lademann, J.; et al. The potential risks of nanomaterials: A review carried out for ECETOC. Part. Fibre Toxicol. 2006, 3, 11. [Google Scholar] [CrossRef]
- Chen, C.; Marcus, I.M.; Waller, T.; Walker, S.L. Comparison of filtration mechanisms of food and industrial grade TiO2 nanoparticles. Anal. Bioanal. Chem. 2018, 410, 6133–6140. [Google Scholar] [CrossRef]
- Jovanović, B. Critical review of public health regulations of titanium dioxide, a human food additive: Titanium Dioxide in Human Food. Integr. Environ. Assess. Manag. 2015, 11, 10–20. [Google Scholar] [CrossRef]
- Chen, Z.; Han, S.; Zhou, D.; Zhou, S.; Jia, G. Effects of oral exposure to titanium dioxide nanoparticles on gut microbiota and gut-associated metabolism in vivo. Nanoscale 2019, 11, 22398–22412. [Google Scholar] [CrossRef]
- Schneider, T.; Westermann, M.; Glei, M. In vitro uptake and toxicity studies of metal nanoparticles and metal oxide nanoparticles in human HT29 cells. Arch. Toxicol. 2017, 91, 3517–3527. [Google Scholar] [CrossRef]
- Chen, Z.; Zhou, D.; Zhou, S.; Jia, G. Gender difference in hepatic toxicity of titanium dioxide nanoparticles after subchronic oral exposure in Sprague-Dawley rats. J. Appl. Toxicol. 2019, 39, 807–819. [Google Scholar] [CrossRef] [PubMed]
- Heringa, M.B.; Geraets, L.; van Eijkeren, J.C.H.; Vandebriel, R.J.; de Jong, W.H.; Oomen, A.G. Risk assessment of titanium dioxide nanoparticles via oral exposure, including toxicokinetic considerations. Nanotoxicology 2016, 10, 1515–1525. [Google Scholar] [CrossRef] [PubMed]
- Chen, Z.; Han, S.; Zheng, P.; Zhou, D.; Zhou, S.; Jia, G. Effect of oral exposure to titanium dioxide nanoparticles on lipid metabolism in Sprague-Dawley rats. Nanoscale 2020, 12, 5973–5986. [Google Scholar] [CrossRef]
- Cao, X.; Han, Y.; Gu, M.; Du, H.; Song, M.; Zhu, X.; Ma, G.; Pan, C.; Wang, W.; Zhao, E.; et al. Foodborne Titanium Dioxide Nanoparticles Induce Stronger Adverse Effects in Obese Mice than Non-Obese Mice: Gut Microbiota Dysbiosis, Colonic Inflammation, and Proteome Alterations. Small 2020, e2001858. [Google Scholar] [CrossRef] [PubMed]
- Taboada-López, M.V.; Herbello-Hermelo, P.; Domínguez-González, R.; Bermejo-Barrera, P.; Moreda-Piñeiro, A. Enzymatic hydrolysis as a sample pre-treatment for titanium dioxide nanoparticles assessment in surimi (crab sticks) by single particle ICP-MS. Talanta 2019, 195, 23–32. [Google Scholar] [CrossRef] [PubMed]
- Taboada-López, M.V.; Iglesias-López, S.; Herbello-Hermelo, P.; Bermejo-Barrera, P.; Moreda-Piñeiro, A. Ultrasound assisted enzymatic hydrolysis for isolating titanium dioxide nanoparticles from bivalve mollusk before sp-ICP-MS. Anal. Chim. Acta 2018, 1018, 16–25. [Google Scholar] [CrossRef]
- Xu, L.; Wang, Z.; Zhao, J.; Lin, M.; Xing, B. Accumulation of metal-based nanoparticles in marine bivalve mollusks from offshore aquaculture as detected by single particle ICP-MS. Environ. Pollut. 2020, 260, 114043. [Google Scholar] [CrossRef]
- Yin, C.; Zhao, W.; Liu, R.; Liu, R.; Wang, Z.; Zhu, L.; Chen, W.; Liu, S. TiO2 particles in seafood and surimi products: Attention should be paid to their exposure and uptake through foods. Chemosphere 2017, 188, 541–547. [Google Scholar] [CrossRef]
- Zhou, Q.; Liu, L.; Liu, N.; He, B.; Hu, L.; Wang, L. Determination and characterization of metal nanoparticles in clams and oysters. Ecotoxicol. Environ. Saf. 2020, 198, 110670. [Google Scholar] [CrossRef]
- Domingo, J.L.; Bocio, A.; Falcó, G.; Llobet, J.M. Benefits and risks of fish consumption: Part I. A quantitative analysis of the intake of omega-3 fatty acids and chemical contaminants. Toxicology 2007, 230, 219–226. [Google Scholar] [CrossRef]
- Wu, S.; Zhang, S.; Gong, Y.; Shi, L.; Zhou, B. Identification and quantification of titanium nanoparticles in surface water: A case study in Lake Taihu, China. J. Hazard. Mater. 2020, 382, 121045. [Google Scholar] [CrossRef]
- Gray, E.P.; Coleman, J.G.; Bednar, A.J.; Kennedy, A.J.; Ranville, J.F.; Higgins, C.P. Extraction and Analysis of Silver and Gold Nanoparticles from Biological Tissues Using Single Particle Inductively Coupled Plasma Mass Spectrometry. Environ. Sci. Technol. 2013, 47, 14315–14323. [Google Scholar] [CrossRef] [PubMed]
- Lee, S.; Bi, X.; Reed, R.B.; Ranville, J.F.; Herckes, P.; Westerhoff, P. Nanoparticle Size Detection Limits by Single Particle ICP-MS for 40 Elements. Environ. Sci. Technol. 2014, 48, 10291–10300. [Google Scholar] [CrossRef] [PubMed]
- Copat, C.; Arena, G.; Fiore, M.; Ledda, C.; Fallico, R.; Sciacca, S.; Ferrante, M. Heavy metals concentrations in fish and shellfish from eastern Mediterranean Sea: Consumption advisories. Food Chem. Toxicol. 2013, 53, 33–37. [Google Scholar] [CrossRef] [PubMed]
- US-EPA. Guidance for Assessing Chemical Contamination Data for Use in Fish Advisories—Volume II. Risk Assessment and Fish Consumption Limits EPA/823-B94-004; Environmental Protection Agency: Washington DC, USA, 2000.
- Gupta, G.S.; Kumar, A.; Shanker, R.; Dhawan, A. Assessment of agglomeration, co-sedimentation and trophic transfer of titanium dioxide nanoparticles in a laboratory-scale predator-prey model system. Sci. Rep. 2016, 6. [Google Scholar] [CrossRef] [PubMed]
- Zhang, Y.; Chen, Y.; Westerhoff, P.; Crittenden, J. Impact of natural organic matter and divalent cations on the stability of aqueous nanoparticles. Water Res. 2009, 43, 4249–4257. [Google Scholar] [CrossRef]
- Keller, A.A.; Wang, H.; Zhou, D.; Lenihan, H.S.; Cherr, G.; Cardinale, B.J.; Miller, R.; Ji, Z. Stability and Aggregation of Metal Oxide Nanoparticles in Natural Aqueous Matrices. Environ. Sci. Technol. 2010, 44, 1962–1967. [Google Scholar] [CrossRef]
- Pettibone, J.M.; Cwiertny, D.M.; Scherer, M.; Grassian, V.H. Adsorption of Organic Acids on TiO2 Nanoparticles: Effects of pH, Nanoparticle Size, and Nanoparticle Aggregation. Langmuir 2008, 24, 6659–6667. [Google Scholar] [CrossRef]
- Farré, M.; Gajda-Schrantz, K.; Kantiani, L.; Barceló, D. Ecotoxicity and analysis of nanomaterials in the aquatic environment. Anal. Bioanal. Chem. 2009, 393, 81–95. [Google Scholar] [CrossRef]
- Bachler, G.; Goetz N von Hungerbuhler, K. Using physiologically based pharmacokinetic (PBPK) modeling for dietary risk assessment of titanium dioxide (TiO2) nanoparticles. Nanotoxicology 2015, 9, 373–380. [Google Scholar] [CrossRef]
- Walczak, A.P.; Kramer, E.; Hendriksen, P.J.; Helsdingen, R.; van der Zande, M.; Rietjens, I.M.; Bouwmeester, H. In vitro gastrointestinal digestion increases the translocation of polystyrene nanoparticles in an in vitro intestinal co-culture model. Nanotoxicology 2015, 9, 886–894. [Google Scholar] [CrossRef] [PubMed]
- Guo, Z.; Martucci, N.J.; Moreno-Olivas, F.; Tako, E.; Mahler, G.J. Titanium Dioxide Nanoparticle Ingestion Alters Nutrient Absorption in an In Vitro Model of the Small Intestine. NanoImpact 2017, 5, 70–82. [Google Scholar] [CrossRef] [PubMed]



| Parameter | Value |
|---|---|
| Nebulizer, flow | Meinhard, 1 mL/min |
| Spray chamber | Glass cyclonic |
| Sample uptake rate | 0.26–0.28 mL/min |
| RF power | 1600 W |
| Analysis mode | Standard |
| Quadrupole settling time | 0 µs |
| Analyte | Ti 48.9 |
| Dwell time | 50 µs |
| Data acquisition time | 60 s |
| Density | 4.23 g/cm3 |
| Ti mass fraction | 60% |
| Parameter | Value |
|---|---|
| Nebulizer, flow | Meinhard, 0.89 mL/min |
| Spray chamber | Glass cyclonic |
| RF power | 1600 W |
| Analogic phase voltage | −1950 V |
| Pulses voltage | 1300 V |
| Discriminator threshold | 12 |
| Deflector voltage | −12 V |
| Analysis mode | Standard |
| Analyte | Ti 48.9 |
| Internal standard | Y |
| Statistics | 4 µg/L Ionic Ti (n = 6) | Canned Clam (n = 6) | Canned Tuna (n = 6) |
|---|---|---|---|
| Mean of particles/mL | 564 | 588 | 653 |
| SD | 155 | 267 | 237 |
| Min | 324 | 267 | 252 |
| Max | 758 | 901 | 918 |
| Mean + 3 SD | 1029 | - | - |
| Canned Tuna | Most Frequent Size Ps-Tot. (nm) | Mean Diameter Ps-Tot. (nm) | Number of Ps-Tot/g. | Ps-Tot. mg/kg | Dissolved Ti a mg/kg | Total Ti b mg/kg |
| Mean | 73 | 104 | 9.77 × 107 | 0.117 | 0.851 | 1.015 |
| SD | 11 | 12 | 6.27 × 107 | 0.156 | 0.099 | 0.121 |
| Min. | 59 | 87 | 1.93 × 107 | 0.029 | 0.752 | 0.857 |
| Max. | 98 | 126 | 2.86 × 108 | 0.634 | 1.052 | 1.152 |
| Canned Mackerel | Most Frequent size Ps-Tot. (nm) | Mean Diameter Ps-Tot. (nm) | Number of Ps-Tot/g. | Ps-Tot. mg/kg | Dissolved Ti a mg/kg | Total Ti b mg/kg |
| Mean | 85 | 112 | 1.47 × 107 | 0.025 | 0.835 | 1.154 |
| SD | 11 | 11 | 7.17 × 106 | 0.021 | 0.095 | 0.108 |
| Min. | 69 | 95 | 8.15 × 106 | 0.007 | 0.669 | 0.951 |
| Max. | 104 | 133 | 2.72 × 107 | 0.068 | 1.003 | 1.185 |
| Canned Anchovy | Most Frequent size Ps-Tot. (nm) | Mean Diameter Ps-Tot. (nm) | Number of Ps-Tot/g. | Ps-Tot. mg/kg | Dissolved Ti a mg/kg | Total Ti b mg/kg |
| Mean | 113 | 141 | 1.67 × 107 | 0.059 | 1.223 | 1.385 |
| SD | 7 | 8 | 3.12 × 106 | 0.019 | 0.051 | 0.148 |
| Min. | 101 | 127 | 1.06 × 107 | 0.026 | 1.141 | 0.985 |
| Max. | 122 | 150 | 2.02 × 107 | 0.087 | 1.312 | 1.485 |
| Canned Clam | Most Frequent size Ps-Tot. (nm) | Mean Diameter Ps-Tot. (nm) | Number of Ps-Tot/g. | Ps-Tot. mg/kg | Dissolved Ti a mg/kg | Total Ti b mg/kg |
| Mean | 82 | 138 | 1.05 × 108 | 0.326 | 1.313 | 1.458 |
| SD | 6 | 13 | 1.52 × 107 | 0.084 | 0.210 | 0.341 |
| Min. | 75 | 124 | 7.00 × 107 | 0.162 | 1.005 | 1.145 |
| Max. | 91 | 167 | 1.00 × 108 | 0.451 | 1.735 | 1.915 |
| Canned Tuna | Most Frequent Size NPs (nm) | Mean Diameter NPs (nm) | Number of NPs/g | NPs mg/kg | %NPs on Ps-Tot. |
| Mean | 66 | 72 | 5.26 × 107 | 0.0380 | 58.5 |
| SD | 7 | 4 | 2.19 × 107 | 0.0298 | 13.3 |
| Min. | 56 | 65 | 9.34 × 106 | 0.0062 | 32 |
| Max. | 82 | 79 | 1.02 × 108 | 0.1251 | 76 |
| Canned Mackerel | Most Frequent size NPs (nm) | Mean Diameter NPs (nm) | Number of NPs/g | NPs mg/Kg | %NPs on Ps-Tot. |
| Mean | 77 | 78 | 7.84 × 106 | 0.0085 | 57.4 |
| SD | 11 | 8 | 2.42 × 106 | 0.0053 | 12.2 |
| Min. | 48 | 54 | 5.24 × 106 | 0.0020 | 39 |
| Max. | 91 | 86 | 1.23 × 107 | 0.0206 | 73 |
| Canned Anchovy | Most Frequent size NPs (nm) | Mean Diameter NPs (nm) | Number of NPs/g | NPs mg/Kg | %NPs on Ps-Tot. |
| Mean | 93 | 89 | 5.16 × 106 | 0.0092 | 31.6 |
| SD | 2 | 1 | 9.30 × 105 | 0.0019 | 6.78 |
| Min. | 91 | 88 | 4.36 × 106 | 0.0078 | 23 |
| Max. | 96 | 92 | 7.24 × 106 | 0.0137 | 43 |
| Canned Clam | Most Frequent size NPs (nm) | Mean Diameter NPs (nm) | Number of NPs/g | NPs mg/Kg | %NPs on Ps-Tot. |
| Mean | 72 | 89 | 5.37 × 107 | 0.1116 | 51.4 |
| SD | 5 | 6 | 8.34 × 106 | 0.0254 | 5.70 |
| Min. | 63 | 81 | 4.00 × 107 | 0.0650 | 41 |
| Max. | 81 | 97 | 7.00 × 107 | 0.1403 | 61 |
| Canned Tuna | EMI Adult NPs | EMI Child NPs | EMI Adult Ps-Tot. | EMI Child Ps-Tot. | EMI Adult Dissolved Ti | EMI Child Dissolved Ti |
| Mean | 0.124 | 0.272 | 0.379 | 0.832 | 2.759 | 6.063 |
| SD | 0.097 | 0.212 | 0.507 | 1.113 | 0.321 | 0.706 |
| Min. | 0.020 | 0.044 | 0.095 | 0.209 | 2.438 | 5.357 |
| Max. | 0.406 | 0.891 | 2.056 | 4.517 | 3.412 | 7.497 |
| Canned Mackerel | EMI Adult NPs | EMI Child NPs | EMI Adult Ps-Tot. | EMI Child Ps-Tot. | EMI Adult Dissolved Ti | EMI Child Dissolved Ti |
| Mean | 0.028 | 0.060 | 0.082 | 0.180 | 2.709 | 5.952 |
| SD | 0.017 | 0.038 | 0.066 | 0.146 | 0.307 | 0.674 |
| Min. | 0.007 | 0.014 | 0.021 | 0.046 | 2.171 | 4.769 |
| Max. | 0.067 | 0.147 | 0.219 | 0.482 | 3.253 | 7.147 |
| Canned Anchovy | EMI Adult NPs | EMI Child NPs | EMI Adult Ps-Tot. | EMI Child Ps-Tot. | EMI Adult Dissolved Ti | EMI Child Dissolved Ti |
| Mean | 0.030 | 0.066 | 0.191 | 0.419 | 3.967 | 8.716 |
| SD | 0.006 | 0.013 | 0.062 | 0.135 | 0.164 | 0.361 |
| Min. | 0.025 | 0.055 | 0.084 | 0.184 | 3.699 | 8.129 |
| Max. | 0.044 | 0.098 | 0.280 | 0.616 | 4.254 | 9.346 |
| Canned Clam | EMI Adult NPs | EMI Child NPs | EMI Adult Ps-Tot. | EMI Child Ps-Tot. | EMI Adult Dissolved Ti | EMI Child Dissolved Ti |
| Mean | 0.362 | 0.795 | 1.056 | 2.319 | 4.259 | 9.358 |
| SD | 0.082 | 0.181 | 0.273 | 0.600 | 0.681 | 1.496 |
| Min. | 0.211 | 0.464 | 0.524 | 1.152 | 3.259 | 7.162 |
| Max. | 0.455 | 0.999 | 1.462 | 3.211 | 5.628 | 12.36 |
Publisher’s Note: MDPI stays neutral with regard to jurisdictional claims in published maps and institutional affiliations. |
© 2020 by the authors. Licensee MDPI, Basel, Switzerland. This article is an open access article distributed under the terms and conditions of the Creative Commons Attribution (CC BY) license (http://creativecommons.org/licenses/by/4.0/).
Share and Cite
Grasso, A.; Ferrante, M.; Zuccarello, P.; Filippini, T.; Arena, G.; Fiore, M.; Cristaldi, A.; Conti, G.O.; Copat, C. Chemical Characterization and Quantification of Titanium Dioxide Nanoparticles (TiO2-NPs) in Seafood by Single-Particle ICP-MS: Assessment of Dietary Exposure. Int. J. Environ. Res. Public Health 2020, 17, 9547. https://doi.org/10.3390/ijerph17249547
Grasso A, Ferrante M, Zuccarello P, Filippini T, Arena G, Fiore M, Cristaldi A, Conti GO, Copat C. Chemical Characterization and Quantification of Titanium Dioxide Nanoparticles (TiO2-NPs) in Seafood by Single-Particle ICP-MS: Assessment of Dietary Exposure. International Journal of Environmental Research and Public Health. 2020; 17(24):9547. https://doi.org/10.3390/ijerph17249547
Chicago/Turabian StyleGrasso, Alfina, Margherita Ferrante, Pietro Zuccarello, Tommaso Filippini, Giovanni Arena, Maria Fiore, Antonio Cristaldi, Gea Oliveri Conti, and Chiara Copat. 2020. "Chemical Characterization and Quantification of Titanium Dioxide Nanoparticles (TiO2-NPs) in Seafood by Single-Particle ICP-MS: Assessment of Dietary Exposure" International Journal of Environmental Research and Public Health 17, no. 24: 9547. https://doi.org/10.3390/ijerph17249547
APA StyleGrasso, A., Ferrante, M., Zuccarello, P., Filippini, T., Arena, G., Fiore, M., Cristaldi, A., Conti, G. O., & Copat, C. (2020). Chemical Characterization and Quantification of Titanium Dioxide Nanoparticles (TiO2-NPs) in Seafood by Single-Particle ICP-MS: Assessment of Dietary Exposure. International Journal of Environmental Research and Public Health, 17(24), 9547. https://doi.org/10.3390/ijerph17249547

